III. Порядок расчета значений показателей критериев значимости с учетом особенностей функционирования объекта критической информационной инфраструктуры
III. Порядок расчета значений показателей критериев
значимости с учетом особенностей функционирования объекта
критической информационной инфраструктуры
10. Значение показателя 1, оцениваемого по максимальному допустимому времени отсутствия доступа к государственной услуге, в течение которого государственная услуга может быть недоступна для получателей такой услуги, определяется по времени, затрачиваемому на выполнение процедур по восстановлению штатного функционирования объекта критической информационной инфраструктуры и получению доступа к обрабатываемой им информации после компьютерного инцидента (часов).
11. Значение показателя 2, оцениваемого по времени отсутствия доступа к государственной услуге с момента приема запроса о предоставлении государственной услуги субъектом критической информационной инфраструктуры, в течение которого государственная услуга не может быть оказана (в процентах от времени предоставления услуги, предусмотренного Федеральным законом "О государственной регистрации недвижимости"), определяется по формуле:
Тпу - время предоставления услуги, предусмотренное Федеральным законом "О государственной регистрации недвижимости" (часов);
Тпростоя - время, в течение которого государственная услуга не может быть оказана в связи с выполнением процедур по восстановлению штатного функционирования объекта критической информационной инфраструктуры и получению доступа к обрабатываемой им информации после компьютерного инцидента (часов). Это значение принимается равным значению показателя 1.
12. При определении значения показателя 3, предусматривающего прекращение или нарушение функционирования субъекта критической информационной инфраструктуры в части невыполнения возложенной на него функции (полномочия), учитывается, что объекту критической информационной инфраструктуры присваивается вторая категория значимости, когда прекращение или нарушение его функционирования может привести к прекращению или нарушению функционирования субъекта критической информационной инфраструктуры в части невыполнения возложенной на него функции (полномочия).
13. При определении значения показателя 4, предусматривающего возникновение ущерба бюджету Российской Федерации, оцениваемого в снижении выплат (отчислений) в бюджет, осуществляемых субъектом критической информационной инфраструктуры (процентов прогнозируемого годового дохода федерального бюджета, усредненного за планируемый 3-летний период), учитывается, что в доход бюджета Российской Федерации зачисляются поступления от предоставления субъектом критической информационной инфраструктуры государственных услуг.
Величина указанного ущерба оценивается экспертным методом на основе анализа возможного максимального экономического ущерба от прекращения или нарушения функционирования объекта критической информационной инфраструктуры в результате компьютерного инцидента.
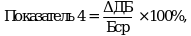
14. Расчет значения показателя 4 производится по формуле:
- размер снижения сборов в бюджет Российской Федерации в случае прекращения или нарушения функционирования объекта критической информационной инфраструктуры (рублей);
Бср - общий объем прогнозируемого годового дохода бюджета Российской Федерации, усредненный за планируемый 3-летний период (рублей).
ГУ - прогнозируемый годовой объем поступлений средств от государственных услуг субъекта критической информационной инфраструктуры, усредненный за планируемый 3-летний период, связанных с функционированием объекта критической информационной инфраструктуры (рублей);
Т - максимально допустимое время прекращения или нарушения функционирования объекта критической информационной инфраструктуры (суток).
- Гражданский кодекс (ГК РФ)
- Жилищный кодекс (ЖК РФ)
- Налоговый кодекс (НК РФ)
- Трудовой кодекс (ТК РФ)
- Уголовный кодекс (УК РФ)
- Бюджетный кодекс (БК РФ)
- Арбитражный процессуальный кодекс
- Конституция РФ
- Земельный кодекс (ЗК РФ)
- Лесной кодекс (ЛК РФ)
- Семейный кодекс (СК РФ)
- Уголовно-исполнительный кодекс
- Уголовно-процессуальный кодекс
- Производственный календарь на 2025 год
- МРОТ 2026
- ФЗ «О банкротстве»
- О защите прав потребителей (ЗОЗПП)
- Об исполнительном производстве
- О персональных данных
- О налогах на имущество физических лиц
- О средствах массовой информации
- Производственный календарь на 2026 год
- Федеральный закон "О полиции" N 3-ФЗ
- Расходы организации ПБУ 10/99
- Минимальный размер оплаты труда (МРОТ)
- Календарь бухгалтера на 2026 год
- Частичная мобилизация: обзор новостей
- Постановление Правительства РФ N 1875


