к МР 4.3.0386-25
1. Для расчета расширенной неопределенности измерений интенсивности ЭО УФ-A на рабочем месте представлены исходные данные (табл. 1).
Результаты измерений уровней ЭО УФ-A на рабочем месте
Основная приборная погрешность измерений равна 10%.
Выполняется не менее 4 измерений ЭО на каждой регламентированной высоте 0,5 м, 1,0 м и 1,7 м, вычисляется среднее арифметическое значение этих результатов для каждой из высот, оценивается максимальное из этих среднеарифметических значений с учетом расширенной неопределенности в сравнении с допустимой интенсивностью облучения на рабочих местах.
2. Оценка неопределенности результатов измерений проводится в 4 этапа по следующей схеме.
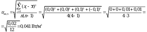
2.1. Для расчета стандартной неопределенности по типу A по формуле (1) вычисляются средние значения уровней ЭО:
2.2. Вычисляется стандартная неопределенность по типу A(uA) по формуле (2):
2.3. Вычисляется стандартная неопределенность по типу B(uB), обусловленная приборной погрешностью, по формуле (5):
2.4. Вычисляется суммарная стандартная неопределенность (uC) по формуле (7):
2.5. При одностороннем интервале охвата задаем коэффициент k = 1,65 и вычисляем расширенную неопределенность измерений:
2.6. С учетом расширенной неопределенности результат измерения максимального значения при одностороннем интервале охвата составит:
3. Указываем максимальное значение ЭО в контрольной точке (на расстоянии 1,5 м от источника) 2,95 + 0,30 Вт/м2, что меньше ПДУ 50 Вт/м2 (при наличии у работающих незащищенных участков поверхности кожи не более 0,2 м2 и продолжительности облучения до 5 мин с общей продолжительностью воздействия за смену до 60 мин).
- Гражданский кодекс (ГК РФ)
- Жилищный кодекс (ЖК РФ)
- Налоговый кодекс (НК РФ)
- Трудовой кодекс (ТК РФ)
- Уголовный кодекс (УК РФ)
- Бюджетный кодекс (БК РФ)
- Арбитражный процессуальный кодекс
- Конституция РФ
- Земельный кодекс (ЗК РФ)
- Лесной кодекс (ЛК РФ)
- Семейный кодекс (СК РФ)
- Уголовно-исполнительный кодекс
- Уголовно-процессуальный кодекс
- Производственный календарь на 2025 год
- МРОТ 2026
- ФЗ «О банкротстве»
- О защите прав потребителей (ЗОЗПП)
- Об исполнительном производстве
- О персональных данных
- О налогах на имущество физических лиц
- О средствах массовой информации
- Производственный календарь на 2026 год
- Федеральный закон "О полиции" N 3-ФЗ
- Расходы организации ПБУ 10/99
- Минимальный размер оплаты труда (МРОТ)
- Календарь бухгалтера на 2025 год
- Частичная мобилизация: обзор новостей
- Постановление Правительства РФ N 1875






;
;
;
;
;
;