XX. Порядок проведения отбора проектов модернизации генерирующих объектов тепловых электростанций и особенности торговли мощностью по договорам купли-продажи мощности модернизированных объектов
XX. Порядок проведения отбора проектов модернизации
генерирующих объектов тепловых электростанций и особенности
торговли мощностью по договорам купли-продажи мощности
модернизированных объектов
(введен Постановлением Правительства РФ от 25.01.2019 N 43)
264. Цель проведения отбора проектов модернизации генерирующих объектов тепловых электростанций (далее соответственно - проекты модернизации, отбор проектов модернизации) состоит в определении перечня проектов и генерирующих объектов для формирования перечня генерирующих объектов, мощность которых поставляется по договорам купли-продажи (поставки) мощности модернизированных генерирующих объектов, утверждаемого Правительством Российской Федерации на основании результатов отбора проектов модернизации генерирующих объектов тепловых электростанций в соответствии с настоящим разделом, в отношении которых будут заключены договоры, предусмотренные подпунктом 15 пункта 4 настоящих Правил (далее - перечень, утвержденный Правительством Российской Федерации на основании результатов отбора проектов модернизации).
В 2019 году отбор проектов модернизации проводится с приемом ценовых заявок на участие в отборе проектов модернизации до 1 сентября и с началом поставки мощности по его итогам с 1 января по 31 декабря 2025 г.
(в ред. Постановления Правительства РФ от 07.11.2019 N 1411)
(см. текст в предыдущей редакции)
В 2020 году отбор проектов модернизации проводится с приемом ценовых заявок на участие в отборе проектов модернизации до 1 декабря и с началом поставки мощности по его итогам с 1 января по 31 декабря 2026 г.
(абзац введен Постановлением Правительства РФ от 27.03.2020 N 349; в ред. Постановлений Правительства РФ от 29.06.2020 N 948, от 31.08.2020 N 1318, от 01.10.2020 N 1571)
(см. текст в предыдущей редакции)
В 2021 году отбор проектов модернизации проводится с приемом ценовых заявок на участие в отборе проектов модернизации до 1 мая и с началом поставки мощности по его итогам с 1 января по 31 декабря 2027 г. В рамках проведения отбора проектов модернизации в 2021 году также отбираются проекты модернизации, предусматривающие установку газовых турбин, относимых к образцам инновационного энергетического оборудования, с началом поставки мощности по итогам этого отбора в период с 1 января 2027 г. по 31 декабря 2029 г.
(в ред. Постановления Правительства РФ от 18.03.2021 N 395)
(см. текст в предыдущей редакции)
Абзац утратил силу. - Постановление Правительства РФ от 28.09.2023 N 1580.
(см. текст в предыдущей редакции)
В 2024 году отбор проектов модернизации проводится с приемом ценовых заявок на участие в отборе проектов модернизации до 15 декабря и с началом поставки мощности по его итогам с 1 января по 31 декабря 2028 г.
(абзац введен Постановлением Правительства РФ от 29.12.2023 N 2389; в ред. Постановления Правительства РФ от 25.09.2024 N 1304)
(см. текст в предыдущей редакции)
С 2025 по 2027 год (включительно) отбор проектов модернизации проводится ежегодно с приемом ценовых заявок на участие в отборе проектов модернизации до 31 октября и с началом поставки мощности по его итогам в году, наступающем через 3 календарных года после года проведения отбора проектов модернизации. В рамках проведения отбора проектов модернизации в 2025 году дополнительно отбираются проекты модернизации, предусматривающие реализацию мероприятий, указанных в абзаце третьем подпункта 2 пункта 266 настоящих Правил, с началом поставки мощности по итогам этого отбора в период с 1 января 2029 г. по 31 декабря 2031 г.
(в ред. Постановлений Правительства РФ от 29.10.2021 N 1852, от 06.02.2023 N 164, от 28.09.2023 N 1580, от 29.12.2023 N 2389, от 21.03.2025 N 341, от 30.09.2025 N 1504, от 30.09.2025 N 1505)
(см. текст в предыдущей редакции)
Отбор проектов модернизации с началом поставки мощности в период с 1 января 2022 г. по 31 декабря 2024 г. проводится в сроки, установленные Правительством Российской Федерации.
Отбор проектов модернизации проводится системным оператором в порядке, определенном настоящими Правилами и договором о присоединении к торговой системе оптового рынка.
265. Значения максимальной совокупной установленной мощности генерирующих объектов, которые могут быть определены по итогам отбора проектов модернизации, для каждой ценовой зоны оптового рынка для каждого года периода начала поставки мощности по итогам отбора проектов модернизации устанавливаются Правительством Российской Федерации на основе генеральной схемы размещения объектов электроэнергетики, утверждаемой Правительством Российской Федерации, и не могут превышать для 2022 года для первой ценовой зоны оптового рынка 2,4 ГВт и для второй ценовой зоны оптового рынка 0,6 ГВт, а для последующих годов для первой ценовой зоны оптового рынка - 1,45 ГВт и для второй ценовой зоны оптового рынка - 0,55 ГВт. В отсутствие такого акта Правительства Российской Федерации, принятого не позднее 30 дней до даты окончания приема ценовых заявок на участие в отборе проектов модернизации, указанной в пункте 264 настоящих Правил, значения максимальной совокупной установленной мощности генерирующих объектов, которые могут быть определены по итогам отбора проектов модернизации, устанавливаются равными указанным значениям. Для 2027, 2028 и 2029 годов в рамках отбора, проведенного в 2021 году, Правительством Российской Федерации дополнительно устанавливаются объемы максимальной совокупной установленной мощности генерирующих объектов, которые могут быть определены по итогам отбора проектов модернизации, в целях отбора проектов модернизации, предусматривающих установку газовых турбин, относимых к образцам инновационного энергетического оборудования. Указанные объемы суммарно для 2027 - 2029 годов составляют 1610 МВт, но не более 322 МВт для второй ценовой зоны оптового рынка. В рамках отбора, проводимого в 2025 году, дополнительно устанавливаются объемы максимальной совокупной установленной мощности генерирующих объектов, которые могут быть определены по итогам отбора проектов модернизации, в целях отбора проектов модернизации, предусматривающих реализацию мероприятий, указанных в абзаце третьем подпункта 2 пункта 266 настоящих Правил, и для 2029 года составляют 1 ГВт, но не более 0,2 ГВт для второй ценовой зоны оптового рынка, для 2030 и 2031 года (для каждого из указанных годов) составляют 2 ГВт, но не более 0,4 ГВт для второй ценовой зоны оптового рынка.
(в ред. Постановлений Правительства РФ от 29.06.2020 N 948, от 30.11.2020 N 1974, от 18.03.2021 N 395, от 30.09.2025 N 1505)
(см. текст в предыдущей редакции)
Оборудование, эксплуатируемое по итогам реализации проектов модернизации, должно соответствовать требованиям по локализации. Перечень оборудования, к которому применяются требования по локализации, утверждается Министерством промышленности и торговли Российской Федерации.
(в ред. Постановления Правительства РФ от 10.02.2021 N 146)
(см. текст в предыдущей редакции)
Требования по локализации не распространяются на предусмотренные проектом модернизации мероприятия по замене паровой турбины, переводу генерирующего объекта, работающего с использованием паросилового цикла, в работу с использованием парогазового цикла за счет надстройки генерирующего объекта газовой турбиной (газовыми турбинами) с установкой автоматических систем управления технологическими процессами и локальных систем автоматического управления с их дооснащением системами диагностики и прогностики технического состояния газовой турбины (газовых турбин), а также по комплексной замене генератора (генераторов) при условии, что паровая турбина с генератором, газовая турбина с генератором приобретены участником оптового рынка до 2019 года и не должны быть ранее эксплуатированными и (или) использованными.
