постановлением Правительства
Российской Федерации
от 25 декабря 2024 г. N 1888
Список изменяющих документов
(в ред. Постановления Правительства РФ от 29.12.2025 N 2199)
1. Раздел I изложить в следующей редакции:
"I. Стратегические приоритеты в сфере реализации
государственной программы Российской Федерации
"Развитие здравоохранения"
1. Оценка текущего состояния сферы охраны здоровья граждан
Важнейшей целью государственной программы Российской Федерации "Развитие здравоохранения" (далее - Программа) является создание необходимых условий для сохранения здоровья населения страны.
Достижение указанной цели требует обеспечения доступности профилактики, диагностики и лечения заболеваний с использованием современных медицинских изделий, а также качественной и эффективной лекарственной терапии.
В последние годы система здравоохранения функционирует в условиях сложной внешнеэкономической ситуации, обусловленной санкционными ограничениями и связанным с этим нарушением логистических цепочек, удорожанием продукции в совокупности с усилением инфляции, сохраняющимся влиянием новой коронавирусной инфекции COVID-19, пиковая заболеваемость которой пришлась на начало 2021 года.
Причинами, формирующими недостаточную положительную динамику в состоянии здоровья населения, являются:
недостаточная мотивация населения на соблюдение здорового образа жизни;
относительно высокая распространенность поведенческих факторов риска неинфекционных заболеваний (курение, злоупотребление алкоголем, потребление наркотиков, недостаточная двигательная активность и нерациональное питание);
высокая распространенность биологических факторов риска неинфекционных заболеваний (артериальная гипертония, гиперхолестеринемия, гипергликемия, избыточная масса тела и ожирение);
несвоевременное обращение за медицинской помощью;
недостаточная профилактическая активность в работе первичного звена здравоохранения, направленная на своевременное выявление заболеваний, патологических состояний и факторов риска, их обуславливающих;
несбалансированность коечного фонда по ряду профилей оказания медицинской помощи и недостаточно эффективное его использование;
недостаточное развитие стационар-замещающих технологий;
отсутствие унификации оснащения медицинских организаций.
В посланиях Президента Российской Федерации Федеральному Собранию Российской Федерации были обозначены пути улучшения ситуации в сфере здравоохранения:
формирование культуры здорового образа жизни;
создание условий, благоприятствующих рождению и воспитанию детей;
укрепление системы первичной медико-санитарной помощи;
обеспечение доступности и высокого качества медицинской помощи, в том числе медицинской реабилитации и санаторно-курортного лечения;
повышение доступности высокотехнологичной медицинской помощи.
Одной из важнейших характеристик реализации Программы стал рост показателя ожидаемой продолжительности жизни при рождении (увеличение до 73,4 года в 2023 году) и снижение смертности населения от всех причин (до 12,1 на 1000 человек в 2023 году). Кроме того, опережающими темпами снижается младенческая смертность (до 4,2 на 1000 родившихся живыми в 2023 году).
В Российской Федерации в 2023 году в структуре смертности населения наибольшую долю составляли болезни системы кровообращения, на которые приходится 46,2 процента всех случаев смерти, новообразования (16,42 процента) и внешние причины смерти (8,92 процента).
В целях снижения летальности от болезней системы кровообращения в Программе предусмотрены мероприятия по развитию сети региональных сосудистых центров и первичных сосудистых отделений для пациентов с острым инфарктом миокарда и острым нарушением мозгового кровообращения, мероприятия по усилению материально-технической обеспеченности кардиологической службы и обновлению маршрутизации пациентов с сердечно-сосудистыми заболеваниями. Указанные меры позволили повысить качество и доступность медицинской помощи во всех регионах, что привело к увеличению количества рентгенэндоваскулярных вмешательств на сердце в лечебных целях на 49 процентов (с 216988 в 2018 году до 323328 в 2023 году), снижению больничной летальности от инфаркта миокарда на 22,1 процента (с 13,1 процента в 2018 году до 10,2 процента в 2023 году), снижению больничной летальности от острого нарушения мозгового кровообращения на 14,1 процента (с 19,2 процента в 2018 году до 16,5 процента в 2023 году).
Кроме того, формирование новых организационных моделей диспансерного наблюдения, дополнительное обеспечение бесплатными лекарственными препаратами с 2020 года позволили снизить летальность больных с болезнями системы кровообращения среди лиц, находящихся под диспансерным наблюдением, на 31,3 процента (с 2,81 процента в 2020 году до 1,93 процента в 2023 году).
Одним из ключевых параметров Программы также является повышение удовлетворенности населения качеством оказываемой медицинской помощи. С сентября 2022 г. осуществляется мониторинг показателя "Удовлетворенность населения медицинской помощью по результатам оценки общественного мнения", который по итогам 2023 года достиг 47,6 процента.
Реализация мероприятий Программы, направленных на совершенствование подходов к проведению профилактики и раннему выявлению злокачественных новообразований, диагностике и лечению онкологических заболеваний, а также к проведению инфраструктурных преобразований, позволила добиться снижения показателя одногодичной летальности больных со злокачественными новообразованиями на 17,6 процента по сравнению с 2018 годом (с 22,2 процента в 2018 году до 18,3 процента в 2023 году).
В целях развития экстренной медицинской помощи реализуются мероприятия Программы в том числе с учетом географических особенностей Российской Федерации, пространственной связанности населенных пунктов, наличия большого количества населенных пунктов, не имеющих регулярного транспортного сообщения, в целом низкой плотности проживающего населения и других факторов, в рамках которых осуществляется обеспечение санитарно-авиационных эвакуаций в объеме 18 тыс. ежегодно.
Благодаря реализации мероприятий в сфере развития детского здравоохранения увеличен охват профилактическими мероприятиями детей в возрасте 0 - 17 лет с 24,8 млн. детей в 2021 году до 26,7 млн. детей в 2023 году.
С 2019 года 37 национальными медицинскими исследовательскими центрами осуществляется организационно-методическое руководство соответствующими медицинскими организациями субъектов Российской Федерации по 34 укрупненным профилям медицинской помощи. В 2023 году национальными медицинскими исследовательскими центрами проведено более 1 тыс. выездных мероприятий в 88 субъектах Российской Федерации, из них 322 - в новых субъектах Российской Федерации. За период с 2019 по 2023 год специалистами национальных медицинских исследовательских центров Министерства здравоохранения Российской Федерации проведено более 600 тыс. телемедицинских консультаций и консилиумов по сложным клиническим случаям для специалистов региональных медицинских организаций.
В рамках реализации мероприятий по развитию высокотехнологичной медицинской помощи увеличение объемов оказания высокотехнологичной медицинской помощи с 1047,9 тыс. единиц в 2017 году до 1442,9 тыс. единиц в 2023 году.
С целью повышения доступности медицинской реабилитации для лиц, перенесших тяжелые заболевания, и инвалидов реализуются мероприятия по оснащению региональных медицинских центров современным и качественным оборудованием. За период с 2022 по 2023 год в рамках Программы реализованы мероприятия, в результате которых оснащено более 300 региональных медицинских организаций, имеющих в своей структуре подразделения, оказывающие медицинскую помощь по медицинской реабилитации. При этом за счет средств обязательного медицинского страхования медицинская помощь по соответствующему профилю оказана свыше 2 млн. граждан Российской Федерации.
В целях обеспечения оказания паллиативной медицинской помощи в необходимом объеме неизлечимым пациентам и, как следствие, повышения качества их жизни в рамках Программы реализуются мероприятия по увеличению соответствующих коек, в том числе с увеличением уровня обеспечения больных необходимыми лекарственными препаратами. Так, за период с 2018 по 2023 год количество паллиативных коек увеличилось с 13093 до 16725 коек.
К имеющейся проблематике в области технологического развития сферы здравоохранения относится в том числе отставание в производстве инновационной медицинской продукции и медицинских технологиях по таким направлениям, как биотехнологии, регенеративная медицина, высокотехнологическое медицинское оборудование для диагностики и хирургии, экзоскелеты и бионические протезы, клеточная и генная терапия, искусственный интеллект в здравоохранении, включая системы поддержки принятия врачебных решений, и ряд других направлений.
В этой связи последовательно осуществляется приоритизация научных исследований и разработок в интересах медицины с учетом потребностей здравоохранения и технологических трендов.
В 2023 году завершена разработка отраслевого модуля медицинской науки в единой государственной информационной системе учета научно-исследовательских, опытно-конструкторских и технологических работ гражданского назначения, который обеспечит мониторинг и эффективное управление прикладными научными исследованиями в интересах медицины и здравоохранения, а также возможность приоритизации тематик прикладных научных исследований.
Одним из ключевых направлений развития отрасли является совершенствование кадровой политики в сфере охраны здоровья. В медицинских организациях по итогам 2023 года укомплектованность врачами составила около 86 процентов, укомплектованность средним медицинским персоналом - 87,9 процента. Для решения задачи по обеспечению квалифицированными кадрами отрасли реализуются в том числе мероприятия по вовлечению более 1,8 млн. специалистов в систему непрерывного образования медицинских работников.
