175. Гидравлическое испытание пробным давлением в целях проверки плотности и прочности оборудования под давлением, а также всех сварных и других соединений проводят:
а) после окончательной сборки (изготовления, доизготовления) при монтаже оборудования, транспортируемого на место его установки отдельными деталями, элементами или блоками;
б) после реконструкции (модернизации), ремонта оборудования с применением сварки элементов, работающих под давлением;
в) при проведении технических освидетельствований и технического диагностирования оборудования в случаях, установленных настоящими ФНП.
Гидравлическое испытание отдельных деталей, элементов или блоков оборудования перед их применением (установкой) в составе оборудования при монтаже или ремонте не является обязательным, если они прошли гидравлическое испытание на местах их изготовления или подвергались 100% контролю ультразвуком или иным равноценным неразрушающим методом дефектоскопии.
Допускается проведение гидравлического испытания отдельных и сборных элементов вместе с оборудованием, если в условиях монтажа или ремонта проведение их испытания отдельно от оборудования невозможно.
Гидравлическое испытание оборудования и его элементов проводят после всех видов контроля, а также после устранения обнаруженных дефектов.
176. Сосуды, имеющие защитное покрытие или изоляцию, подвергают гидравлическому испытанию до наложения покрытия или изоляции.
Сосуды, имеющие наружный кожух, подвергают гидравлическому испытанию до установки кожуха.
Допускается эмалированные сосуды подвергать гидравлическому испытанию рабочим давлением после эмалирования.
177. Минимальное значение пробного давления при гидравлическом испытании паровых и водогрейных котлов (за исключением электрокотлов), автономных пароперегревателей и экономайзеров, а также трубопроводов в пределах котла следует принимать:
а) при рабочем давлении не более 0,5 МПа - 1,5 рабочего давления, но не менее 0,2 МПа;
б) при рабочем давлении более 0,5 МПа - 1,25 рабочего давления, но не менее, чем рабочее давление плюс 0,3 МПа.
При проведении гидравлического испытания барабанных котлов, а также их пароперегревателей, экономайзеров и трубопроводов в пределах котла за рабочее давление при определении значения пробного давления следует принимать давление в барабане котла, а для безбарабанных и прямоточных котлов с принудительной циркуляцией - давление питательной воды на входе в котел, установленное проектной документацией.
Максимальное значение пробного давления должно подтверждаться расчетами на прочность паровых и водогрейных котлов.
Значение пробного давления, принимаемого в интервале между его максимальным и минимальным значениями, должно обеспечивать наибольшую выявляемость дефектов котла или его элементов, подвергаемых гидравлическому испытанию.
178. Значение пробного давления при гидравлическом испытании металлических сосудов (за исключением литых), а также электрокотлов определяют по формуле:
где: P - расчетное давление в случае сборки (доизготовления) сосуда на месте эксплуатации из отдельных элементов при проведении испытания после завершения таких работ, а в остальных случаях испытаний при эксплуатации оборудования - рабочее давление (МПа), указанное в паспорте сосуда организацией-изготовителем или по результатам первичного технического освидетельствования;
,
- допускаемые напряжения для материала сосуда (электрокотла) или его элементов соответственно при 20 °C и расчетной температуре, МПа.
Отношение
материалов сборочных единиц (элементов) сосуда (электрокотла), работающих под давлением, принимают по тому из использованных материалов элементов (обечаек, днищ, фланцев, патрубков и др.) сосуда, для которого оно является наименьшим, за исключением болтов (шпилек), а также теплообменных труб кожухотрубчатых теплообменных аппаратов.
Пробное давление при испытании сосуда, рассчитанного по зонам, следует определять с учетом той зоны, расчетное давление или расчетная температура которой имеет меньшее значение.
Пробное давление для испытания сосуда, предназначенного для работы в условиях нескольких режимов с различными расчетными параметрами (давлениями и температурами), следует принимать равным максимальному из определенных значений пробных давлений для каждого режима.
В случае если для обеспечения условий прочности и герметичности при испытаниях возникает необходимость увеличения диаметра, количества или замены материала болтов (шпилек) фланцевых соединений, разрешается уменьшить пробное давление до максимальной величины, при которой при проведении испытаний обеспечиваются условия прочности болтов (шпилек) без увеличения их диаметра, количества или замены материала.