(абзац введен Постановлением Правительства РФ от 30.09.2025 N 1505)
266. При отборе проектов модернизации подлежат рассмотрению проекты, содержащие одно или несколько следующих мероприятий, указанных в подпункте 1 и (или) подпункте 2 настоящего пункта, которые могут быть дополнены одним или несколькими сопутствующими мероприятиями, указанными в подпункте 3 настоящего пункта:
1) комплексная замена котлоагрегата (котлоагрегатов);
(пп. 1 в ред. Постановления Правительства РФ от 29.06.2020 N 948)
(см. текст в предыдущей редакции)
2) модернизация турбинного оборудования, которая заключается в реализации любого из следующих мероприятий:
комплексная замена паровой турбины (паровых турбин) на паровую турбину (паровые турбины);
перевод генерирующего объекта, работающего с использованием паросилового цикла, в работу с использованием парогазового цикла за счет надстройки генерирующего объекта газовой турбиной (газовыми турбинами) с установкой автоматических систем управления технологическими процессами и локальных систем автоматического управления с их дооснащением системами диагностики и прогностики технического состояния газовой турбины (газовых турбин) или комплексная замена газовой турбины (газовых турбин) на газовую турбину (газовые турбины) без котла-утилизатора с установкой автоматических систем управления технологическими процессами и локальных систем автоматического управления с их дооснащением системами диагностики и прогностики технического состояния газовой турбины (газовых турбин);
(см. текст в предыдущей редакции)
абзацы четвертый - седьмой утратили силу. - Постановление Правительства РФ от 29.06.2020 N 948;
(см. текст в предыдущей редакции)
комплексная замена генератора (генераторов);
(в ред. Постановления Правительства РФ от 29.06.2020 N 948)
(см. текст в предыдущей редакции)
замена ротора генератора (генераторов);
(в ред. Постановления Правительства РФ от 29.06.2020 N 948)
(см. текст в предыдущей редакции)
строительство градирни и циркуляционной насосной станции;
замена регенеративных подогревателей;
замена трубопроводов острого пара, и (или) промперегрева, и (или) питательной воды технологического соединения "котел-турбина";
замена (установка) золоулавливающего оборудования;
замена (строительство) дымовой трубы на угольной электростанции;
замена (строительство) систем приема подготовки и распределения топлива на угольной электростанции;
строительство нового (реконструкция или расширение) существующего главного корпуса с необходимыми инженерными системами под монтаж котла, котла-утилизатора, газовой турбины, генератора, паровой турбины;
строительство нового золоотвала или реконструкция золоотвала с увеличением емкости;
замена в полном объеме барабана котлоагрегата;
(в ред. Постановления Правительства РФ от 29.06.2020 N 948)
(см. текст в предыдущей редакции)
замена в полном объеме пароперегревателей котлоагрегата;
(в ред. Постановления Правительства РФ от 29.06.2020 N 948)
(см. текст в предыдущей редакции)
замена в полном объеме топочных экранов котлоагрегата;
(в ред. Постановления Правительства РФ от 29.06.2020 N 948)
(см. текст в предыдущей редакции)
замена в полном объеме перепускных трубопроводов с арматурой по пароводяному тракту парового котлоагрегата;
(в ред. Постановления Правительства РФ от 29.06.2020 N 948)
(см. текст в предыдущей редакции)
замена цилиндра высокого давления;
(абзац введен Постановлением Правительства РФ от 29.06.2020 N 948)
замена цилиндра высокого давления с заменой (модернизацией) части (цилиндра) среднего давления турбины с промежуточным перегревом пара;
(абзац введен Постановлением Правительства РФ от 29.06.2020 N 948)
замена цилиндра высокого давления с заменой (модернизацией) части (цилиндра) среднего давления (или части среднего и низкого давления) турбины без промежуточного перегрева пара;
(абзац введен Постановлением Правительства РФ от 29.06.2020 N 948)
замена цилиндра высокого давления с заменой (модернизацией) цилиндра низкого давления турбины;
(абзац введен Постановлением Правительства РФ от 29.06.2020 N 948)
замена автоматических систем управления технологическими процессами и локальных систем автоматического управления с их дооснащением системами диагностики и прогностики технического состояния турбинного или котельного оборудования.
(абзац введен Постановлением Правительства РФ от 29.06.2020 N 948)
267. Договором о присоединении к торговой системе оптового рынка могут быть установлены особенности формирования состава мероприятий, предусмотренных одним проектом модернизации.
Не допускается включение в проект модернизации мероприятий, реализованных до проведения отбора проектов модернизации, а также мероприятий по модернизации оборудования, в отношении которого уже заключены договоры, указанные в подпунктах 15 и 17 пункта 4 настоящих Правил.
(см. текст в предыдущей редакции)
268. В отборе проектов модернизации могут участвовать поставщики - участники оптового рынка, осуществляющие поставку (покупку) электрической энергии и мощности на оптовом рынке с использованием групп точек поставки, зарегистрированных в отношении генерирующих объектов, соответствующих критериям, установленным в настоящем пункте, при условии выполнения такими участниками оптового рынка требований, установленных настоящими Правилами и договором о присоединении к торговой системе оптового рынка. Генерирующие объекты, в отношении которых поставщик вправе участвовать в отборе проектов модернизации, должны соответствовать следующим критериям:
1) для генерирующих объектов, в отношении которых планируется реализация мероприятий, указанных в подпункте 1 пункта 266 настоящих Правил, год выпуска котлоагрегата наступил ранее чем за 40 лет до года начала поставки мощности по итогам соответствующего отбора проектов модернизации;
2) генерирующий объект, в отношении которого планируется реализация мероприятий, указанных в подпункте 2 пункта 266 настоящих Правил, по состоянию на 1 января года, в котором проводится отбор проектов модернизации, должен быть задействован в работе не менее (данный критерий не применяется для входящих в состав генерирующих объектов газовых турбин, а также для паровых турбин, в отношении которых планируется реализация мероприятий, указанных в абзаце третьем подпункта 2 пункта 266 настоящих Правил, и при этом не планируется их вывод из эксплуатации по итогам реализации проекта модернизации и (или) реализация мероприятий, указанных в абзаце втором подпункта 2 пункта 266 настоящих Правил):
(см. текст в предыдущей редакции)
270000 часов - для генерирующих объектов, в состав которых входит турбина с давлением острого пара 10 МПа и менее;
220000 часов - для генерирующих объектов, в состав которых входит турбина с установленной мощностью менее 350 МВт и давлением острого пара более 10 МПа;
100000 часов - для генерирующих объектов, в состав которых входит турбина с установленной мощностью 350 МВт и более и давлением острого пара более 10 МПа, и для входящих в состав генерирующих объектов турбин, в отношении которых планируется реализация мероприятий, указанных в абзаце третьем подпункта 2 пункта 266 настоящих Правил;
(в ред. Постановления Правительства РФ от 30.09.2025 N 1505)
(см. текст в предыдущей редакции)
3) показатель востребованности мощности генерирующего объекта, рассчитанный в соответствии с пунктом 55 настоящих Правил за период, состоящий из 24 месяцев, предшествующих месяцу, в котором устанавливается соответствие генерирующих объектов настоящему критерию (без учета периодов проведения плановых ремонтов соответствующих генерирующих объектов, не превышающих 360 календарных дней), имеет значение не менее 0,4. Данный критерий не применяется к генерирующим объектам, в отношении которых планируется реализация мероприятий, указанных в абзаце третьем подпункта 2 пункта 266 настоящих Правил;
(в ред. Постановления Правительства РФ от 30.09.2025 N 1505)
(см. текст в предыдущей редакции)
4) в отношении генерирующего объекта отсутствует решение о согласовании вывода из эксплуатации, выданное после 1 января 2019 г. уполномоченным органом в соответствии с Правилами вывода объектов электроэнергетики в ремонт и из эксплуатации;
5) мощность генерирующего объекта не поставляется по договорам о предоставлении мощности по состоянию на 1-е число месяца, в котором устанавливается соответствие генерирующих объектов настоящему критерию;
6) мощность генерирующего объекта отобрана по результатам конкурентных отборов мощности на 3 календарных года, предшествующих году начала поставки мощности по итогам отбора проектов модернизации (первому году периода начала поставки мощности по итогам отбора проектов модернизации, указанного в пункте 264 настоящих Правил), или учтена при их проведении как подлежащая оплате по договорам, указанным в подпункте 11 пункта 4 настоящих Правил, в объеме, составляющем по отношению к декабрю каждого из указанных календарных лет не менее 90 процентов объема мощности этого генерирующего объекта, отобранной по результатам конкурентного отбора мощности на год, который начинается за 4 года до года начала поставки мощности по итогам отбора проектов модернизации (первого года периода начала поставки мощности по итогам отбора проектов модернизации, указанного в пункте 264 настоящих Правил), или учтенной в этом конкурентном отборе мощности как мощность, подлежащая оплате по договорам, указанным в подпункте 11 пункта 4 настоящих Правил, или подлежит поставке в декабре соответствующего года по договорам, указанным в подпункте 18 пункта 4 настоящих Правил.
(см. текст в предыдущей редакции)
269. К участию в отборе проектов модернизации допускаются участники оптового рынка, зарегистрировавшие условную группу точек поставки на оптовом рынке в отношении генерирующего объекта, поставка мощности которого предполагается по договорам, предусмотренным подпунктом 15 пункта 4 настоящих Правил, с указанием соответствующих ей генерирующих объектов, в отношении которых планируется реализация проектов модернизации, а также выполнившие иные требования, установленные договором о присоединении к торговой системе оптового рынка. Каждому генерирующему объекту, в отношении которого планируется реализация проектов модернизации, может соответствовать только одна условная группа точек поставки.