С целью реагирования на постоянно растущие риски биологической опасности естественного и искусственного происхождения в рамках Программы реализуется комплекс мероприятий по их предупреждению, выявлению и эффективному реагированию. Указанный комплекс мероприятий в том числе направлен на развитие лабораторной и научно-производственной инфраструктуры, цифровую трансформацию мониторинга и прогноза эпидемической ситуации.
Важную роль в улучшении качества оказываемой медицинской помощи играет цифровизация здравоохранения. С введением в 2019 году сервисов в личном кабинете пациента "Мое здоровье" на официальном сайте федеральной государственной информационной системы "Единый портал государственных и муниципальных услуг (функций)" ежегодно услугами в электронной форме пользуется не менее 30 млн. граждан.
Для повышения доступности качественной медицинской помощи в субъектах Российской Федерации развивается система телемедицинских консультаций между специалистами медицинских организаций различного уровня. С 2025 года запланировано расширение внедрения телемедицинских технологий, в том числе обеспечение отдельных групп пациентов дистанционным мониторингом состояния здоровья, что особенно важно для удаленных, труднодоступных районов страны и для сельской местности.
Кроме того, с внедрением федеральной государственной информационной системы мониторинга движения лекарственных препаратов в рамках Программы обеспечивается проведение мероприятий по проверке соблюдения субъектами обращения лекарственных препаратов установленных требований в целях предотвращения поступления в оборот фальсифицированных и контрафактных лекарственных препаратов, а также их изъятия из оборота в автоматизированном режиме. Так, в 2023 году приняты решения по блокировке 60 торговых наименований 449 серий недоброкачественных лекарственных препаратов.
С 2022 года с вхождением в состав Российской Федерации Донецкой Народной Республики, Луганской Народной Республики, Запорожской области и Херсонской области осуществляется активная интеграция указанных субъектов Российской Федерации в отечественную систему здравоохранения.
В 2022 - 2023 годах в новых субъектах Российской Федерации были проведены углубленные профилактические медицинские осмотры более 337,8 тыс. детей, а также профилактические медицинские осмотры и диспансеризация 1,6 млн. взрослых жителей. Кроме того, во всех новых субъектах Российской Федерации внедрен расширенный неонатальный скрининг, более 63 процентов всех новорожденных охвачены диагностикой на более чем 40 врожденных и наследственных заболеваний.
Вместе с тем в настоящее время сохраняется потребность в дальнейшем строительстве (реконструкции) объектов здравоохранения, в том числе детских больниц (корпусов), а также в оснащении (переоснащении) современным медицинским оборудованием региональных медицинских организаций (учреждений) ввиду постепенного износа их материально-технической базы.
Для улучшения показателей состояния здоровья граждан необходимо обеспечить качественный прорыв в системе здравоохранения. Отрасли нужны инновационные разработки в сфере профилактики, диагностики и лечения заболеваний (включая реабилитацию), эффективная система подготовки и переподготовки медицинских кадров, внедрение современных высокотехнологичных информационных систем.
2. Описание приоритетов и целей государственной
политики в сфере реализации государственной программы
Российской Федерации "Развитие здравоохранения"
Дальнейшее развитие сферы охраны здоровья граждан помимо необходимости решения существующих проблем связано с рядом общемировых тенденций. В связи с этим структура Программы должна охватывать как направления, обеспечивающие достижение национальных целей в сфере охраны здоровья (решение первоочередных проблем смертности и заболеваемости), так и направления, обеспечивающие прорыв отечественной системы здравоохранения в соответствии с общемировыми тенденциями.
Приоритеты государственной политики в сфере реализации Программы определены в следующих документах:
Указ Президента Российской Федерации от 6 июня 2019 г. N 254 "О Стратегии развития здравоохранения в Российской Федерации на период до 2025 года";
Указ Президента Российской Федерации от 2 июля 2021 г. N 400 "О Стратегии национальной безопасности Российской Федерации";
Указ Президента Российской Федерации от 7 мая 2024 г. N 309 "О национальных целях развития Российской Федерации на период до 2030 года и на перспективу до 2036 года";
Стратегия пространственного развития Российской Федерации на период до 2025 года, утвержденная распоряжением Правительства Российской Федерации от 13 февраля 2019 г. N 207-р.
В соответствии со Стратегией национальной безопасности Российской Федерации, утвержденной Указом Президента Российской Федерации от 2 июля 2021 г. N 400 "О Стратегии национальной безопасности Российской Федерации", целями государственной политики в сфере сбережения народа России и развития человеческого потенциала являются устойчивый естественный рост численности и повышение качества жизни населения, укрепление здоровья граждан.
Указом Президента Российской Федерации от 7 мая 2024 г. N 309 "О национальных целях развития Российской Федерации на период до 2030 года и на перспективу до 2036 года" определена национальная цель развития Российской Федерации на период до 2036 года - "Сохранение населения, укрепление здоровья и повышение благополучия людей, поддержка семьи".
Исходя из указанных приоритетов сформулированы следующие основные цели Программы:
цель 1 - повышение ожидаемой продолжительности жизни до 78 лет к 2030 году и до 81 года к 2036 году, в том числе опережающий рост показателей ожидаемой продолжительности здоровой жизни;
цель 2 - снижение смертности населения от всех причин до 11,5 случая на 1000 человек к 2030 году;
цель 3 - повышение удовлетворенности населения медицинской помощью до 55 процентов к 2030 году.
В состав показателей Программы также включены показатели Единого плана по достижению национальных целей развития Российской Федерации на период до 2024 года и на плановый период до 2030 года, утвержденного распоряжением Правительства Российской Федерации от 1 октября 2021 г. N 2765-р, относящиеся к Программе и ее структурным элементам.
Кроме того, реализуемые в рамках Программы мероприятия оказывают влияние на достижение:
национальной цели развития Российской Федерации "Технологическое лидерство";
национальной цели развития Российской Федерации "Цифровая трансформация государственного и муниципального управления, экономики и социальной сферы".
Достижение указанных национальных целей развития Российской Федерации будет осуществляться федеральными органами исполнительной власти совместно с субъектами Российской Федерации путем проведения единой комплексной политики, охватывающей все предметы совместного ведения, относящиеся к реализации Программы, преемственности государственной политики субъектов Российской Федерации в сфере охраны здоровья, соответствия ее требованиям основных документов стратегического планирования в сфере охраны здоровья.
3. Задачи государственного управления и обеспечения
национальной безопасности Российской Федерации, способы их
эффективного решения в сфере охраны здоровья граждан и сфере
государственного управления Российской Федерации
Для достижения позитивных демографических трендов запланирована реализация комплекса мер по снижению смертности населения и росту ожидаемой продолжительности жизни.
В рамках Указа Президента Российской Федерации от 7 мая 2024 г. N 309 "О национальных целях развития Российской Федерации на период до 2030 года и на перспективу до 2036 года" планируются:
создание и развитие медицинской инфраструктуры, в том числе в малонаселенных пунктах, развитие сети медицинских организаций первичного звена в малонаселенных пунктах, приобретение передвижных медицинских комплексов, организация санитарно-авиационной эвакуации в труднодоступных населенных пунктах;
совершенствование системы оказания медицинской помощи лицам с болезнями системы кровообращения, злокачественными новообразованиями, сахарным диабетом, инфекционными заболеваниями, включая ВИЧ-инфекцию и гепатит C, а также детям;
ликвидация дефицита медицинских работников;
повышение доступности квалифицированной помощи женщинам и детям, в том числе охрана репродуктивного здоровья;
реализация мероприятий, направленных на увеличение доли граждан, ведущих здоровый образ жизни;
повышение качества и доступности медицинской помощи для лиц старше трудоспособного возраста;
реализация стратегического направления в области цифровой трансформации здравоохранения, утвержденного распоряжением Правительства Российской Федерации от 17 апреля 2024 г. N 959-р, и федерального проекта "Национальная цифровая платформа "Здоровье";
повышение эффективности сектора исследований и разработок в интересах медицины и здравоохранения, совершенствование управления прикладными медицинскими научными исследованиями;
продолжение внедрения пациент-ориентированных подходов в организации и оказании медицинской помощи;
обеспечение дальнейшей интеграции новых субъектов Российской Федерации в систему здравоохранения Российской Федерации;
медико-социальная помощь ветеранам боевых действий, принимавшим участие (содействовавшим выполнению задач) в специальной военной операции.
