6.1. Результаты измерений оформляются в виде протокола измерений в соответствии с документами по стандартизации <14> и прописанными в лаборатории требованиями СМК. Перечень рекомендуемой информации, включаемой в протокол, представлен в приложении к настоящим МР.
--------------------------------
<14> Раздел 7.8 ГОСТ ISO/IEC 17025-2019.
6.2. Результаты измерений представляются с расширенной неопределенностью <15>. Оценка неопределенности результатов измерений с уровнем доверия p = 0,95 проводится в 4 этапа.
--------------------------------
<15> ГОСТ 34100.1-2017 "Неопределенность измерения. Часть 1. Введение в руководства по выражению неопределенности измерения", введенный приказом Росстандарта от 12.09.2017 N 1064-ст; ГОСТ 34100.3-2017 "Неопределенность измерения. Часть 3. Руководство по выражению неопределенности измерения", введенный приказом Росстандарта от 12.09.2017 N 1065-ст.
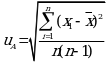
6.2.1. Оценивается стандартная неопределенность по типу A (uA) результата, вычисленного как среднее арифметическое
из n измерений, формула (3):
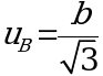
6.2.2. Оценивается стандартная неопределенность по типу B (uB), обусловленная приборной погрешностью (b), по формуле (4):
Если приборная погрешность b выражена в процентах, то стандартная неопределенность по типу B (uB) вычисляется по формуле (5):
6.2.3. Вычисляется суммарная стандартная неопределенность (uC) по формуле (6):
6.2.4. Вычисляется расширенная неопределенность (Up) по формуле (7):
k - коэффициент охвата, значение которого принимается в зависимости от вида интервала (при одностороннем интервале равное 1,645, при двустороннем равное 2), и зависит от распределения возможных значений измеряемой величины и уровня доверия.
6.2.5. Результат измерения в зависимости от вида интервала представляется в виде:
(для двустороннего интервала) или
(для одностороннего интервала).
- Гражданский кодекс (ГК РФ)
- Жилищный кодекс (ЖК РФ)
- Налоговый кодекс (НК РФ)
- Трудовой кодекс (ТК РФ)
- Уголовный кодекс (УК РФ)
- Бюджетный кодекс (БК РФ)
- Арбитражный процессуальный кодекс
- Конституция РФ
- Земельный кодекс (ЗК РФ)
- Лесной кодекс (ЛК РФ)
- Семейный кодекс (СК РФ)
- Уголовно-исполнительный кодекс
- Уголовно-процессуальный кодекс
- Производственный календарь на 2025 год
- МРОТ 2026
- ФЗ «О банкротстве»
- О защите прав потребителей (ЗОЗПП)
- Об исполнительном производстве
- О персональных данных
- О налогах на имущество физических лиц
- О средствах массовой информации
- Производственный календарь на 2026 год
- Федеральный закон "О полиции" N 3-ФЗ
- Расходы организации ПБУ 10/99
- Минимальный размер оплаты труда (МРОТ)
- Календарь бухгалтера на 2025 год
- Частичная мобилизация: обзор новостей
- Постановление Правительства РФ N 1875




, где