Участник оптового рынка, планирующий принять участие в отборе проектов модернизации, подтверждает соответствие генерирующих объектов указанным в пункте 268 настоящих Правил критериям и требованиям путем представления организации коммерческой инфраструктуры и системному оператору оптового рынка документов, перечень и порядок представления которых определяется договором о присоединении к торговой системе оптового рынка, в срок не позднее 14 дней до даты окончания приема ценовых заявок на участие в отборе проектов модернизации, указанной в пункте 264 настоящих Правил.
Проверка достоверности представленных участником оптового рынка сведений осуществляется в соответствии с договором о присоединении к торговой системе оптового рынка, в том числе с возможностью проведения выездной проверки.
270. Системный оператор не позднее чем за 20 дней до окончания периода подачи ценовых заявок на участие в отборе проектов модернизации в порядке, установленном договором о присоединении к торговой системе оптового рынка, публикует на своем официальном сайте в сети Интернет следующую информацию:
(в ред. Постановления Правительства РФ от 29.06.2020 N 948)
(см. текст в предыдущей редакции)
1) требования, соответствующие настоящим Правилам и договору о присоединении к торговой системе оптового рынка, к содержанию ценовых заявок на участие в отборе проектов модернизации, подаваемых его участниками, а также способы и период их подачи в целях участия в таком отборе, длительность которого не может быть менее 2 рабочих дней;
(в ред. Постановления Правительства РФ от 29.06.2020 N 948)
(см. текст в предыдущей редакции)
2) перечень и описание территорий, по которым определяются значения максимального совокупного снижения установленной мощности генерирующих объектов, в отношении которых могут одновременно реализовываться проекты модернизации, с указанием отнесения таких территорий к территориям технологически необходимой генерации;
(в ред. Постановления Правительства РФ от 30.09.2025 N 1505)
(см. текст в предыдущей редакции)
3) значения максимального совокупного снижения установленной мощности генерирующих объектов, в отношении которых могут одновременно реализовываться мероприятия по модернизации, для каждой из указанных в подпункте 2 настоящего пункта территорий и для каждой ценовой зоны оптового рынка;
4) значение нормы доходности, определенное в соответствии с пунктом 283 настоящих Правил по результатам года, предшествующего году, в котором проводится отбор проектов модернизации;
5) рассчитанное организацией коммерческой инфраструктуры в соответствии с договором о присоединении к торговой системе оптового рынка среднее значение цен, определенных по итогам конкурентного отбора ценовых заявок на сутки вперед, для каждой ценовой зоны оптового рынка за период, состоящий из 12 календарных месяцев, оканчивающийся не позднее 60 календарных дней до начала периода подачи ценовых заявок на участие в отборе проектов модернизации;
6) иные сведения, обязательные для опубликования при подготовке проведения отбора проектов модернизации в соответствии с договором о присоединении к торговой системе оптового рынка.
270(1). Если после опубликования информации в соответствии с пунктом 270 настоящих Правил и до начала периода подачи ценовых заявок вступают в силу акты Правительства Российской Федерации, которые предусматривают изменения значений опубликованных величин (в том числе в связи с изменением порядка их определения) и (или) требований либо устанавливают для проведения отбора проектов модернизации новые требования, информация, предусмотренная пунктом 270 настоящих Правил, должна быть актуализирована системным оператором не позднее начала периода подачи заявок на участие в отборе проектов модернизации.
(п. 270(1) введен Постановлением Правительства РФ от 30.09.2025 N 1505)
271. Территории, по которым определяется значение максимального совокупного снижения установленной мощности генерирующих объектов, в отношении которых могут одновременно реализовываться проекты модернизации, и соответствующие значения максимального совокупного снижения установленной мощности генерирующих объектов определяются системным оператором в порядке, определенном договором о присоединении к торговой системе оптового рынка, исходя из объемов установленной мощности генерирующих объектов с учетом статистической информации о технологических ограничениях на производство или выдачу в сеть электрической энергии и ремонтных снижениях мощности соответствующих генерирующих объектов, прогнозируемых объемов потребления электрической энергии в энергорайонах, ограничений на передачу электрической энергии по электрическим сетям, объемов снижения установленной мощности генерирующих объектов, в отношении которых реализуются проекты модернизации в соответствии с заключенными ранее договорами, предусмотренными подпунктами 15 и 17 пункта 4 настоящих Правил.
(в ред. Постановления Правительства РФ от 23.12.2024 N 1868)
(см. текст в предыдущей редакции)
272. Участники оптового рынка, имеющие в соответствии с настоящими Правилами право на участие в отборе проектов модернизации, в течение периода подачи ценовых заявок на участие в отборе проектов модернизации в порядке, установленном договором о присоединении к торговой системе оптового рынка, направляют системному оператору ценовые заявки на участие в отборе проектов модернизации.
Ценовая заявка на участие в отборе проектов модернизации может быть подана только в отношении генерирующего объекта, соответствующего требованиям и критериям, указанным в пункте 268 настоящих Правил, или в отношении совокупности таких генерирующих объектов, относящихся к одной электростанции. При подаче ценовых заявок на участие в отборе проектов модернизации в отношении генерирующих объектов, относящихся к одной электростанции, участником отбора должно соблюдаться установленное в соответствии с договором о присоединении к торговой системе оптового рынка ограничение на количество и (или) суммарную установленную мощность генерирующих объектов, относящихся к одной электростанции, в отношении которых могут быть поданы ценовые заявки на участие в отборе проектов модернизации.
В отношении одного генерирующего объекта (генерирующего оборудования) не может быть заявлено более одного проекта модернизации.
Проект модернизации может состоять из различных мероприятий по модернизации из числа мероприятий, указанных в пункте 266 настоящих Правил. В случае если проект модернизации предусматривает вывод генерирующего объекта (совокупности объектов) из эксплуатации, то допускается ввод в эксплуатацию нового генерирующего объекта (совокупности объектов) вне электростанции (электростанций), к которым относятся генерирующие объекты, выводимые из эксплуатации, при условии расположения нового генерирующего объекта в той же ценовой зоне оптового рынка с электростанцией (электростанциями), к которым относятся генерирующие объекты, выводимые из эксплуатации.
(в ред. Постановления Правительства РФ от 30.09.2025 N 1505)
(см. текст в предыдущей редакции)
Ценовая заявка на участие в отборе проектов модернизации, подаваемая каждым из участников отбора проектов модернизации, должна содержать:
описание каждого генерирующего объекта до реализации проекта модернизации (указание типа генерирующего объекта, названия электростанции, к которой относится генерирующий объект);
описание каждого генерирующего объекта после реализации проекта модернизации (указание типа генерирующего объекта, названия электростанции, к которой относится генерирующий объект);
значение установленной мощности генерирующего объекта (совокупности генерирующих объектов) после реализации проекта модернизации, которое не может отличаться от значения установленной мощности генерирующего объекта (совокупности генерирующих объектов) до реализации проекта модернизации в сторону увеличения более чем на 30 процентов (не распространяется на проекты модернизации генерирующих объектов, расположенных на территориях технологически необходимой генерации, указанных в опубликованной в соответствии с пунктом 270 настоящих Правил информации) и в сторону уменьшения более чем на 50 процентов (для проектов модернизации генерирующих объектов, расположенных на территориях технологически необходимой генерации, указанных в опубликованной в соответствии с пунктом 270 настоящих Правил информации, уменьшение установленной мощности не допускается);
(в ред. Постановления Правительства РФ от 30.09.2025 N 1505)
(см. текст в предыдущей редакции)
величина снижения установленной мощности генерирующего объекта (электростанции) в каждом календарном месяце реализации проекта модернизации для целей формирования предварительного графика реализации проектов модернизации;
перечень мероприятий по модернизации из числа мероприятий, указанных в пункте 266 настоящих Правил;
параметры котлоагрегата (паропроизводительность) после реализации проекта модернизации котельного оборудования, параметры паровой (газовой) турбины (установленная электрическая мощность) после реализации проекта модернизации турбинного оборудования и параметры иного оборудования после реализации мероприятий, указанных в подпункте 3 пункта 266 настоящих Правил;
перечень и параметры генерирующих объектов, выводимых из эксплуатации в процессе реализации проекта модернизации и вводимых в эксплуатацию в процессе реализации проекта модернизации, с указанием электростанции, к которой относятся такие объекты;
стоимостные параметры проекта модернизации, указанные в пункте 273 настоящих Правил;
планируемый месяц начала поставки мощности по окончании реализации проекта модернизации в период начала поставки мощности по итогам соответствующего отбора проектов модернизации с указанием согласия на изменение данного параметра при формировании графика реализации проектов модернизации;
количество календарных месяцев, составляющих период реализации мероприятий по модернизации, которое не может превышать 36 месяцев.