Достижение целей государственной политики в сфере сбережения народа России и развития человеческого потенциала, установленных Стратегией национальной безопасности Российской Федерации, утвержденной Указом Президента Российской Федерации от 2 июля 2021 г. N 400 "О Стратегии национальной безопасности Российской Федерации", обеспечивается путем решения следующих задач:
увеличение ожидаемой продолжительности жизни, снижение смертности и уровня инвалидизации населения, профилактика заболеваний;
повышение качества и доступности медицинской помощи, включая вакцинацию и лекарственное обеспечение;
обеспечение устойчивости системы здравоохранения, ее адаптации к новым вызовам и угрозам, в том числе связанным с распространением инфекционных заболеваний, создание резервов лекарственных препаратов и медицинских изделий;
обеспечение технологического суверенитета и технологического лидерства в области производства лекарственных препаратов, медицинских изделий, биомедицинских клеточных продуктов, медицинских технологий и приток инноваций в медицину и здравоохранение;
повышение мотивации граждан к ведению здорового образа жизни, систематическому занятию физической культурой и спортом, а также к регулярному прохождению профилактических медицинских осмотров и диспансеризации;
обеспечение санитарно-эпидемиологического благополучия населения, развитие системы социально-гигиенического мониторинга.
В рамках постановления Правительства Российской Федерации от 9 октября 2019 г. N 1304 "О модернизации первичного звена здравоохранения Российской Федерации" будет продолжена реализация региональных программ модернизации первичного звена здравоохранения.
Во исполнение Послания Президента Российской Федерации Федеральному Собранию Российской Федерации от 21 апреля 2021 г. реализуются проекты (инициативы) социально-экономического развития Российской Федерации по совершенствованию первичной медико-санитарной помощи, медицинской реабилитации, лекарственного обеспечения населения и развития инновационных направлений медицинской науки.
Будет продолжена реализация Стратегии развития здравоохранения в Российской Федерации на период до 2025 года, утвержденной Указом Президента Российской Федерации от 6 июня 2019 г. N 254 "О Стратегии развития здравоохранения в Российской Федерации на период до 2025 года".
В указанной Стратегии определены приоритетные направления по решению основных задач развития системы здравоохранения, предусматривающие в том числе:
строительство и реконструкцию объектов здравоохранения;
оснащение медицинских организаций современным лабораторным оборудованием;
обеспечение оптимальной доступности для граждан (включая граждан, проживающих в труднодоступных местностях) первичной медико-санитарной помощи, совершенствование санитарно-авиационной эвакуации;
дальнейшее развитие высокотехнологичной медицинской помощи.
В рамках утвержденной Министерством здравоохранения Российской Федерации Стратегии лекарственного обеспечения населения на период до 2025 года будет продолжена реализация мероприятий, направленных на повышение удовлетворенности населения доступностью лекарственного обеспечения.
Реализация указанных задач осуществляется путем выполнения мероприятий федеральных проектов, включенных в состав национальных проектов "Здравоохранение" и "Демография" (2019 - 2024 годы), с 2025 года - федеральных проектов, включенных в состав национальных проектов "Продолжительная и активная жизнь", "Новые технологии сбережения здоровья", "Кадры" и "Семья", федеральных проектов, не включенных в национальные проекты, а также ведомственных проектов и комплексов процессных мероприятий Программы.
Кроме того, одними из приоритетных задач реализации государственной политики в сфере охраны здоровья являются:
предупреждение распространения инфекционных заболеваний, мониторинг и предупреждение возникновения вспышек и завоза инфекций на территорию Российской Федерации из-за рубежа;
поддержание готовности системы здравоохранения к оказанию медицинской помощи пациентам с инфекционными заболеваниями;
модернизация инфекционной службы, укрепление и развитие национальной лабораторной инфраструктуры и обеспечение для населения доступной и быстрой диагностики инфекционных болезней;
информирование граждан о рисках для здоровья, связанных с факторами окружающей среды;
охрана материнства и детства, повышение качества жизни семей, имеющих детей, и повышение рождаемости.
Важным аспектом в реализации государственной политики в сфере охраны здоровья должно стать совершенствование системы управления прикладными научными исследованиями в интересах медицины и здравоохранения, ориентированной на создание востребованных системой здравоохранения решений, развитие критических технологий и создание на их основе практически применимых решений, создание условий для внедрения результатов разработок и их доступность при оказании медицинской помощи.
Ожидаемыми результатами реализации указанных мероприятий Программы к 2030 году будут снижение младенческой смертности - до 3,9 случая на 1000 родившихся живыми, снижение смертности от новообразований - до 185 случаев на 100 тыс. человек, от болезней системы кровообращения - до 450 случаев на 100 тыс. человек, что в совокупности позволит достичь снижения к 2030 году смертности населения от всех причин - до 11,5 случая на 1000 человек.
Повышение ожидаемой продолжительности жизни до 78 лет к 2030 году планируется достичь, в частности, путем увеличения доли граждан, ведущих здоровый образ жизни, снижения заболеваемости туберкулезом - до 25 случаев на 100 тыс. человек, гепатитом C - до 27,53 случая на 100 тыс. человек, вирусом иммунодефицита человека - до 40 случаев на 100 тыс. человек.
Повышение удовлетворенности населения медицинской помощью будет достигнуто путем реализации мероприятий, направленных, в частности, на увеличение доли лиц, прошедших обследование в соответствии с индивидуальным планом ведения в рамках диспансерного наблюдения, из числа онкологических больных, завершивших лечение, и других.
в соответствии с национальными целями
Указом Президента Российской Федерации от 7 мая 2024 г. N 309 "О национальных целях развития Российской Федерации на период до 2030 года и на перспективу до 2036 года" на период до 2030 года и на перспективу до 2036 года определены национальные цели развития Российской Федерации "Сохранение населения, укрепление здоровья и повышение благополучия людей, поддержка семьи" и "Цифровая трансформация государственного и муниципального управления, экономики и социальной сферы".
Мероприятия для решения задач Программы будут реализовываться в рамках следующих направлений (подпрограмм):
совершенствование оказания медицинской помощи, включая профилактику заболеваний и формирование здорового образа жизни и охрану репродуктивного здоровья;
развитие и внедрение инновационных методов диагностики, профилактики и лечения, а также основ персонализированной медицины;
развитие медицинской реабилитации и санаторно-курортного лечения, в том числе детей;
развитие кадровых ресурсов в здравоохранении;
развитие международных отношений в сфере охраны здоровья;
экспертиза и контрольно-надзорные функции в сфере охраны здоровья;
медико-санитарное обеспечение отдельных категорий граждан;
информационные технологии и управление развитием отрасли.
В структуру Программы включены, в частности, мероприятия по совершенствованию первичной медико-санитарной помощи, специализированной, в том числе высокотехнологичной, медицинской помощи, оптимизации лекарственного обеспечения граждан Российской Федерации, формированию здорового образа жизни и профилактике заболеваний, осуществлению контрольно-надзорных функций в сфере охраны здоровья, развитию информационных технологий в здравоохранении, охране материнства и детства и другие.
Решение указанных задач будет способствовать достижению национальных целей развития Российской Федерации к 2030 году.
5. Задачи обеспечения достижения показателей
социально-экономического развития субъектов Российской
Федерации, входящих в состав приоритетных территорий,
уровень которых должен быть выше среднего уровня
по Российской Федерации, а также иные задачи
в сферах реализации комплексных программ
Реализация мероприятий Программы будет осуществляться с учетом необходимости достижения показателей в сфере охраны здоровья субъектов Российской Федерации, входящих в состав приоритетных территорий, не ниже среднероссийского уровня (использование повышающих коэффициентов при расчете объема межбюджетных трансфертов и прочее).
В методики расчета размера предоставляемых бюджетам субъектов Российской Федерации субсидий на соответствующие цели включены поправочные коэффициенты, применяемые для обеспечения достижения уровня расходов инвестиционного характера Программы, направляемых на реализацию соответствующих мероприятий в субъектах Российской Федерации, входящих в состав Дальневосточного федерального округа, на уровне не менее 7,2 процента общей суммы расходов.
В рамках Программы предусмотрены мероприятия по предоставлению и распределению субсидий из федерального бюджета бюджетам субъектов Российской Федерации на единовременные компенсационные выплаты медицинским работникам (врачам, фельдшерам, а также акушеркам и медицинским сестрам фельдшерских здравпунктов и фельдшерско-акушерских пунктов), прибывшим (переехавшим) на работу в сельские населенные пункты, либо рабочие поселки, либо поселки городского типа, либо города с населением до 50 тыс. человек.
Указанные мероприятия предусматривают введение дополнительного повышающего коэффициента к единовременным компенсационным выплатам для субъектов Российской Федерации, входящих в состав Дальневосточного федерального округа.
Кроме того, в комплексных государственных программах Российской Федерации сформирована аналитическая информация о структурных элементах, мероприятиях и показателях Программы, относящихся к сфере реализации комплексных программ, в том числе реализуемых на приоритетных территориях.
Так, в государственной программе Российской Федерации "Развитие Северо-Кавказского федерального округа" предусмотрены показатели "Ожидаемая продолжительность жизни при рождении" и "Младенческая смертность на 1 тыс. родившихся живыми".
В государственной программе Российской Федерации "Комплексное развитие сельских территорий", в частности, аналитически отражены мероприятия по развитию первичной медико-санитарной помощи, модернизации первичного звена здравоохранения и другие.