В случае если сосуд в целом или отдельные части сосуда работают в диапазоне температур ползучести и допускаемое напряжение для материалов этих частей при расчетной температуре
определяется на базе предела длительной прочности или предела ползучести, разрешается в формулах (1), (7) вместо
использовать величину допускаемого напряжения при расчетной температуре
, полученную только на базе не зависящих от времени характеристик: предела текучести и временного сопротивления без учета ползучести и длительной прочности.
При гидравлическом испытании трубопроводов от котлов с органическими и неорганическим теплоносителями значение пробного давления Pпр определяется по формуле (1).
179. Значение пробного давления Pпр при гидравлическом испытании литых и кованых сосудов определяется по формуле:
Испытание литых сосудов разрешается проводить при условии 100% контроля отливок неразрушающими методами.
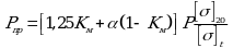
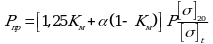
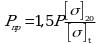
180. Гидравлическое испытание сосудов и деталей, изготовленных из неметаллических материалов с ударной вязкостью более 20 Дж/см2, должно быть проведено пробным давлением, определяемым по формуле:
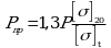
Гидравлическое испытание сосудов и деталей, изготовленных из неметаллических материалов с ударной вязкостью 20 Дж/см2 и менее, должно быть проведено пробным давлением, определяемым по формуле:
181. Значение пробного давления Pпр при гидравлическом испытании криогенных сосудов при наличии вакуума в изоляционном пространстве определяют по формуле:
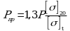
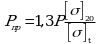
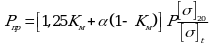
182. Гидравлическое испытание металлопластиковых сосудов должно быть проведено пробным давлением, определяемым по формуле:
где Kм - отношение массы металлоконструкции к общей массе сосуда;
= 1,3 - для неметаллических материалов ударной вязкостью более 20 Дж/см2;
= 1,6 - для неметаллических материалов ударной вязкостью 20 Дж/см2 и менее.
183. Гидравлическое испытание сосудов, устанавливаемых вертикально, разрешается проводить в горизонтальном положении, при этом должен быть выполнен расчет на прочность корпуса сосуда с учетом принятого способа опирания для проведения гидравлического испытания.
В комбинированных сосудах с двумя и более рабочими полостями, рассчитанными на разные давления, гидравлическому испытанию должна быть подвергнута каждая полость пробным давлением, определяемым в зависимости от расчетного давления полости.
Порядок проведения испытания таких сосудов должен быть установлен разработчиком проектной технической документации и указан в руководстве по эксплуатации сосуда.
184. Минимальная величина пробного давления при гидравлическом испытании трубопроводов пара и горячей воды должна составлять 1,25 рабочего давления (указанного в паспорте организацией-изготовителем или по результатам первичного технического освидетельствования), но не менее 0,2 МПа. Максимальное значение пробного давления должно устанавливаться расчетами на прочность трубопроводов.
Значение пробного давления (между максимальным и минимальным) должно обеспечить наибольшую выявляемость дефектов трубопровода или его элементов, подвергаемых гидравлическому испытанию.
185. Для гидравлического испытания оборудования под давлением следует использовать воду. Температура воды должна быть не ниже 5 °C и не выше 40 °C, если в технической документации организации - изготовителя оборудования не указано конкретное значение температуры, допустимой по условиям предотвращения хрупкого разрушения.
Гидравлическое испытание трубопроводов должно производиться при положительной температуре окружающего воздуха. При гидравлическом испытании паропроводов с рабочим давлением 10 МПа и более температура их стенок должна быть не менее 10 °C.
При гидравлическом испытании паровых и водогрейных котлов верхний предел температуры воды может быть увеличен по согласованию с проектной организацией до 80 °C. Если температура металла верха барабана превышает 140 °C, заполнение его водой для проведения гидравлического испытания не допускается.
Используемая для гидравлического испытания вода не должна загрязнять оборудование или вызывать интенсивную коррозию.
Разница температур металла и окружающего воздуха во время гидравлического испытания не должна приводить к конденсации влаги на поверхности стенок оборудования.
В технически обоснованных случаях, предусмотренных организацией-изготовителем, при проведении гидравлического испытания при эксплуатации сосудов допускается использовать другую жидкость. Проведение испытания токсичной, коррозионной жидкостью не допускается.
186. При заполнении оборудования водой воздух из него должен быть удален полностью.
Давление в испытуемом оборудовании следует поднимать плавно и равномерно. Общее время подъема давления (до значения пробного) должно быть указано в технологической документации. Давление воды при гидравлическом испытании следует контролировать не менее чем двумя манометрами. Оба манометра выбирают одного типа, предела измерения, одинаковых классов точности (не ниже 1,5) и цены деления.