(в ред. Постановления Правительства РФ от 30.09.2025 N 1505)
(см. текст в предыдущей редакции)
273. В ценовой заявке на участие в отборе проектов модернизации указываются следующие стоимостные параметры:
значение удельных затрат на эксплуатацию генерирующего объекта после реализации проекта модернизации (выраженное в рублях на МВт в месяц в ценах текущего года);
значение капитальных затрат на реализацию проекта модернизации (выраженное в рублях);
коэффициент, характеризующий прогнозную прибыль от продажи электрической энергии по итогам конкурентного отбора ценовых заявок на сутки вперед.
Значение удельных затрат на эксплуатацию генерирующего объекта после реализации проекта модернизации не может превышать цену, определенную для соответствующей ценовой зоны по итогам конкурентного отбора мощности, проведенного в 2017 году, проиндексированную для отборов проектов модернизации, проводимых в 2019 году и в последующих годах, в соответствии с индексом потребительских цен за период с 1 января 2018 г. до 31 декабря года, предшествующего году, в котором проводится такой отбор, и умноженную на коэффициент 1,1136.
(в ред. Постановления Правительства РФ от 30.09.2025 N 1505)
(см. текст в предыдущей редакции)
Значение капитальных затрат на реализацию проекта модернизации не может превышать величину предельных максимальных капитальных затрат на реализацию соответствующего проекта модернизации, определенную в соответствии с Правилами определения величин предельных (максимальных и минимальных) капитальных затрат на реализацию проектов модернизации генерирующих объектов тепловых электростанций, утвержденными постановлением Правительства Российской Федерации от 25 января 2019 г. N 43 "О проведении отборов проектов модернизации генерирующих объектов тепловых электростанций", и не может быть менее величины предельных минимальных капитальных затрат, определенной в соответствии с указанными Правилами, для реализации соответствующего проекта модернизации. Значение коэффициента, характеризующего прогнозную прибыль от продажи электрической энергии по итогам конкурентного отбора ценовых заявок на сутки вперед, не может быть менее 0,04 (0,25 для проекта модернизации, предусматривающего перевод генерирующего объекта, работающего с использованием паросилового цикла, в работу с использованием парогазового цикла) и более 0,38.
274. В ходе отбора проектов модернизации в порядке, предусмотренном договором о присоединении к торговой системе оптового рынка, рассматриваются и сопоставляются ценовые заявки на участие в отборе проектов модернизации, соответствующие требованиям настоящих Правил и договора о присоединении к торговой системе оптового рынка.
При проведении отбора проектов модернизации в 2021 году в порядке, предусмотренном договором о присоединении к торговой системе оптового рынка, отдельно рассматриваются и сопоставляются ценовые заявки на участие в отборе проектов модернизации, поданные в отношении проектов модернизации, предусматривающих установку газовых турбин, относимых к образцам инновационного энергетического оборудования, и иных проектов.
(абзац введен Постановлением Правительства РФ от 29.06.2020 N 948; в ред. Постановления Правительства РФ от 30.11.2020 N 1974)
(см. текст в предыдущей редакции)
275. В целях сравнения ценовых заявок на участие в отборе проектов модернизации для каждого проекта модернизации, в отношении которого подана ценовая заявка, с использованием указанных в ней значений стоимостных параметров, рассчитывается показатель эффективности.
Показатель эффективности рассчитывается как сумма среднего значения цен, определенных по итогам конкурентного отбора ценовых заявок на сутки вперед в ценовой зоне оптового рынка, к которой относится планируемое к модернизации генерирующее оборудование, опубликованного системным оператором в соответствии с пунктом 270 настоящих Правил, умноженного на разницу единицы и указанного в ценовой заявке на участие в отборе проектов модернизации коэффициента, характеризующего прогнозную прибыль от продажи электрической энергии по итогам конкурентного отбора ценовых заявок на сутки вперед, и отношения рассчитанной для целей настоящего пункта стоимости мощности к умноженному на среднее количество часов в календарном месяце значению коэффициента использования установленной мощности генерирующего объекта для отбора проектов модернизации.
Стоимость мощности генерирующего объекта для целей настоящего пункта рассчитывается в соответствии с договором о присоединении к торговой системе оптового рынка как сумма значения удельных затрат на эксплуатацию генерирующего объекта и произведения коэффициента, отражающего величину компенсации затрат на уплату поставщиком налога на имущество и налога на прибыль, равного 1,185, и величины плановой компенсации капитальных затрат, рассчитанной в соответствии с пунктом 282 настоящих Правил для порядкового номера месяца, равного 13, исходя из коэффициента индексации, равного единице, и значения нормы доходности, опубликованного в соответствии с пунктом 270 настоящих Правил.
Коэффициент использования установленной мощности генерирующего объекта для отбора проектов модернизации определяется равным фактическому коэффициенту использования установленной мощности генерирующего объекта, рассчитанному организацией коммерческой инфраструктуры в порядке, определенном договором о присоединении к торговой системе оптового рынка, как отношение объема электрической энергии, произведенного с использованием соответствующего генерирующего объекта (генерирующих объектов, в отношении которых подана одна ценовая заявка на участие в отборе проектов модернизации) за период, равный двум календарным годам, предшествующим дате проведения отбора проектов модернизации, к объему установленной мощности данного генерирующего объекта (генерирующих объектов, в отношении которых подана одна ценовая заявка на участие в отборе проектов модернизации), умноженному на количество часов в указанном периоде. Если фактический коэффициент использования установленной мощности генерирующего объекта принимает значение, меньшее 0,6, то коэффициент использования установленной мощности генерирующего объекта для отбора проектов модернизации увеличивается на разность 1/10 и значения фактического коэффициента использования установленной мощности генерирующего объекта, умноженного на 1/6. Для проекта модернизации, предусматривающего перевод генерирующего объекта, работающего с использованием паросилового цикла, в работу с использованием парогазового цикла, коэффициент использования установленной мощности генерирующего объекта для отбора проектов модернизации принимается равным 0,75.
Для отбора, проводимого в 2025 году, при определении показателя эффективности для проектов модернизации, включающих генерирующее оборудование суммарной мощностью не более 30 МВт и предусматривающих комплексную замену данного генерирующего оборудования, расположенных на территориях субъектов Российской Федерации, на которых в соответствии с Указом Президента Российской Федерации от 19 октября 2022 г. N 757 "О мерах, осуществляемых в субъектах Российской Федерации в связи с Указом Президента Российской Федерации от 19 октября 2022 г. N 756" введен режим, предусматривающий максимальный или средний уровень реагирования, рассчитанное в соответствии с абзацем вторым настоящего пункта значение дополнительно умножается на коэффициент, равный 0,6.
(абзац введен Постановлением Правительства РФ от 30.09.2025 N 1505)
276. В ходе отбора проектов модернизации определяются проекты модернизации и соответствующие генерирующие объекты с наименьшими значениями показателя эффективности, рассчитанными в соответствии с пунктом 275 настоящих Правил, для которых одновременно выполняются следующие условия:
суммарное снижение установленной мощности генерирующих объектов, расположенных на одной территории, определенной в соответствии с пунктом 271 настоящих Правил, в каждом месяце периода реализации проекта модернизации (с учетом возможности изменения месяца начала поставки мощности) не превышает значение максимального совокупного снижения установленной мощности генерирующих объектов, в отношении которых одновременно реализуются проекты модернизации, опубликованное для отбора проектов модернизации в соответствии с подпунктом 3 пункта 270 настоящих Правил. При проведении отбора проектов модернизации в 2021 году данное условие одновременно применяется в порядке, установленном договором о присоединении к торговой системе оптового рынка, и в отношении проектов модернизации, предусматривающих установку газовых турбин, относимых к образцам инновационного энергетического оборудования, и в отношении иных проектов. При проведении отбора проектов модернизации в 2025 году данное условие одновременно применяется в порядке, установленном договором о присоединении к торговой системе оптового рынка, в отношении проектов модернизации, предусматривающих реализацию мероприятий, указанных в абзаце третьем подпункта 2 пункта 266 настоящих Правил, с началом поставки мощности по итогам этого отбора в период с 1 января 2029 г. по 31 декабря 2031 г. и в отношении иных проектов;
(в ред. Постановлений Правительства РФ от 29.06.2020 N 948, от 30.11.2020 N 1974, от 30.09.2025 N 1505)
(см. текст в предыдущей редакции)
суммарный объем установленной мощности генерирующих объектов, расположенных на территории одной ценовой зоны оптового рынка, для каждого года периода начала поставки мощности по итогам отбора проектов модернизации не превышает значение максимальной совокупной установленной мощности генерирующих объектов, которые могут быть определены по итогам отбора проектов модернизации, установленное в соответствии с пунктом 265 настоящих Правил, увеличенное на разницу соответствующего ограничения объема совокупной установленной мощности, которое использовалось при проведении отбора проектов модернизации на предшествующий календарный год, и суммарного объема мощности генерирующих объектов, включенных в отношении предшествующего календарного года и соответствующей ценовой зоны оптового рынка в предварительный график реализации проектов модернизации (для периода начала поставки мощности по итогам отбора проектов модернизации, соответствующего 2029 году, а также для отбора проектов модернизации, проводимого в 2026 году, указанная разница принимается равной нулю).