Таким образом, мероприятия Программы, в том числе реализуемые на приоритетных территориях, затрагивают сферы реализации государственных программ Российской Федерации "Комплексное развитие сельских территорий", "Социально-экономическое развитие Дальневосточного федерального округа", "Социально-экономическое развитие Арктической зоны Российской Федерации", "Развитие Северо-Кавказского федерального округа", "Социально-экономическое развитие Республики Крым и г. Севастополя" и "Социально-экономическое развитие Калининградской области".
В рамках Программы обеспечивается реализация мероприятий, направленных на социально-экономическое развитие субъектов Российской Федерации, в том числе в форме предоставления и распределения субсидий из федерального бюджета бюджетам субъектов Российской Федерации.
6. Предоставление субсидий из федерального бюджета
бюджетам субъектов Российской Федерации в рамках
государственной программы Российской Федерации
"Развитие здравоохранения"
Правила предоставления и распределения субсидий из федерального бюджета бюджетам субъектов Российской Федерации на реализацию мероприятий по предупреждению и борьбе с социально значимыми инфекционными заболеваниями представлены в приложении N 1.
Правила предоставления субсидий из федерального бюджета в рамках федерального проекта "Развитие инфраструктуры здравоохранения" бюджетам субъектов Российской Федерации в целях софинансирования капитальных вложений в объекты государственной собственности субъектов Российской Федерации или в целях предоставления соответствующих субсидий из бюджетов субъектов Российской Федерации местным бюджетам на софинансирование капитальных вложений в объекты муниципальной собственности представлены в приложении N 2.
Правила предоставления и распределения субсидий из федерального бюджета бюджетам субъектов Российской Федерации в целях софинансирования расходных обязательств субъектов Российской Федерации по финансовому обеспечению оказания гражданам Российской Федерации высокотехнологичной медицинской помощи, не включенной в базовую программу обязательного медицинского страхования представлены в приложении N 4.
Правила предоставления и распределения субсидий из федерального бюджета бюджетам субъектов Российской Федерации на единовременные компенсационные выплаты медицинским работникам (врачам, фельдшерам, а также акушеркам и медицинским сестрам фельдшерских здравпунктов и фельдшерско-акушерских пунктов, врачебных амбулаторий, центров (отделений) общей врачебной практики (семейной медицины), прибывшим (переехавшим) на работу в сельские населенные пункты, либо рабочие поселки, либо поселки городского типа, либо города с населением до 50 тыс. человек, представлены в приложении N 5.
Правила предоставления и распределения субсидий из федерального бюджета бюджетам субъектов Российской Федерации в целях софинансирования реализации государственных программ субъектов Российской Федерации, содержащих мероприятия по развитию системы оказания паллиативной медицинской помощи, представлены в приложении N 6.
Абзац утратил силу. - Постановление Правительства РФ от 29.12.2025 N 2199.
(см. текст в предыдущей редакции)
Правила предоставления и распределения субсидий из федерального бюджета бюджетам субъектов Российской Федерации на обеспечение профилактики развития сердечно-сосудистых заболеваний и сердечно-сосудистых осложнений у пациентов высокого риска, находящихся на диспансерном наблюдении, представлены в приложении N 8.
Правила предоставления и распределения субсидий из федерального бюджета бюджетам субъектов Российской Федерации в целях софинансирования расходных обязательств субъектов Российской Федерации, возникающих при реализации региональных проектов, обеспечивающих достижение целей, показателей и результатов федерального проекта "Модернизация первичного звена здравоохранения Российской Федерации", входящего в состав национального проекта "Продолжительная и активная жизнь", представлены в приложении N 10.
Абзацы сто тридцать седьмой - сто тридцать восьмой утратили силу. - Постановление Правительства РФ от 29.12.2025 N 2199.
(см. текст в предыдущей редакции)
Правила предоставления и распределения субсидий из федерального бюджета бюджетам субъектов Российской Федерации в целях софинансирования расходных обязательств субъектов Российской Федерации по проведению капитального ремонта и (или) оснащению медицинскими изделиями медицинских организаций представлены в приложении N 13.
Правила предоставления и распределения субсидий из федерального бюджета бюджетам субъектов Российской Федерации на оснащение медицинскими изделиями медицинских организаций, осуществляющих медицинскую реабилитацию, представлены в приложении N 14.
Правила предоставления и распределения субсидий из федерального бюджета бюджетам субъектов Российской Федерации в целях софинансирования расходных обязательств субъектов Российской Федерации, возникающих при реализации мероприятий по проведению массового обследования новорожденных на врожденные и (или) наследственные заболевания (расширенный неонатальный скрининг), в рамках федерального проекта "Обеспечение расширенного неонатального скрининга" представлены в приложении N 15.
Правила предоставления и распределения субсидий из федерального бюджета бюджетам субъектов Российской Федерации в целях софинансирования расходных обязательств субъектов Российской Федерации по финансовому обеспечению реализации мероприятий по обеспечению детей с сахарным диабетом 1 типа системами непрерывного мониторинга глюкозы в рамках федерального проекта "Борьба с сахарным диабетом" представлены в приложении N 16.
Правила предоставления и распределения субсидий из федерального бюджета бюджетам Донецкой Народной Республики, Луганской Народной Республики, Запорожской области, Херсонской области на оснащение (дооснащение) региональных сосудистых центров и первичных сосудистых отделений представлены в приложении N 17.
Правила предоставления и распределения субсидий из федерального бюджета бюджетам Донецкой Народной Республики, Луганской Народной Республики, Запорожской области, Херсонской области на оснащение (дооснащение) медицинских организаций, оказывающих медицинскую помощь больным с онкологическими заболеваниями, представлены в приложении N 18.
Правила предоставления и распределения субсидий из федерального бюджета бюджетам Донецкой Народной Республики, Луганской Народной Республики, Запорожской области, Херсонской области в целях софинансирования расходных обязательств указанных субъектов Российской Федерации по организации мероприятий по проведению массового обследования новорожденных на врожденные и (или) наследственные заболевания в рамках расширенного неонатального скрининга представлены в приложении N 19.
Абзац утратил силу. - Постановление Правительства РФ от 29.12.2025 N 2199.
(см. текст в предыдущей редакции)
Правила предоставления субсидии из федерального бюджета бюджету Тверской области в целях софинансирования расходных обязательств по укреплению материально-технической базы государственного бюджетного учреждения здравоохранения Тверской области "Зубцовская центральная районная больница" представлены в приложении N 21.
Правила предоставления и распределения субсидий из федерального бюджета бюджетам субъектов Российской Федерации на финансовое обеспечение мероприятий по борьбе с хроническим вирусным гепатитом C представлены в приложении N 22.
Абзацы сто сорок девятый - сто пятидесятый утратили силу. - Постановление Правительства РФ от 29.12.2025 N 2199.
(см. текст в предыдущей редакции)
Правила предоставления и распределения субсидий из федерального бюджета бюджетам субъектов Российской Федерации в целях софинансирования расходных обязательств субъектов Российской Федерации по финансовому обеспечению реализации мероприятий по обеспечению нуждающихся беременных женщин системами непрерывного мониторинга глюкозы в рамках федерального проекта "Борьба с сахарным диабетом" представлены в приложении N 25.
Абзац утратил силу. - Постановление Правительства РФ от 29.12.2025 N 2199.
(см. текст в предыдущей редакции)
Правила предоставления и распределения субсидий из федерального бюджета бюджетам субъектов Российской Федерации в целях софинансирования расходных обязательств субъектов Российской Федерации по финансовому обеспечению реализации организационных мероприятий, связанных с обеспечением лекарственными препаратами лиц, больных гемофилией, муковисцидозом, гипофизарным нанизмом, болезнью Гоше, злокачественными новообразованиями лимфоидной, кроветворной и родственных им тканей, рассеянным склерозом, гемолитико-уремическим синдромом, юношеским артритом с системным началом, мукополисахаридозом I, II и VI типов, апластической анемией неуточненной, наследственным дефицитом факторов II (фибриногена), VII (лабильного), X (Стюарта - Прауэра), а также лиц после трансплантации органов и (или) тканей, представлены в приложении N 26.
Правила предоставления и распределения субсидий из федерального бюджета бюджетам Донецкой Народной Республики, Луганской Народной Республики, Запорожской области и Херсонской области в целях софинансирования расходных обязательств указанных субъектов Российской Федерации по финансовому обеспечению реализации мероприятий по оснащению (дооснащению) медицинскими изделиями медицинских организаций представлены в приложении N 27.
Правила предоставления и распределения субсидии из федерального бюджета бюджетам субъектов Российской Федерации в целях софинансирования расходных обязательств субъектов Российской Федерации, возникающих при реализации мероприятий по проведению вакцинации против пневмококковой инфекции граждан старше трудоспособного возраста из групп риска, проживающих в организациях социального обслуживания, представлены в приложении N 28.
