Приложение. Изменения и дополнения, вносимые в Методические указания по регулированию розничных цен на газ, реализуемый населению, утвержденные приказом Федеральной службы по тарифам от 27 октября 2011 года N 252-э/2
к приказу Федеральной
службы по тарифам
от 7 августа 2013 г. N 156-э/8
ВНОСИМЫЕ В МЕТОДИЧЕСКИЕ УКАЗАНИЯ ПО РЕГУЛИРОВАНИЮ РОЗНИЧНЫХ
ЦЕН НА ГАЗ, РЕАЛИЗУЕМЫЙ НАСЕЛЕНИЮ, УТВЕРЖДЕННЫЕ
ПРИКАЗОМ ФЕДЕРАЛЬНОЙ СЛУЖБЫ ПО ТАРИФАМ
ОТ 27 ОКТЯБРЯ 2011 ГОДА N 252-Э/2
1. В пункте 7:
- в абзаце третьем слова "заключается с новым потребителем на неполный год;" заменить словами "заключается вследствие ввода в эксплуатацию нового газоиспользующего оборудования (далее - новый конечный потребитель) на неполный год;";
- в абзаце пятом слова "в случае, если договор (дополнительное соглашение к договору) заключается на неполный год вследствие ввода в эксплуатацию нового газоиспользующего оборудования (далее - новый конечный потребитель)," исключить.
2. Дополнить пункт 13 абзацем в следующей редакции:
"В случае, если предельные уровни роста стоимости жилищно-коммунальных услуг и (или) платы граждан за них не установлены, и при приведении в соответствие с положениями настоящих Методических указаний расчета дифференцированных по направлениям (наборам направлений) использования газа розничных цен на газ, их рост для какого-либо направления (набора направлений) использования газа превышает индекс роста регулируемых оптовых цен на газ, реализуемый населению, определенный прогнозом социально-экономического развития Российской Федерации на соответствующий период, то для указанных направлений (наборов направлений) использования газа параметры роста розничных цен определяются в диапазоне между индексом роста регулируемых оптовых цен на газ, реализуемый населению, определенного прогнозом социально-экономического развития Российской Федерации на соответствующий период (но не ниже роста средней розничной цены на газ) и параметрами, определяемыми в соответствии с настоящими Методическими указаниями.".
3. В пункте 25:
- абзац первый после слов "не для разовых работ" дополнить словами ", с которыми договор транспортировки заключен на неполный год,";
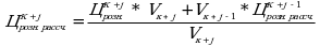
- абзацы со второго по одиннадцатый изложить в следующей редакции:
- размер розничной цены на газ, установленный для объемной группы, к которой был отнесен конечный потребитель после уточнения его объемных показателей, для месяца проведения такого отнесения;
- размер розничной цены на газ, установленный для объемной группы, к которой был отнесен конечный потребитель после уточнения его объемных показателей, действующий в i-том месяце оказания услуг;
- размер розничной цены на газ, установленный для объемной группы, к которой был отнесен конечный потребитель перед проведением корректировки отнесения, действующий в i-том месяце оказания услуг;
к - порядковый номер месяца, в котором конечный потребитель был отнесен к другой объемной группе;
- объем поставки газа конечному потребителю, который был отнесен к другой объемной группе в соответствующем месяце.
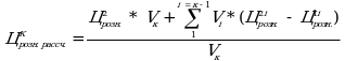
В случае если значение
, рассчитываемое по формуле (5), оказывается отрицательным, то розничная цена на газ в этом месяце не взимается, а розничная цена, применяемая к объему поставки газа, поставляемого данному конечному потребителю, в последующих месяцах, рассчитывается по следующей формуле до получения первого неотрицательного значения:
- размер розничной цены на газ, установленный и действующий в месяце проведения расчета по формуле (6) для объемной группы, к которой был отнесен конечный потребитель в рассматриваемом месяце;
j - порядковый номер месяца, следующего за месяцем, в котором конечный потребитель был отнесен к другой объемной группе.
В случае если значение
, рассчитываемое по формуле (6), оказывается отрицательным, то розничная цена на газ в этом месяце не взимается.
В случае если значение
, рассчитываемое по формуле (5), оказывается отрицательным, осуществляется проведение перерасчета розничной цены на газ в соответствии с алгоритмом, предусмотренным формулой (6), за предыдущий(е) месяц(ы), в случае, если это предусмотрено договором поставки и (или) рассматриваемый поставщик больше не осуществляет поставку газа указанному конечному потребителю.
4. Изложить пункт 26 в следующей редакции:
"26. В случае если в течение календарного года после начала транспортировки газа вследствие заключения дополнительных соглашений к договору поставки газа с конечным потребителем годовой договорной объем поставки газа за вычетом накопленных к моменту заключения дополнительных соглашений объемов перерасхода газа без предварительного согласования с поставщиком, газотранспортной или газораспределительной организацией (но не более 10% от общего годового договорного объема поставки газа) по какой-либо точке подключения выходит за объемные пределы группы, к которой данный конечный потребитель был первоначально отнесен, осуществляется проведение отнесения данного конечного потребителя к другой группе с учетом алгоритма корректировки тарифов, изложенного в пункте 25 настоящих Методических указаний, если договором поставки газа предусмотрены объемные показатели по точкам подключения. Корректировка отнесения конечного потребителя к группе вследствие заключения дополнительных соглашений к договору поставки газа не проводится, если это указано в договоре поставки.".
5. Изложить пункт 27 в следующей редакции:
"27. Розничные цены на газ утверждаются не менее чем на год одновременно с пересмотром регулируемых оптовых цен на газ, определяемых в соответствии с прогнозом социально-экономического развития Российской Федерации на соответствующий период.".
- Гражданский кодекс (ГК РФ)
- Жилищный кодекс (ЖК РФ)
- Налоговый кодекс (НК РФ)
- Трудовой кодекс (ТК РФ)
- Уголовный кодекс (УК РФ)
- Бюджетный кодекс (БК РФ)
- Арбитражный процессуальный кодекс
- Конституция РФ
- Земельный кодекс (ЗК РФ)
- Лесной кодекс (ЛК РФ)
- Семейный кодекс (СК РФ)
- Уголовно-исполнительный кодекс
- Уголовно-процессуальный кодекс
- Производственный календарь на 2025 год
- МРОТ 2026
- ФЗ «О банкротстве»
- О защите прав потребителей (ЗОЗПП)
- Об исполнительном производстве
- О персональных данных
- О налогах на имущество физических лиц
- О средствах массовой информации
- Производственный календарь на 2026 год
- Федеральный закон "О полиции" N 3-ФЗ
- Расходы организации ПБУ 10/99
- Минимальный размер оплаты труда (МРОТ)
- Календарь бухгалтера на 2026 год
- Частичная мобилизация: обзор новостей
- Постановление Правительства РФ N 1875
(5)
(6)