(см. текст в предыдущей редакции)
При проведении отбора проектов модернизации в 2021 году в отношении проектов модернизации, предусматривающих установку газовых турбин, относимых к образцам инновационного энергетического оборудования, суммарный объем установленной мощности генерирующих объектов, определенных по итогам такого отбора проектов модернизации, не должен превышать 1610 МВт. При этом суммарный объем установленной мощности генерирующих объектов, расположенных на территории второй ценовой зоны оптового рынка, не должен превышать 322 МВт. Дополнительно при проведении указанного отбора проектов модернизации должно выполняться следующее условие о количестве газовых турбин, относимых к образцам инновационного энергетического оборудования, соответствующих каждому из диапазонов мощности, предусмотренных распоряжением Правительства Российской Федерации от 24 апреля 2019 г. N 817-р, определяющим образцы инновационного энергетического оборудования, установка которых предусматривается в проектах модернизации, определенных по итогам такого отбора проектов модернизации, - не более 2 газовых турбин с мощностью в диапазоне от 65 МВт до 80 МВт, не более 3 газовых турбин с мощностью в диапазоне от 100 МВт до 130 МВт и не более 4 газовых турбин с мощностью в диапазоне от 150 МВт до 190 МВт.
(в ред. Постановления Правительства РФ от 18.03.2021 N 395)
(см. текст в предыдущей редакции)
При проведении отбора проектов модернизации в 2025 году в отношении проектов модернизации, предусматривающих реализацию мероприятий, указанных в абзаце третьем подпункта 2 пункта 266 настоящих Правил, с началом поставки мощности по итогам этого отбора в период с 1 января 2029 г. по 31 декабря 2031 г., объем установленной мощности генерирующих объектов, определенных по итогам такого отбора проектов модернизации, не должен превышать для 2029 года 1 ГВт, но не более 0,2 ГВт для второй ценовой зоны оптового рынка, для 2030 и 2031 годов (для каждого из указанных годов) 2 ГВт, но не более 0,4 ГВт для второй ценовой зоны оптового рынка.
(абзац введен Постановлением Правительства РФ от 30.09.2025 N 1505)
Для проектов модернизации с равными значениями показателя эффективности приоритет при отборе проектов модернизации устанавливается в соответствии с договором о присоединении к торговой системе оптового рынка с учетом отбора в первую очередь проекта модернизации, заявленного в отношении генерирующего объекта, с использованием которого осуществляется выработка тепловой энергии, во вторую очередь - проекта модернизации, заявленного в отношении генерирующего объекта, расположенного на территории с меньшим значением максимального совокупного снижения установленной мощности генерирующих объектов, в отношении которых могут одновременно реализовываться проекты модернизации, в третью очередь - проекта модернизации, в отношении которого ценовая заявка на участие в отборе проектов модернизации была подана раньше.
Перечень определенных в соответствии с настоящим пунктом проектов и генерирующих объектов публикуется системным оператором не позднее 5 рабочих дней после окончания периода подачи ценовых заявок на участие в отборе проектов модернизации.
277. В отношении генерирующих объектов, определенных в соответствии с пунктом 276 настоящих Правил, системный оператор формирует предварительный график реализации проектов модернизации, исходя из указанного в ценовой заявке на участие в отборе проектов модернизации количества календарных месяцев, составляющих период реализации проектов модернизации с учетом возможности изменения даты начала поставки мощности, указанной в ценовой заявке на участие в отборе проектов модернизации, в рамках периода начала поставки мощности по итогам соответствующего отбора проектов модернизации.
При невозможности учета в предварительном графике реализации проектов модернизации всех генерирующих объектов, определенных в соответствии с пунктом 276 настоящих Правил, по причине выявления системным оператором возможности наступления в течение заявленного периода реализации проекта модернизации последствий, предусмотренных Правилами вывода объектов электроэнергетики в ремонт и из эксплуатации, системный оператор в порядке, установленном договором о присоединении к торговой системе оптового рынка, определяет генерирующие объекты, которые не включаются в предварительный график реализации проектов модернизации. Определение таких объектов производится с учетом рассчитанного в соответствии с пунктом 275 настоящих Правил показателя эффективности.
По результатам отбора проектов модернизации системный оператор в течение 1 месяца после окончания периода подачи ценовых заявок на участие в отборе проектов модернизации публикует:
предварительный график реализации проектов модернизации;
перечень генерирующих объектов, включенных в предварительный график реализации проектов модернизации.
В отношении каждого генерирующего объекта указывается:
перечень мероприятий по модернизации;
стоимостные параметры, указанные в ценовой заявке на участие в отборе проектов модернизации, поданной в отношении соответствующего генерирующего объекта;
значение коэффициента использования установленной мощности для отбора проектов модернизации, определяемое для соответствующего генерирующего объекта в соответствии с пунктом 275 настоящих Правил;
значение показателя эффективности, рассчитанное в соответствии с пунктом 275 настоящих Правил;
период реализации проекта модернизации.
Указанная информация направляется в федеральный орган исполнительной власти, осуществляющий функции по выработке и реализации государственной политики и нормативно-правовому регулированию в сфере топливно-энергетического комплекса. По результатам отбора проектов модернизации, проводимого в 2021 году, в указанный федеральный орган также направляется перечень генерирующих объектов, в отношении которых были поданы ценовые заявки на участие в отборе проектов модернизации, предусматривающих установку газовых турбин, относимых к образцам инновационного энергетического оборудования, с началом поставки мощности по итогам этого отбора в период с 1 января 2027 г. по 31 декабря 2029 г., соответствующие требованиям настоящих Правил и договора о присоединении к торговой системе оптового рынка, но которые не были включены в перечень генерирующих объектов, включенных в предварительный график реализации проектов модернизации.
(см. текст в предыдущей редакции)
278. Федеральный орган исполнительной власти, осуществляющий функции по выработке и реализации государственной политики и нормативно-правовому регулированию в сфере топливно-энергетического комплекса, в течение 7 календарных дней после получения от системного оператора указанной в пункте 277 настоящих Правил информации представляет ее в Правительство Российской Федерации.
В перечень, утверждаемый Правительством Российской Федерации на основании результатов отбора проектов модернизации, включаются генерирующие объекты, включенные в предварительный график реализации проектов модернизации, сформированный в соответствии с пунктом 277 настоящих Правил, с указанием для каждого генерирующего объекта перечня мероприятий по модернизации и периода реализации проекта модернизации, объема установленной мощности после реализации проекта модернизации, стоимостных параметров, значения коэффициента использования установленной мощности для отбора проектов модернизации, определенного в соответствии с пунктом 275 настоящих Правил, и планируемого месяца начала поставки мощности по окончании реализации проекта модернизации.
В случае если совокупный объем мощности генерирующих объектов, проекты по модернизации которых предусматривают установку газовых турбин, относимых к образцам инновационного энергетического оборудования, с началом поставки мощности в период с 1 января 2027 г. по 31 декабря 2029 г., включенных в предварительный график реализации проектов модернизации, составляет менее 1610 МВт, по решению Правительственной комиссии по вопросам развития электроэнергетики в перечень, утверждаемый Правительством Российской Федерации на основании результатов отбора проектов модернизации, могут быть включены генерирующие объекты, проекты модернизации которых предусматривают установку газовых турбин, относимых к образцам инновационного энергетического оборудования, из числа проектов, в отношении которых были поданы ценовые заявки на участие в отборе проектов модернизации, соответствующие требованиям настоящих Правил и договора о присоединении к торговой системе оптового рынка, но которые не были включены в перечень генерирующих объектов, включенных в предварительный график реализации проектов модернизации. При этом выбор генерирующих объектов осуществляется по критерию наименьшего значения показателя эффективности, а совокупный объем мощности генерирующих объектов, проекты модернизации которых предусматривают установку газовых турбин, относимых к образцам инновационного энергетического оборудования, включенных в перечень, утверждаемый Правительством Российской Федерации на основании результатов отбора проектов модернизации (с учетом его дополнения по решению Правительственной комиссии по вопросам развития электроэнергетики), не может превышать 1610 МВт.
(п. 278 в ред. Постановления Правительства РФ от 18.03.2021 N 395)
(см. текст в предыдущей редакции)
279. В отношении генерирующих объектов, включенных в перечень, утвержденный Правительством Российской Федерации на основании результатов отбора проектов модернизации, в порядке, установленном договором о присоединении к торговой системе оптового рынка, заключаются договоры купли-продажи (поставки) мощности, указанные в подпункте 15 пункта 4 настоящих Правил, в которых устанавливаются обязательства сторон по поставке и оплате мощности.