Правила предоставления и распределения субсидий из федерального бюджета бюджетам субъектов Российской Федерации на модернизацию медицинских изделий и иного оборудования структурных подразделений медицинских организаций, оказывающих медицинскую помощь с применением радиологических методов (диагностики и (или) терапии), дооснащение или переоснащение медицинскими изделиями и иным оборудованием существующих и (или) новых (организуемых) структурных подразделений медицинских организаций, оказывающих медицинскую помощь с применением радиологических методов (диагностики и (или) терапии) в рамках федерального проекта "Борьба с онкологическими заболеваниями", представлены в приложении N 29.
Правила предоставления и распределения субсидий из федерального бюджета бюджетам Донецкой Народной Республики, Луганской Народной Республики, Запорожской области и Херсонской области в целях софинансирования расходных обязательств указанных субъектов Российской Федерации по финансовому обеспечению реализации мероприятий по созданию единого цифрового контура в здравоохранении, внедрению медицинских информационных систем и государственных информационных систем в сфере здравоохранения, обеспечивающих взаимодействие с единой государственной информационной системой в сфере здравоохранения, в медицинских организациях государственной системы здравоохранения представлены в приложении N 30.
Правила предоставления и распределения субсидий из федерального бюджета бюджетам субъектов Российской Федерации в целях софинансирования расходных обязательств субъектов Российской Федерации, возникающих при реализации мероприятий по созданию женских консультаций, в том числе в составе других организаций, для оказания медицинской помощи женщинам, в том числе проживающим в сельской местности, поселках городского типа и малых городах, представлены в приложении N 31.
Правила предоставления и распределения субсидий из федерального бюджета бюджетам субъектов Российской Федерации в целях софинансирования расходных обязательств субъектов Российской Федерации по финансовому обеспечению реализации мероприятий по оснащению региональных, межрайонных (районных) центров, оказывающих медицинскую помощь больным с нарушениями углеводного обмена и сахарным диабетом в рамках федерального проекта "Борьба с сахарным диабетом", представлены в приложении N 32.
Правила предоставления и распределения субсидий из федерального бюджета бюджетам субъектов Российской Федерации в целях софинансирования расходных обязательств субъектов Российской Федерации, возникающих при реализации мероприятий по организации центров здоровья для взрослых на базе отделений (кабинетов) медицинской профилактики в центральных районных и районных больницах, в том числе в удаленных населенных пунктах, а также по оснащению (дооснащению) оборудованием для выявления и коррекции факторов риска развития хронических неинфекционных заболеваний в рамках федерального проекта "Здоровье для каждого", представлены в приложении N 33.
Правила предоставления и распределения субсидий из федерального бюджета бюджетам субъектов Российской Федерации в целях софинансирования расходных обязательств субъектов Российской Федерации, возникающих при реализации региональных проектов, обеспечивающих достижение целей, результатов и показателей федерального проекта "Совершенствование экстренной медицинской помощи", входящего в состав национального проекта "Продолжительная и активная жизнь", посредством закупки авиационных работ в целях оказания медицинской помощи (скорой, в том числе скорой специализированной, медицинской помощи) представлены в приложении N 34.
Правила предоставления и распределения субсидий из федерального бюджета бюджетам субъектов Российской Федерации в целях софинансирования расходных обязательств субъектов Российской Федерации, возникающих при реализации региональных проектов, обеспечивающих достижение целей, показателей и результатов федерального проекта "Совершенствование экстренной медицинской помощи", входящего в состав национального проекта "Продолжительная и активная жизнь", по созданию современной инфраструктуры приемных отделений медицинских организаций с использованием модульных конструкций для оказания экстренной медицинской помощи больным с жизнеугрожающими состояниями, дооснащению и оснащению медицинскими изделиями приемных отделений медицинских организаций представлены в приложении N 35.
Правила предоставления и распределения субсидий из федерального бюджета бюджетам субъектов Российской Федерации в целях софинансирования расходных обязательств субъектов Российской Федерации, возникающих при реализации мероприятий по оснащению (дооснащению и (или) переоснащению) медицинскими изделиями перинатальных центров и родильных домов (отделений), том числе в составе других организаций, представлены в приложении N 36.".
2. Раздел II признать утратившим силу.
3. В приложении N 2 к указанной государственной программе:
а) в наименовании слова "федеральных проектов "Борьба с онкологическими заболеваниями", "Развитие детского здравоохранения, включая создание современной инфраструктуры оказания медицинской помощи детям" и" заменить словами "федерального проекта";
б) в пункте 1 слова "федеральных проектов "Борьба с онкологическими заболеваниями", "Развитие детского здравоохранения, включая создание современной инфраструктуры оказания медицинской помощи детям", входящих в состав национального проекта "Здравоохранение", и" исключить;
в) дополнить пунктом 8(1) следующего содержания:
"8(1). Исполнительный орган субъекта Российской Федерации, уполномоченный высшим исполнительным органом субъекта Российской Федерации, в порядке и сроки, которые установлены соглашением, представляет с использованием государственной интегрированной информационной системы управления общественными финансами "Электронный бюджет" отчетность о расходах бюджета субъекта Российской Федерации, в целях софинансирования которых предоставляется субсидия, а также отчетность о достижении значений результатов использования субсидии.".
4. Приложение N 3 к указанной государственной программе признать утратившим силу.
5. В приложении N 4 к указанной государственной программе:
а) в пункте 1 слова "порядок и условия" заменить словами "цели, условия и порядок";
б) пункт 6 изложить в следующей редакции:
"6. Размер субсидии, предоставляемой бюджету i-го субъекта Российской Федерации (Vi), определяется по формуле:
V - общий объем бюджетных ассигнований, предусмотренных в федеральном бюджете на предоставление субсидии на соответствующий финансовый год, тыс. рублей;
Ei - объем бюджетных ассигнований, предусмотренных в бюджете i-го субъекта Российской Федерации на оказание высокотехнологичной медицинской помощи на соответствующий финансовый год, тыс. рублей;
Fi - коэффициент, повышающий размер субсидии, предоставляемой i-му субъекту Российской Федерации для оказания высокотехнологичной медицинской помощи гражданам Российской Федерации, проживающим на территориях иных субъектов Российской Федерации;
Ti - коэффициент, повышающий размер субсидии, предоставляемой i-му субъекту Российской Федерации для оказания высокотехнологичной медицинской помощи по профилю "трансплантация";
Pi - предельный уровень софинансирования расходного обязательства i-го субъекта Российской Федерации из федерального бюджета на соответствующий финансовый год, утвержденный Правительством Российской Федерации в соответствии с пунктом 13 Правил формирования, предоставления и распределения субсидий, процентов;
z - количество субъектов Российской Федерации - получателей субсидии.";
в) дополнить пунктом 7(1) следующего содержания:
"7(1). Коэффициент, повышающий размер субсидии, предоставляемой i-му субъекту Российской Федерации для оказания высокотехнологичной медицинской помощи по профилю "трансплантация", принимается равным 1,1 в случае, если субъект Российской Федерации соответствует одновременно следующим критериям:
а) наличие в субъекте Российской Федерации медицинских организаций, включенных в перечень учреждений здравоохранения, осуществляющих забор, заготовку и трансплантацию органов и (или) тканей человека, утвержденный Министерством здравоохранения Российской Федерации в соответствии со статьей 4 Закона Российской Федерации "О трансплантации органов и (или) тканей человека";
б) в отчетном финансовом году в медицинских организациях, указанных в подпункте "а" настоящего пункта, за счет средств бюджета субъекта Российской Федерации с учетом предоставляемой субсидии оказывалась высокотехнологичная медицинская помощь по профилю "трансплантация".";
г) пункт 8 изложить в следующей редакции:
"8. В случае если субъект Российской Федерации не соответствует критериям, указанным в пунктах 7 и 7(1) настоящих Правил, коэффициенты, повышающие размер субсидии, предоставляемой i-му субъекту Российской Федерации для оказания высокотехнологичной медицинской помощи гражданам Российской Федерации (Fi и Ti), принимаются равными 1, где:
Fi - коэффициент, повышающий размер субсидии, предоставляемой i-му субъекту Российской Федерации для оказания высокотехнологичной медицинской помощи гражданам Российской Федерации, проживающим на территориях иных субъектов Российской Федерации;
Ti - коэффициент, повышающий размер субсидии, предоставляемой i-му субъекту Российской Федерации для оказания высокотехнологичной медицинской помощи по профилю "трансплантация".";
д) дополнить пунктом 11(1) следующего содержания:
"11(1). Исполнительный орган субъекта Российской Федерации, уполномоченный высшим исполнительным органом субъекта Российской Федерации, в порядке и сроки, которые установлены соглашением, представляет с использованием государственной интегрированной информационной системы управления общественными финансами "Электронный бюджет" отчетность о расходах бюджета субъекта Российской Федерации, в целях софинансирования которых предоставляется субсидия, а также отчетность о достижении значений результатов использования субсидии.";
е) дополнить пунктом 19 следующего содержания:
"19. В случае нарушения целей, установленных при предоставлении субсидии, применяются бюджетные меры принуждения, предусмотренные бюджетным законодательством Российской Федерации.".