Использование сжатого воздуха или другого газа для подъема давления в оборудовании, заполненном водой, не допускается.
Время выдержки под пробным давлением паровых и водогрейных котлов, включая электрокотлы, трубопроводов пара и горячей воды, а также сосудов, поставленных на место установки в сборе, устанавливает организация-изготовитель в руководстве по эксплуатации и должно быть не менее 10 мин.
Время выдержки под пробным давлением сосудов поэлементной блочной поставки, доизготовленных при монтаже на месте эксплуатации, должно быть не менее:
а) 30 мин при толщине стенки сосуда до 50 мм включительно;
б) 60 мин при толщине стенки сосуда более 50 до 100 мм включительно;
в) 120 мин при толщине стенки сосуда более 100 мм.
Для литых, неметаллических и многослойных сосудов независимо от толщины стенки время выдержки должно быть не менее 60 мин.
187. После выдержки под пробным давлением давление снижается до обоснованного расчетом на прочность значения, но не менее рабочего давления, при котором проводят визуальный контроль наружной поверхности оборудования и всех его разъемных и неразъемных соединений.
188. Оборудование под давлением следует считать выдержавшим гидравлическое испытание, если не будет обнаружено:
а) видимых остаточных деформаций;
б) трещин или признаков разрыва;
в) течи, потения в сварных, развальцованных, заклепочных соединениях и в основном металле;
г) течи в разъемных соединениях;
д) падения давления по манометру.
В развальцованных и разъемных соединениях котлов, разъемных соединениях трубопроводов и сосудов допускается появление отдельных капель, которые не увеличиваются в размерах при выдержке времени.
189. После проведения гидравлического испытания необходимо обеспечить удаление воды из испытуемого оборудования.
Оборудование и его элементы, в которых при гидравлическом испытании выявлены дефекты, после их устранения подвергают повторным гидравлическим испытаниям пробным давлением.
190. Гидравлическое испытание сосудов разрешается заменять пневматическим испытанием (сжатым воздухом, инертным газом или смесью воздуха с инертным газом) при условии одновременного контроля методом акустической эмиссии.
Пробное давление при пневматическом испытании следует определять по формуле:
В случае если вероятность хрупкого разрушения при пневматическом испытании больше, чем в рабочих условиях, и его последствия представляют значительную опасность, пробное давление должно быть снижено до технически обоснованного уровня, но не менее рабочего давления. Температура испытания должна быть не менее, чем на 25 °C выше температуры хрупкого излома материалов испытуемого оборудования.
В технически обоснованных случаях, предусмотренных организацией-изготовителем, при проведении пневматических испытаний при эксплуатации оборудования допускается использовать в качестве нагружающей среды газообразную рабочую среду объекта испытаний, при этом пробное давление должно превышать рабочее не менее чем на 5%, но не превышать пробное давление, определяемое по формуле (7).
Время выдержки сосуда под пробным давлением при пневматическом испытании должно быть указано в технической документации и составлять не менее 15 мин.
После выдержки под пробным давлением давление следует снизить до обоснованного расчетом на прочность значения, но не менее рабочего давления, при котором следует проводить визуальный контроль наружной поверхности и проверку герметичности сварных и разъемных соединений.
- Гражданский кодекс (ГК РФ)
- Жилищный кодекс (ЖК РФ)
- Налоговый кодекс (НК РФ)
- Трудовой кодекс (ТК РФ)
- Уголовный кодекс (УК РФ)
- Бюджетный кодекс (БК РФ)
- Арбитражный процессуальный кодекс
- Конституция РФ
- Земельный кодекс (ЗК РФ)
- Лесной кодекс (ЛК РФ)
- Семейный кодекс (СК РФ)
- Уголовно-исполнительный кодекс
- Уголовно-процессуальный кодекс
- Производственный календарь на 2025 год
- МРОТ 2025
- ФЗ «О банкротстве»
- О защите прав потребителей (ЗОЗПП)
- Об исполнительном производстве
- О персональных данных
- О налогах на имущество физических лиц
- О средствах массовой информации
- Производственный календарь на 2026 год
- Федеральный закон "О полиции" N 3-ФЗ
- Расходы организации ПБУ 10/99
- Минимальный размер оплаты труда (МРОТ)
- Календарь бухгалтера на 2025 год
- Частичная мобилизация: обзор новостей
- Постановление Правительства РФ N 1875
, (1)
. (2)
. (3)
. (4)
, (6)
. (7)