Права и обязанности поставщика по договорам, указанным в подпункте 15 пункта 4 настоящих Правил, могут передаваться в порядке, установленном договором о присоединении к торговой системе оптового рынка, иным организациям при условии осуществления новым поставщиком купли-продажи электрической энергии и мощности на оптовом рынке с использованием группы (групп) точек поставки, относящихся к электрическим станциям, в отношении которых планируется реализация проекта модернизации, а также при условии наличия у нового поставщика статуса субъекта оптового рынка.
(абзац введен Постановлением Правительства РФ от 29.06.2020 N 948)
280. Объем мощности, составляющий обязательства поставщика по поставке мощности по договорам, указанным в подпункте 15 пункта 4 настоящих Правил, устанавливается равным объему установленной мощности после реализации проекта модернизации, указанному для соответствующего генерирующего объекта в перечне, утвержденном Правительством Российской Федерации на основании результатов отбора проектов модернизации.
В случае если предельный объем поставки мощности генерирующего объекта меньше объема, равного 90 процентам объема мощности, составляющего обязательства поставщика по поставке мощности по договорам, указанным в подпункте 15 пункта 4 настоящих Правил, поставщик в порядке, предусмотренном договором о присоединении к торговой системе оптового рынка, уплачивает покупателям мощности по соответствующим договорам штраф в размере 25 процентов стоимости объема мощности, составляющего разницу между объемом, равным 90 процентам объема, составляющего обязательства поставщика по поставке мощности на оптовый рынок по указанным договорам, и предельным объемом поставки мощности, определенной по цене мощности, рассчитанной в соответствии с пунктом 282 настоящих Правил, с учетом особенностей, установленных договором о присоединении к торговой системе оптового рынка.
281. Период поставки мощности по договорам, указанным в подпункте 15 пункта 4 настоящих Правил, начинается с 1-го числа месяца начала поставки мощности, указанного в перечне, утвержденном Правительством Российской Федерации на основании результатов отбора проектов модернизации. Начало периода поставки мощности изменяется:
при наличии решения системного оператора о переносе периода реализации проекта модернизации на более позднюю дату в связи с выявлением возможности наступления последствий, предусмотренных Правилами вывода объектов электроэнергетики в ремонт и из эксплуатации;
по инициативе поставщика об изменении начала периода поставки мощности на более раннюю дату;
(в ред. Постановления Правительства РФ от 30.09.2025 N 1505)
(см. текст в предыдущей редакции)
по инициативе поставщика об изменении начала периода поставки мощности на более позднюю дату в случае, если проект модернизации предусматривает установку образцов инновационного энергетического оборудования.
Длительность периода поставки мощности по договорам, указанным в подпункте 15 пункта 4 настоящих Правил, составляет 192 месяца с учетом особенностей, указанных в настоящем пункте.
Длительность периода поставки мощности по указанным договорам может быть уменьшена, но не менее чем до 48 месяцев, в случае если в отношении проекта модернизации не подтверждена реализация хотя бы одного мероприятия, указанного в подпунктах 1 и 2 пункта 266 настоящих Правил, по заявлению поставщика, направленному в организацию коммерческой инфраструктуры в порядке, установленном договором о присоединении к торговой системе оптового рынка, не ранее начала периода реализации проекта модернизации.
(в ред. Постановления Правительства РФ от 30.09.2025 N 1505)
(см. текст в предыдущей редакции)
В случае если указанное в таком заявлении окончание периода поставки мощности по таким договорам наступает ранее окончания календарного года, в отношении которого мощность соответствующего генерирующего объекта на дату направления заявления была учтена при проведении конкурентного отбора мощности как подлежащая оплате вне зависимости от результатов этого конкурентного отбора мощности, поставщик уплачивает покупателям мощности по соответствующим договорам денежную сумму в размере, равном 25 процентам произведения объема мощности, составляющего обязательства по поставке мощности на оптовый рынок по указанным договорам, цены на мощность, рассчитанной в соответствии с абзацем третьим пункта 282 настоящих Правил с учетом особенностей, установленных договором о присоединении к торговой системе оптового рынка, и количества месяцев начиная с месяца прекращения договоров до начала года, в отношении которого мощность соответствующего генерирующего объекта не была учтена при проведении конкурентного отбора мощности как подлежащая оплате вне зависимости от результатов этого конкурентного отбора мощности (но не более 48 месяцев).
Объем мощности, составляющий обязательства поставщика по поставке мощности по договорам, указанным в подпункте 15 пункта 4 настоящих Правил, может быть уменьшен по инициативе поставщика не ранее начала периода реализации проекта модернизации. При этом объем мощности, составляющий обязательства поставщика по поставке мощности по указанным договорам, может быть уменьшен не ранее чем с 1-го календарного года, в отношении которого на дату направления соответствующего заявления поставщика не был проведен конкурентный отбор мощности.
Положения настоящего пункта применяются, если иное не предусмотрено пунктом 290 настоящих Правил.
(абзац введен Постановлением Правительства РФ от 20.05.2022 N 912)
282. Цена на мощность, продаваемую по договорам, указанным в подпункте 15 пункта 4 настоящих Правил, определяется организацией коммерческой инфраструктуры с учетом особенностей, установленных договором о присоединении к торговой системе, с использованием стоимостных параметров, указанных в отношении соответствующего генерирующего объекта в перечне, утвержденном Правительством Российской Федерации на основании результатов отбора проектов модернизации.
До истечения 12 месяцев с даты начала периода поставки мощности по договорам, указанным в подпункте 15 пункта 4 настоящих Правил, цена на мощность, продаваемую по указанным договорам, определяется равной значению удельных затрат на эксплуатацию генерирующего объекта, указанному в перечне, утвержденном Правительством Российской Федерации на основании результатов отбора проектов модернизации, проиндексированному за период с 1 января года, в котором проводился отбор проектов модернизации, до 1 января текущего года в соответствии с изменением индекса потребительских цен, определяемого и публикуемого федеральным органом исполнительной власти, осуществляющим функции по формированию официальной статистической информации.
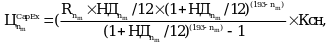
В последующие месяцы периода поставки мощности цена на мощность, продаваемую по договорам, указанным в подпункте 15 пункта 4 настоящих Правил (
), рассчитывается по итогам каждого месяца по формуле:
nm - порядковый номер месяца m (nm = 13 - для 13-го месяца периода поставки мощности по договорам, указанным в подпункте 15 пункта 4 настоящих Правил);
ОрEx - значение удельных затрат на эксплуатацию генерирующего объекта, указанное в перечне, утвержденном Правительством Российской Федерации на основании результатов отбора проектов модернизации, проиндексированное за период с 1 января года, в котором проводился отбор проектов модернизации, до 1 января текущего года в соответствии с изменением индекса потребительских цен, определяемого и публикуемого федеральным органом исполнительной власти, осуществляющим функции по формированию официальной статистической информации;
- величина плановой компенсации капитальных затрат для месяца m, определяемая в соответствии с настоящим пунктом, с учетом особенностей, установленных в соответствии с пунктом 285 настоящих Правил для генерирующих объектов, для которых в соответствии с пунктом 284 настоящих Правил не подтверждена реализация в полном объеме проекта модернизации или не подтверждено выполнение требований, установленных в соответствии с абзацем вторым пункта 265 настоящих Правил;
kРСВ - коэффициент, характеризующий прогнозную прибыль от продажи электрической энергии по итогам конкурентного отбора ценовых заявок на сутки вперед, указанный в перечне, утвержденном Правительством Российской Федерации на основании результатов отбора проектов модернизации;
- среднее арифметическое из значений цены на электрическую энергию, определенных по результатам конкурентного отбора ценовых заявок на сутки вперед, в каждый час предшествующего месяца в группе точек поставки, к которой относится генерирующий объект;
КИУМ - значение коэффициента использования установленной мощности генерирующего объекта, указанное в перечне, утвержденном Правительством Российской Федерации на основании результатов отбора проектов модернизации. Для генерирующего объекта, оснащенного образцами инновационного энергетического оборудования, в течение первых 36 месяцев периода поставки мощности по договору, указанному в подпункте 15 пункта 4 настоящих Правил, значение коэффициента использования установленной мощности принимается равным рассчитанному организацией коммерческой инфраструктуры в порядке, определенном договором о присоединении к торговой системе оптового рынка, отношению объема электрической энергии, произведенного с использованием соответствующего генерирующего объекта за календарный месяц, к объему установленной мощности данного генерирующего объекта, умноженному на количество часов в месяце;
Ч - количество часов в месяце m;
- расчетная величина компенсации затрат на уплату поставщиком налога на прибыль организаций, определяемая в соответствии с настоящим пунктом;
- расчетная величина компенсации затрат на уплату поставщиком налога на имущество организаций, определяемая в соответствии с настоящим пунктом.