6. В приложении N 6 к указанной государственной программе:
а) подпункт "а" пункта 2 изложить в следующей редакции:
"а) дооснащение (переоснащение, оснащение) структурных подразделений медицинских организаций, подведомственных исполнительным органам субъектов Российской Федерации, оказывающих специализированную паллиативную медицинскую помощь, и (или) медицинских организаций, подведомственных исполнительным органам субъектов Российской Федерации, оказывающих специализированную паллиативную медицинскую помощь (далее - медицинские организации), медицинскими изделиями по перечню, утвержденному Министерством здравоохранения Российской Федерации, в соответствии со стандартами оснащения, предусмотренными положением об организации паллиативной медицинской помощи, указанным в части 5 статьи 36 Федерального закона "Об основах охраны здоровья граждан в Российской Федерации" (далее - положение об организации паллиативной медицинской помощи), в том числе медицинскими изделиями, предназначенными для поддержания функций органов и систем организма человека, предоставляемыми для использования на дому по перечню, утвержденному Министерством здравоохранения Российской Федерации, в установленном порядке, с учетом того, что при эквивалентных технологических характеристиках медицинских изделий рекомендуется отдавать предпочтение медицинским изделиям российских производителей, в том числе путем проведения совместных торгов;";
б) подпункт "в" пункта 4 изложить в следующей редакции:
"в) наличие государственной программы субъекта Российской Федерации (за исключением Донецкой Народной Республики, Луганской Народной Республики, Запорожской области и Херсонской области), включающей мероприятия по развитию паллиативной медицинской помощи.";
в) пункт 11 дополнить абзацами следующего содержания:
"Численность лиц, нуждающихся в паллиативной медицинской помощи, в i-м субъекте Российской Федерации в году, предшествующем году предоставления субсидии (Pi), рассчитывается как доля от числа умерших от всех причин смерти в субъекте Российской Федерации за предыдущий год, определенная с применением коэффициента 0,67, являющегося усредненным показателем смертности по различным нозологиям и распространенности болевого синдрома, составляющим 67 процентов всех умерших:
COi - число умерших от всех причин смерти в субъекте за предыдущий год.".
7. В приложении N 8 к указанной государственной программе:
а) пункт 1 изложить в следующей редакции:
"1. Настоящие Правила устанавливают цели, условия и порядок предоставления и распределения субсидий из федерального бюджета бюджетам субъектов Российской Федерации в целях софинансирования расходных обязательств субъектов Российской Федерации, возникающих при реализации региональных проектов по обеспечению в амбулаторных условиях лекарственными препаратами лиц, находящихся под диспансерным наблюдением, которые перенесли острое нарушение мозгового кровообращения, инфаркт миокарда, страдающих ишемической болезнью сердца в сочетании с фибрилляцией предсердий и хронической сердечной недостаточностью с подтвержденным эхокардиографией в течение предшествующих 12 месяцев значением фракции выброса левого желудочка менее или равным 40 процентам, а также которым выполнены аортокоронарное шунтирование, ангиопластика коронарных артерий со стентированием и катетерная абляция по поводу сердечно-сосудистых заболеваний, обеспечивающих достижение показателей и результатов федерального проекта "Борьба с сердечно-сосудистыми заболеваниями" национального проекта "Продолжительная и здоровая жизнь" (далее - субсидии).";
б) дополнить пунктом 7(1) следующего содержания:
"7(1). Исполнительный орган субъекта Российской Федерации, уполномоченный высшим исполнительным органом субъекта Российской Федерации, в порядке и сроки, которые установлены соглашением, представляет с использованием государственной интегрированной информационной системы управления общественными финансами "Электронный бюджет" отчетность о расходах бюджета субъекта Российской Федерации, в целях софинансирования которых предоставляется субсидия, а также отчетность о достижении значений результатов использования субсидии.";
в) пункт 14 изложить в следующей редакции:
"14. Оценка эффективности использования субсидии осуществляется Министерством здравоохранения Российской Федерации путем сравнения установленных соглашением значений результата использования субсидии, соответствующих результатам федерального проекта "Борьба с сердечно-сосудистыми заболеваниями" национального проекта "Продолжительная и здоровая жизнь", и фактически достигнутых по итогам отчетного года значений результатов использования субсидии.".
8. Приложение N 9 к указанной государственной программе признать утратившим силу.
9. Приложение N 10 к указанной государственной программе изложить в следующей редакции:
к государственной программе
Российской Федерации
"Развитие здравоохранения"
(в редакции постановления
Правительства Российской Федерации
от 25 декабря 2024 г. N 1888)
ПРЕДОСТАВЛЕНИЯ И РАСПРЕДЕЛЕНИЯ СУБСИДИЙ
ИЗ ФЕДЕРАЛЬНОГО БЮДЖЕТА БЮДЖЕТАМ СУБЪЕКТОВ РОССИЙСКОЙ
ФЕДЕРАЦИИ В ЦЕЛЯХ СОФИНАНСИРОВАНИЯ РАСХОДНЫХ ОБЯЗАТЕЛЬСТВ
СУБЪЕКТОВ РОССИЙСКОЙ ФЕДЕРАЦИИ, ВОЗНИКАЮЩИХ ПРИ РЕАЛИЗАЦИИ
РЕГИОНАЛЬНЫХ ПРОЕКТОВ, ОБЕСПЕЧИВАЮЩИХ ДОСТИЖЕНИЕ ЦЕЛЕЙ,
ПОКАЗАТЕЛЕЙ И РЕЗУЛЬТАТОВ ФЕДЕРАЛЬНОГО ПРОЕКТА "МОДЕРНИЗАЦИЯ
ПЕРВИЧНОГО ЗВЕНА ЗДРАВООХРАНЕНИЯ РОССИЙСКОЙ ФЕДЕРАЦИИ",
ВХОДЯЩЕГО В СОСТАВ НАЦИОНАЛЬНОГО ПРОЕКТА
"ПРОДОЛЖИТЕЛЬНАЯ И АКТИВНАЯ ЖИЗНЬ"
1. Настоящие Правила устанавливают цели, условия и порядок предоставления и распределения субсидий из федерального бюджета бюджетам субъектов Российской Федерации в 2025 году в целях софинансирования расходных обязательств субъектов Российской Федерации, возникающих при реализации региональных проектов модернизации первичного звена здравоохранения (далее - региональные проекты), обеспечивающих достижение целей, показателей и результатов федерального проекта "Модернизация первичного звена здравоохранения Российской Федерации" национального проекта "Продолжительная и активная жизнь" (далее - субсидии).
2. Понятие "медицинские организации" в настоящих Правилах означает следующее:
а) медицинские организации и их обособленные структурные подразделения, в которых оказывается первичная медико-санитарная помощь, в том числе женские консультации (за исключением стоматологических поликлиник и обособленных структурных подразделений, оказывающих медицинские услуги по профилю "стоматология");
б) центральные районные и районные больницы, расположенные в сельской местности, поселках городского типа, а также в малых городах с численностью населения до 100 тыс. человек;
в) первичные сосудистые отделения, центры амбулаторной онкологической помощи на базе центральных районных, районных и городских больниц.
3. Субсидии предоставляются в установленном порядке бюджетам субъектов Российской Федерации в целях софинансирования расходных обязательств субъектов Российской Федерации, возникающих при реализации региональных проектов, связанных:
а) с созданием объектов первичного звена здравоохранения (строительство (реконструкция) объектов капитального строительства медицинских организаций, приобретение объектов недвижимого имущества, с даты ввода в эксплуатацию которых прошло не более 5 лет, и некапитальных строений, с даты завершения строительства которых прошло не более 5 лет, а также земельных участков, на которых они находятся, для размещения медицинских организаций, приобретение и монтаж быстровозводимых модульных конструкций медицинских организаций, строительство некапитальных строений медицинских организаций), за исключением женских консультаций, в том числе путем проведения совместных торгов;
б) с капитальным ремонтом зданий медицинских организаций и их обособленных структурных подразделений, расположенных в том числе в сельской местности, рабочих поселках, поселках городского типа, а также в малых городах с численностью населения до 100 тыс. человек (за исключением первичных сосудистых отделений, центров амбулаторной онкологической помощи на базе центральных районных, районных и городских больниц);
в) с приобретением оборудования в медицинские организации, оказывающие первичную медико-санитарную помощь, а также в медицинские организации, расположенные в сельской местности, поселках городского типа, а также в малых городах с численностью населения до 100 тыс. человек (оснащение и переоснащение медицинских организаций оборудованием по перечню, утвержденному Министерством здравоохранения Российской Федерации, в соответствии со стандартами оснащения медицинских организаций (их структурных подразделений), предусмотренными положениями об организации оказания медицинской помощи по соответствующим видам медицинской помощи, порядками оказания медицинской помощи, правилами проведения лабораторных, инструментальных, патолого-анатомических и иных видов диагностических исследований, утвержденными Министерством здравоохранения Российской Федерации (с учетом того, что при эквивалентных технологических характеристиках медицинских изделий предпочтение рекомендуется отдавать медицинским изделиям российских производителей), в том числе путем проведения совместных торгов;
г) с приобретением транспортных средств (за исключением автомобилей скорой медицинской помощи) в медицинские организации, оказывающие первичную медико-санитарную помощь, в том числе с приобретением передвижных медицинских комплексов (для доставки пациентов в медицинские организации, доставки медицинских работников до места жительства пациентов, перевозки биологических материалов для исследований, доставки лекарственных препаратов до жителей отдаленных районов, доставки населения в медицинские организации для проведения диспансеризации и диспансерного наблюдения и обратно, доставки беременных женщин для проведения осмотров и обратно, а также для доставки несовершеннолетних и маломобильных пациентов до медицинских организаций и обратно (с учетом того, что при эквивалентных технологических характеристиках транспортных средств предпочтение рекомендуется отдавать российским производителям транспортных средств), в том числе путем проведения совместных торгов;
д) с открытием первичных сосудистых отделений, центров амбулаторной онкологической помощи на базе центральных районных, районных и городских больниц для обеспечения доступности специализированной медицинской помощи сельским жителям, жителям поселков городского типа, рабочих поселков, а также малых городов с численностью населения до 100 тыс. человек (в том числе с приобретением оборудования в соответствии со стандартами оснащения медицинских организаций (их структурных подразделений), предусмотренными положениями об организации оказания медицинской помощи по соответствующим видам медицинской помощи, порядками оказания медицинской помощи, правилами проведения лабораторных, инструментальных, патолого-анатомических и иных видов диагностических исследований, утвержденными Министерством здравоохранения Российской Федерации (с учетом того, что при эквивалентных технологических характеристиках медицинских изделий предпочтение рекомендуется отдавать медицинским изделиям российских производителей), в том числе путем проведения совместных торгов).