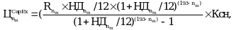
Величина плановой компенсации капитальных затрат для месяца m (
) рассчитывается по формуле:
- не возмещенная по состоянию на начало месяца m часть капитальных затрат;
- норма доходности (выражаемая в процентах годовых) в отношении месяца m, равная норме доходности, рассчитанной в соответствии с пунктом 283 настоящих Правил в отношении календарного года, предшествующего году, к которому относится месяц m;
Ксн - коэффициент, отражающий потребление на собственные и хозяйственные нужды генерирующего объекта, принимающий следующие значения:
для генерирующих объектов, выработка электрической энергии на которых осуществляется с использованием природного газа, - 1,033;
для генерирующих объектов, выработка электрической энергии на которых осуществляется с использованием угля, - 1,069.
Не возмещенная по состоянию на начало тринадцатого (nm = 13) месяца периода поставки мощности по договорам, указанным в подпункте 15 пункта 4 настоящих Правил, часть капитальных затрат (R13) принимается равной умноженному на коэффициент приведения (Kприв) и коэффициент индексации (Kинд) отношению указанных в перечне, утвержденном Правительством Российской Федерации на основании результатов отбора проектов модернизации, параметров в отношении генерирующего объекта - значения капитальных затрат на реализацию проекта модернизации и значения установленной мощности генерирующего объекта после реализации проекта модернизации.
Коэффициент приведения (Kприв) рассчитывается по формуле:
N - количество календарных месяцев, равное:
36, - для проектов модернизации генерирующих объектов, выработка электрической энергии которых осуществляется с использованием угля, а также для проектов модернизации, предусматривающих перевод генерирующего объекта, работающего с использованием паросилового цикла, в работу с использованием парогазового цикла;
24, - для иных проектов модернизации;
НД-N - среднее арифметическое значение норм доходности, определенных в отношении N календарных месяцев до начала периода поставки мощности по договорам, указанным в подпункте 15 пункта 4 настоящих Правил. Норма доходности в отношении календарного месяца равна норме доходности, определяемой в соответствии с пунктом 283 настоящих Правил в отношении календарного года, к которому относится указанный календарный месяц;
НД-1 - норма доходности, определяемая в соответствии с пунктом 283 настоящих Правил в отношении календарного года, предшествующего году, к которому относится 13-й (nm = 13) месяц периода поставки мощности по договорам, указанным в подпункте 15 пункта 4 настоящих Правил.
Коэффициент индексации (Kинд) определяется в порядке, предусмотренном договором о присоединении к торговой системе оптового рынка в соответствии с изменением индекса потребительских цен, определяемого и публикуемого федеральным органом исполнительной власти, осуществляющим функции по формированию официальной статистической информации, за период с 1 января года, в котором проводился отбор проектов модернизации (для отборов на 2022 - 2024 годы - с 1 января 2018 г.), до начала 12-го месяца до начала периода поставки мощности по договорам, указанным в подпункте 15 пункта 4 настоящих Правил (до начала 18-го месяца до начала периода поставки мощности по договорам, указанным в подпункте 15 пункта 4 настоящих Правил, для проектов модернизации генерирующих объектов, выработка электрической энергии которых осуществляется с использованием угля, а также для проектов модернизации, предусматривающих перевод генерирующего объекта, работающего с использованием паросилового цикла, в работу с использованием парогазового цикла).
Для генерирующего объекта, оснащенного образцами инновационного энергетического оборудования, период, используемый при расчете коэффициента индексации, дополняется периодом, который начинается с планируемого месяца начала поставки мощности по окончании реализации проекта модернизации, указанного в перечне, утвержденном Правительством Российской Федерации на основании результатов отбора проектов модернизации, и заканчивается месяцем, наиболее ранним из месяца, предшествующего месяцу, на который поставщиком в соответствии с абзацем четвертым пункта 281 настоящих Правил было изменено начало периода поставки мощности, и 36-го месяца с начала этого периода.
Не возмещенная по состоянию на начало месяца m периода поставки мощности, наступающего позднее 13-го месяца (nm > 13) периода поставки мощности по договорам, указанным в подпункте 15 пункта 4 настоящих Правил, часть капитальных затрат (
) рассчитывается по формуле:
- не возмещенная по состоянию на начало месяца, предшествующего месяцу m, часть капитальных затрат;
- норма доходности, рассчитанная в соответствии с пунктом 283 настоящих Правил в отношении календарного года, предшествующего году, к которому относится месяц, предшествующий месяцу m.
Расчетная величина компенсации затрат на уплату поставщиком налога на прибыль организаций (
) рассчитывается по формуле:
- налоговая ставка налога на прибыль организаций, равная величине, указанной в абзаце первом пункта 1 статьи 284 Налогового кодекса Российской Федерации (в редакции, действующей по состоянию на 1 января года, к которому относится месяц m);
(в ред. Постановления Правительства РФ от 29.06.2020 N 948)
(см. текст в предыдущей редакции)
te - нормативный срок (в годах) эксплуатации генерирующего объекта, равный 20 годам.
Расчетная величина компенсации затрат на уплату поставщиком налога на имущество организаций (
) рассчитывается по формуле:
где
- налоговая ставка налога на имущество организаций, равная величине, указанной в пункте 1 статьи 380 Налогового кодекса Российской Федерации (в редакции, действующей по состоянию на 1 января года, к которому относится месяц m).
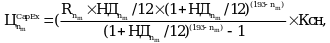
283. Норма доходности (НДi) ежегодно рассчитывается коммерческим оператором оптового рынка с учетом особенностей, предусмотренных договором о присоединении к торговой системе оптового рынка, по результатам календарного года i по формуле:
НДi = (1 + НДб) x (1 + ДГОi) / (1 + ДГОб) - 1,
НДб - базовый уровень нормы доходности инвестированного капитала в размере 14 процентов;
ДГОi - средняя доходность долгосрочных государственных обязательств, определяемая по результатам года i коммерческим оператором оптового рынка в порядке, установленном федеральным органом исполнительной власти, осуществляющим функции по выработке государственной политики и нормативно-правовому регулированию в сфере анализа и социально-экономического развития, с учетом особенностей, предусмотренных договором о присоединении к торговой системе оптового рынка;
ДГОб - базовый уровень доходности долгосрочных государственных обязательств в размере 8,5 процента.
284. Подтверждение реализации проекта модернизации, а также выполнения требований по локализации, установленных на дату начала периода подачи ценовых заявок на участие в отборе проектов модернизации (для проектов модернизации, включенных в перечень, утвержденный Правительством Российской Федерации на основании результатов отбора проектов модернизации генерирующих объектов тепловых электростанций с началом поставки мощности в период с 1 января 2022 г. по 31 декабря 2024 г., - требований по локализации, установленных на дату утверждения такого перечня), на основании которого генерирующий объект был включен в перечень, утвержденный Правительством Российской Федерации на основании результатов отбора проектов модернизации, осуществляется в отношении всех генерирующих объектов, включенных в указанный перечень, в порядке, предусмотренном настоящими Правилами и договором о присоединении к торговой системе оптового рынка, на основании представленных участником оптового рынка документов, подтверждающих соответствующие факты.
(в ред. Постановления Правительства РФ от 31.07.2019 N 989)
(см. текст в предыдущей редакции)
Для проектов модернизации, предусматривающих установку образцов инновационного энергетического оборудования, подтверждение отнесения установленного энергетического оборудования к образцам инновационного энергетического оборудования осуществляется в порядке, предусмотренном договором о присоединении к торговой системе оптового рынка, на основании документа, выданного федеральным органом исполнительной власти, осуществляющим функции по выработке государственной политики и нормативно-правовому регулированию в сфере промышленного и оборонно-промышленного комплексов, или его подведомственной организацией, в соответствии с утвержденным им порядком выдачи таких документов, содержащего результаты проверки отнесения установленного энергетического оборудования к образцам инновационного энергетического оборудования, предусмотренным актом Правительства Российской Федерации, определяющим образцы инновационного энергетического оборудования, на дату начала периода подачи ценовых заявок на участие в отборе проектов модернизации, предусматривающих установку образцов инновационного энергетического оборудования.
(абзац введен Постановлением Правительства РФ от 29.06.2020 N 948)
Подтверждение выполнения или нераспространения установленных в соответствии с настоящими Правилами требований по локализации осуществляется в соответствии с договором о присоединении к торговой системе оптового рынка для каждого из мероприятий по модернизации, указанных в отношении соответствующего генерирующего объекта в перечне, утвержденном Правительством Российской Федерации на основании результатов отбора проектов модернизации, на основании документа, выданного федеральным органом исполнительной власти, осуществляющим функции по выработке государственной политики и нормативно-правовому регулированию в сфере промышленного и оборонно-промышленного комплексов, или его подведомственной организацией в соответствии с утвержденным им порядком выдачи такого документа, содержащего результаты проверки наличия заключений о подтверждении производства промышленной продукции на территории Российской Федерации для всего оборудования, указанного в отношении соответствующего мероприятия на дату начала периода подачи ценовых заявок на участие в соответствующем отборе проектов модернизации (для проектов модернизации, включенных в перечень, утвержденный Правительством Российской Федерации на основании результатов отбора проектов модернизации генерирующих объектов тепловых электростанций с началом поставки мощности в период с 1 января 2022 г. по 31 декабря 2024 г., - оборудования, указанного в отношении соответствующего мероприятия на дату утверждения такого перечня) в утвержденном этим федеральным органом исполнительной власти перечне оборудования, эксплуатируемого по итогам реализации проектов модернизации, в отношении которого необходимо получить заключение о подтверждении производства промышленной продукции на территории Российской Федерации, или выполнения условий, предусмотренных пунктом 265 настоящих Правил, при которых требования по локализации не распространяются.
(в ред. Постановлений Правительства РФ от 31.07.2019 N 989, от 22.01.2020 N 32, от 30.09.2025 N 1505)
(см. текст в предыдущей редакции)
Функции по проверке наличия подтверждения выполнения или нераспространения установленных в соответствии с настоящими Правилами требований по локализации могут быть возложены решением федерального органа исполнительной власти, осуществляющего функции по выработке государственной политики и нормативно-правовому регулированию в сфере промышленного и оборонно-промышленного комплексов, на подведомственную указанному органу организацию. Финансовое обеспечение выполнения указанных функций такой подведомственной организацией осуществляет федеральный орган исполнительный власти, осуществляющий функции и полномочия учредителя такой организации. В случае если подведомственная организация является федеральным государственным учреждением, финансовое обеспечение осуществляется в форме государственного задания.
(в ред. Постановления Правительства РФ от 30.09.2025 N 1505)
(см. текст в предыдущей редакции)
Подтверждение реализации проекта модернизации осуществляется по каждому из мероприятий по модернизации, указанных в отношении соответствующего генерирующего объекта в перечне, утвержденном Правительством Российской Федерации на основании результатов отбора проектов модернизации. Проект модернизации считается реализованным в полном объеме, если в соответствии с договором о присоединении к торговой системе оптового рынка подтверждена реализация каждого из мероприятий по модернизации, указанных в отношении соответствующего генерирующего объекта в перечне, утвержденном Правительством Российской Федерации на основании результатов отбора проектов модернизации.
(в ред. Постановления Правительства РФ от 29.06.2020 N 948)
(см. текст в предыдущей редакции)
Реализация мероприятия, предусматривающего модернизацию турбинного оборудования, не подтверждается, если значение установленной мощности турбинного оборудования составляет менее 50 процентов значения установленной мощности, указанной в отношении данного оборудования в перечне, утвержденном Правительством Российской Федерации на основании результатов отбора проектов модернизации. Реализация мероприятия, предусматривающего комплексную замену генератора или замену ротора генератора, не подтверждается, если номинальная активная мощность генератора меньше указанной в перечне установленной мощности турбины, к которой отнесен этот генератор. Реализация иных мероприятий, указанных в пункте 266 настоящих Правил, не подтверждается, если количественные значения технических параметров оборудования, модернизация которого предусмотрена при реализации соответствующего мероприятия, меньше соответствующих значений, указанных в отношении этого оборудования в указанном перечне.
(абзац введен Постановлением Правительства РФ от 29.06.2020 N 948)
Если по итогам реализации проекта модернизации генерирующего объекта, предусматривающего вывод из эксплуатации турбоагрегата, не представлены акт о выводе соответствующего объекта диспетчеризации из эксплуатации, оформленный в порядке, установленном Правилами вывода объектов электроэнергетики в ремонт и из эксплуатации, или решение уполномоченного федерального органа исполнительной власти о приостановлении или согласовании вывода объекта диспетчеризации из эксплуатации с даты, наступающей не позднее начала периода поставки мощности по договорам, указанным в подпункте 15 пункта 4 настоящих Правил, реализация проекта модернизации не подтверждается по всем мероприятиям, указанным в отношении соответствующего генерирующего объекта в перечне, утвержденном Правительством Российской Федерации на основании результатов отбора проектов модернизации.
(в ред. Постановления Правительства РФ от 30.09.2025 N 1505)
(см. текст в предыдущей редакции)
285. В случае отсутствия подтверждения выполнения или нераспространения требований по локализации соответствующее мероприятие по модернизации считается невыполненным.
(в ред. Постановления Правительства РФ от 30.09.2025 N 1505)
(см. текст в предыдущей редакции)
При одновременном отсутствии подтверждений выполнения мероприятий по модернизации, указанных в подпунктах 1 и 2 пункта 266 настоящих Правил, при расчете цены на мощность, продаваемую по договорам, указанным в подпункте 15 пункта 4 настоящих Правил, величина плановой компенсации капитальных затрат, а также расчетные величины компенсации затрат на уплату поставщиком налога на прибыль организаций и налога на имущество организаций для месяца m принимается равной нулю, а значение удельных затрат на эксплуатацию генерирующего объекта принимается равным соответствующему значению, определенному в порядке, установленном пунктом 282 настоящих Правил, умноженному на коэффициент 0,5.
(в ред. Постановления Правительства РФ от 29.06.2020 N 948)
(см. текст в предыдущей редакции)
В случае отсутствия подтверждения выполнения одного или более мероприятий по модернизации, указанных в отношении соответствующего генерирующего объекта в перечне, утвержденном Правительством Российской Федерации на основании результатов отбора проектов модернизации, при одновременном наличии подтверждения выполнения мероприятия, указанного в подпункте 1 или 2 пункта 266 настоящих Правил, при расчете цены на мощность, продаваемую по договорам, указанным в подпункте 15 пункта 4 настоящих Правил, величина, характеризующая компенсацию капитальных затрат для месяца m, и расчетные величины компенсации затрат на уплату поставщиком налога на прибыль организаций и налога на имущество организаций для месяца m умножаются на коэффициент, равный отношению следующих величин:
(в ред. Постановления Правительства РФ от 29.06.2020 N 948)
(см. текст в предыдущей редакции)
величина, равная превышению значения капитальных затрат на реализацию проекта модернизации, указанного в отношении соответствующего генерирующего объекта в перечне, утвержденном Правительством Российской Федерации на основании результатов отбора проектов модернизации, над величиной предельных максимальных капитальных затрат на реализацию проекта модернизации, рассчитанных в соответствии с Правилами определения величин предельных (максимальных и минимальных) капитальных затрат на реализацию проектов модернизации генерирующих объектов тепловых электростанций, утвержденными постановлением Правительства Российской Федерации от 25 января 2019 г. N 43 "О проведении отборов проектов модернизации генерирующих объектов тепловых электростанций", для проекта, состоящего только из мероприятий, в отношении которых не подтверждено выполнение;
значение капитальных затрат на реализацию проекта модернизации, указанного в перечне, утвержденном Правительством Российской Федерации на основании результатов отбора проектов модернизации.
Для проектов модернизации, предусматривающих установку образцов инновационного энергетического оборудования, в случае отсутствия подтверждения отнесения установленного энергетического оборудования к образцам инновационного энергетического оборудования реализация проекта модернизации не подтверждается по всем мероприятиям, указанным в отношении соответствующего проекта в перечне, утвержденном Правительством Российской Федерации на основании результатов отбора проектов модернизации.
(абзац введен Постановлением Правительства РФ от 29.06.2020 N 948)
- Гражданский кодекс (ГК РФ)
- Жилищный кодекс (ЖК РФ)
- Налоговый кодекс (НК РФ)
- Трудовой кодекс (ТК РФ)
- Уголовный кодекс (УК РФ)
- Бюджетный кодекс (БК РФ)
- Арбитражный процессуальный кодекс
- Конституция РФ
- Земельный кодекс (ЗК РФ)
- Лесной кодекс (ЛК РФ)
- Семейный кодекс (СК РФ)
- Уголовно-исполнительный кодекс
- Уголовно-процессуальный кодекс
- Производственный календарь на 2025 год
- МРОТ 2025
- ФЗ «О банкротстве»
- О защите прав потребителей (ЗОЗПП)
- Об исполнительном производстве
- О персональных данных
- О налогах на имущество физических лиц
- О средствах массовой информации
- Производственный календарь на 2026 год
- Федеральный закон "О полиции" N 3-ФЗ
- Расходы организации ПБУ 10/99
- Минимальный размер оплаты труда (МРОТ)
- Календарь бухгалтера на 2025 год
- Частичная мобилизация: обзор новостей
- Постановление Правительства РФ N 1875