4. Субсидии предоставляются в пределах лимитов бюджетных обязательств, доведенных до Министерства здравоохранения Российской Федерации как получателя средств федерального бюджета на предоставление субсидий на цели, указанные в пункте 3 настоящих Правил.
5. Критерием отбора субъекта Российской Федерации для предоставления субсидии является наличие в субъекте Российской Федерации утвержденного регионального проекта и утвержденной региональной программы модернизации первичного звена здравоохранения.
6. Условиями предоставления субсидии являются:
а) наличие правового акта субъекта Российской Федерации, утверждающего перечень мероприятий (результатов), при реализации которых возникают расходные обязательства субъекта Российской Федерации, в целях софинансирования которых предоставляется субсидия, в соответствии с требованиями нормативных правовых актов Российской Федерации;
б) наличие в бюджете субъекта Российской Федерации бюджетных ассигнований на исполнение расходных обязательств субъекта Российской Федерации, в целях софинансирования которых предоставляется субсидия, в объеме, необходимом для их исполнения, включающем размер планируемой к предоставлению субсидии, если иное не установлено актами Президента Российской Федерации или Правительства Российской Федерации;
в) заключение соглашения о предоставлении субсидии в соответствии с пунктом 10 Правил формирования, предоставления и распределения субсидий из федерального бюджета бюджетам субъектов Российской Федерации, утвержденных постановлением Правительства Российской Федерации от 30 сентября 2014 г. N 999 "О формировании, предоставлении и распределении субсидий из федерального бюджета бюджетам субъектов Российской Федерации" (далее соответственно - Правила формирования, предоставления и распределения субсидий, соглашение).
7. Субсидия предоставляется на основании соглашения, заключенного между Министерством здравоохранения Российской Федерации и высшим исполнительным органом субъекта Российской Федерации, подготовленного (сформированного) с использованием государственной интегрированной информационной системы управления общественными финансами "Электронный бюджет" в соответствии с типовой формой, утвержденной Министерством финансов Российской Федерации.
Соглашение может устанавливать различные уровни софинансирования расходного обязательства субъекта Российской Федерации из федерального бюджета по отдельным мероприятиям.
8. Размер предоставляемой бюджету i-го субъекта Российской Федерации (за исключением Донецкой Народной Республики, Луганской Народной Республики, Запорожской области и Херсонской области) субсидии в n-м финансовом году (Si) определяется по формуле:
Ni - количество застрахованных лиц в i-м субъекте Российской Федерации (за исключением Донецкой Народной Республики, Луганской Народной Республики, Запорожской области и Херсонской области) на 1 января 2024 г. (для периода реализации региональных проектов 2025 года - на 1 января 2020 г.), за исключением количества застрахованных лиц, прикрепленных к медицинским организациям Федерального медико-биологического агентства, расположенным в закрытых административно-территориальных образованиях и на отдельных территориях, в которых (на которых) медицинские организации Федерального медико-биологического агентства являются единственными медицинскими организациями государственной системы здравоохранения, а также иностранных граждан и лиц без гражданства, временно проживающих на территории Российской Федерации, застрахованных по обязательному медицинскому страхованию, человек;
Sобщ - общий объем бюджетных ассигнований, предусмотренных в федеральном бюджете на предоставление субсидий на соответствующий финансовый год, тыс. рублей;
Sns - суммарный объем бюджетных ассигнований, предусмотренных в федеральном бюджете на предоставление субсидий на соответствующий финансовый год в соответствии с утвержденными региональными проектами Донецкой Народной Республики, Луганской Народной Республики, Запорожской области и Херсонской области, тыс. рублей;
Ssi - объем расходов, предусмотренный по отдельным решениям Президента Российской Федерации, Председателя Правительства Российской Федерации, куратора национального проекта "Продолжительная и активная жизнь" i-му субъекту Российской Федерации, тыс. рублей;
N - количество застрахованных лиц в субъектах Российской Федерации, утвердивших региональные проекты (за исключением Донецкой Народной Республики, Луганской Народной Республики, Запорожской области и Херсонской области), на 1 января 2024 г. (для периода реализации региональных проектов 2025 года - на 1 января 2020 г.), за исключением количества застрахованных лиц, прикрепленных к медицинским организациям Федерального медико-биологического агентства, расположенным в закрытых административно-территориальных образованиях и на отдельных территориях, в которых (на которых) медицинские организации Федерального медико-биологического агентства являются единственными медицинскими организациями государственной системы здравоохранения, а также иностранных граждан и лиц без гражданства, временно проживающих на территории Российской Федерации, застрахованных по обязательному медицинскому страхованию, человек;
ИБРi - индекс бюджетных расходов субъекта Российской Федерации, используемый для распределения дотаций на выравнивание бюджетной обеспеченности субъектов Российской Федерации на 2026 год (для периода реализации региональных проектов 2025 года - на 2020 год), по данным Министерства финансов Российской Федерации, с ограничением диапазона значений индекса от 1 до 4,5;
Di - степень износа основных фондов некоммерческих организаций сектора государственного управления, основными видами деятельности которых в соответствии с Общероссийским классификатором видов экономической деятельности (ОК 029-2014 (КДЕС Ред. 2) являются деятельность больничных организаций, общая врачебная практика и специальная врачебная практика, в i-м субъекте Российской Федерации на конец 2023 года (для периода реализации региональных проектов 2025 года - на конец 2019 года), по данным Федеральной службы государственной статистики, процентов;
DсрРФ - средняя степень износа основных фондов коммерческих, за исключением субъектов малого предпринимательства, и некоммерческих организаций, осуществляющих деятельность в сфере здравоохранения, по Российской Федерации на конец 2023 года (для периода реализации региональных проектов 2025 года - на конец 2019 года), по данным Федеральной службы государственной статистики, процентов;
Gi - смертность в i-м субъекте Российской Федерации на конец 2023 года (для периода реализации региональных проектов 2025 года - на конец 2019 года), по данным Федеральной службы государственной статистики, процентов;
GсрРФ - средняя смертность по Российской Федерации на конец 2023 года (для периода реализации региональных проектов 2025 года - на конец 2019 года), по данным Федеральной службы государственной статистики, процентов;
КВn - поправочный коэффициент, отражающий общий уровень финансового обеспечения из федерального бюджета региональных проектов, предусмотренного на реализацию мероприятий федерального проекта "Модернизация первичного звена здравоохранения Российской Федерации" в n-м финансовом году;
Li - предельный уровень софинансирования расходного обязательства i-го субъекта Российской Федерации из федерального бюджета на очередной финансовый год в соответствии с пунктом 13(1.1) Правил формирования, предоставления и распределения субсидий, процентов.
Проведение капитального ремонта объектов недвижимого имущества медицинских организаций осуществляется по стоимости, не превышающей установленной Министерством строительства и жилищно-коммунального хозяйства Российской Федерации предельной стоимости капитального ремонта зданий медицинских организаций первичного звена здравоохранения, центральных районных и районных больниц по субъектам Российской Федерации, с учетом зональных коэффициентов, учитывающих стоимость работ, выполняемых при капитальном ремонте зданий медицинских организаций, расположенных в иной ценовой зоне субъекта Российской Федерации, устанавливаемой нормативными правовыми актами исполнительного органа субъекта Российской Федерации.
Указанный расчет производится однократно при формировании проекта федерального закона о федеральном бюджете на очередной финансовый год и плановый период. В ходе исполнения федерального бюджета объемы субсидий по конкретным субъектам Российской Федерации могут быть увеличены в случаях и порядке, которые предусмотрены бюджетным законодательством Российской Федерации.
9. Размер предоставляемой бюджетам Донецкой Народной Республики, Луганской Народной Республики, Запорожской области и Херсонской области субсидии (Ssm) определяется по формуле:
Rs - объем финансового обеспечения утвержденного регионального проекта Донецкой Народной Республики, или Луганской Народной Республики, или Запорожской области, или Херсонской области;
Ls - предельный уровень софинансирования расходного обязательства i-го субъекта Российской Федерации (Донецкой Народной Республики, Луганской Народной Республики, Запорожской области и Херсонской области) из федерального бюджета на очередной финансовый год в соответствии с пунктом 13(1.1) Правил формирования, предоставления и распределения субсидий, процент.
10. Территориальные органы Федеральной службы по надзору в сфере здравоохранения осуществляют оценку технического задания на закупаемые за счет средств федерального бюджета в рамках реализации региональных проектов и программ модернизации первичного звена здравоохранения медицинские изделия на предмет соответствия стандартам оснащения медицинских организаций (их структурных подразделений), предусмотренным положениями об организации оказания медицинской помощи по соответствующим видам медицинской помощи, порядками оказания медицинской помощи, утвержденными Министерством здравоохранения Российской Федерации, типовым техническим заданиям, разрабатываемым главными внештатными специалистами Министерства здравоохранения Российской Федерации совместно с Федеральной службой по надзору в сфере здравоохранения, а также начальной (максимальной) цены контракта на указанные медицинские изделия на предмет соответствия средневзвешенным ценам по данному виду медицинских изделий за период не менее 6 месяцев, предшествующих месяцу расчета.
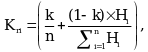
11. Поправочный коэффициент, отражающий общий уровень финансового обеспечения из федерального бюджета региональных проектов, предусмотренного на реализацию мероприятий федерального проекта "Модернизация первичного звена здравоохранения Российской Федерации" в n-м финансовом году (КВn), рассчитывается по формуле:
12. Сумма субсидий i-му субъекту Российской Федерации нарастающим итогом не может превышать объема заявленной потребности в финансовом обеспечении реализации регионального проекта за счет средств федерального бюджета соответствующего субъекта Российской Федерации.
В случае отсутствия на 1 сентября текущего финансового года контрактов (договоров), заключенных на поставку товаров, выполнение работ, оказание услуг по мероприятиям, срок достижения результатов по которым в соответствии с утвержденными региональными проектами Донецкой Народной Республики, Луганской Народной Республики, Запорожской области и Херсонской области установлен в текущем году, Министерство здравоохранения Российской Федерации вправе инициировать перераспределение бюджетных ассигнований между субъектами Российской Федерации, имеющими дополнительную потребность в субсидиях.
Субъекты Российской Федерации до 1 декабря текущего финансового года обеспечивают заключение контрактов (договоров) на поставку товаров, выполнение работ, оказание услуг по мероприятиям, предусмотренным к реализации в очередном году планового периода, в том числе использование экономии, сложившейся по результатам конкурсных процедур, и принятие обязательств субъектами Российской Федерации в объеме средств, предусмотренных соглашениями на очередной год планового периода.
13. Субсидии перечисляются в установленном порядке на единые счета бюджетов, открытые финансовым органам субъектов Российской Федерации в территориальных органах Федерального казначейства.
14. Оценка эффективности использования субсидии осуществляется Министерством здравоохранения Российской Федерации путем сравнения установленных соглашением плановых значений результатов использования субсидии, соответствующих результатам федерального проекта "Модернизация первичного звена здравоохранения Российской Федерации" национального проекта "Продолжительная и активная жизнь", и фактически достигнутых по итогам отчетного года значений следующих результатов использования субсидии:
а) количество созданных объектов первичного звена здравоохранения путем введения в эксплуатацию объектов капитального строительства (реконструкции) зданий медицинских организаций, получивших лицензию на осуществление медицинской деятельности, приобретение быстровозводимых модульных конструкций медицинских организаций, получивших лицензию на осуществление медицинской деятельности, приобретение объектов недвижимого имущества, некапитальных строений для размещения медицинских организаций, получивших лицензию на осуществление медицинской деятельности, постройка некапитальных строений медицинских организаций, получивших лицензию на осуществление медицинской деятельности;
б) количество объектов недвижимого имущества, в которых осуществлен капитальный ремонт;
в) количество единиц приобретенного медицинского оборудования, которым оснащены (дооснащены) медицинские организации;
г) количество единиц приобретенных транспортных средств (за исключением автомобилей скорой медицинской помощи);
д) количество единиц приобретенных передвижных медицинских комплексов для оказания медицинской помощи жителям сельских поселений и малых городов;
е) количество открытых первичных сосудистых отделений, центров амбулаторной онкологической помощи и других медицинских подразделений на базе центральных районных больниц, районных и городских больниц для обеспечения доступности специализированной медицинской помощи сельским жителям, жителям поселков городского типа, рабочих поселков, а также малых городов с численностью населения до 100 тыс. человек.
15. Использование субсидий субъектом Российской Федерации осуществляется с учетом следующих обязательств, установленных соглашением:
а) использование субсидий на проведение капитального ремонта объектов недвижимого имущества медицинских организаций первичного звена здравоохранения осуществляется в целях проведения капитального ремонта объектов недвижимого имущества медицинских организаций, в которых непосредственно осуществляется оказание медицинской помощи и которые имеют показатель износа в диапазоне от 40 до 80 процентов;
б) строительство и укомплектование оборудованием новых объектов медицинской инфраструктуры, в том числе фельдшерских и фельдшерско-акушерских пунктов, осуществляются при наличии необходимого количества медицинских и иных работников, обладающих соответствующей квалификацией;
в) при оснащении медицинских организаций медицинским оборудованием субъект Российской Федерации обеспечивает реализацию мероприятий по подготовке в медицинских организациях, подведомственных исполнительным органам субъекта Российской Федерации или органам местного самоуправления, помещений для установки такого оборудования с учетом требований безопасности в соответствии с законодательством Российской Федерации;
г) укомплектованность медицинских организаций медицинскими работниками составляет не менее 95 процентов (в соответствии с федеральным проектом "Обеспечение медицинских организаций системы здравоохранения квалифицированными кадрами");
д) обеспечение работ по демонтажу устаревшего и подлежащего замене оборудования и подготовке помещений для размещения планируемого к закупке оборудования осуществляется за счет средств бюджета субъекта Российской Федерации;
е) обеспечение разработки проектной и (или) сметной документации по строительству (реконструкции) и капитальному ремонту объектов недвижимого имущества осуществляется:
в субъектах Российской Федерации (за исключением Донецкой Народной Республики, Луганской Народной Республики, Запорожской области и Херсонской области) за счет средств бюджета субъекта Российской Федерации;
в Донецкой Народной Республике, Луганской Народной Республике, Запорожской области и Херсонской области за счет средств бюджета субъекта Российской Федерации, источником софинансирования которых является субсидия;
ж) обеспечение своевременного проведения мероприятий по развитию транспортной инфраструктуры, приоритетному ремонту и строительству автомобильных дорог регионального и местного значения, а также по созданию (развитию) маршрутов общественного транспорта для обеспечения доезда до объектов медицинских организаций, в том числе вновь создаваемых, оказывающих первичную медико-санитарную помощь, из населенных пунктов, где такие организации отсутствуют;
з) создание (строительство или приобретение) объектов медицинских организаций, оказывающих первичную медико-санитарную помощь, осуществляется в приоритетном порядке в населенных пунктах с численностью населения от 101 до 2000 человек, находящихся на расстоянии более 6 километров от ближайшей медицинской организации, оказывающей первичную медико-санитарную помощь.
16. Исполнительный орган субъекта Российской Федерации, уполномоченный высшим исполнительным органом субъекта Российской Федерации, в порядке и сроки, которые установлены соглашением, представляет с использованием государственной интегрированной информационной системы управления общественными финансами "Электронный бюджет" отчетность о расходах бюджета субъекта Российской Федерации, в целях софинансирования которых предоставляется субсидия, а также отчетность о достижении значений результатов использования субсидии.
17. Порядок и условия возврата средств из бюджета субъекта Российской Федерации в федеральный бюджет в случае нарушения субъектом Российской Федерации обязательств, предусмотренных соглашением в соответствии с подпунктами "б(1)" и "в" пункта 10 Правил формирования, предоставления и распределения субсидий, а также основания для освобождения субъекта Российской Федерации от применения мер финансовой ответственности установлены пунктами 16 - 20 Правил формирования, предоставления и распределения субсидий.
18. Ответственность за достоверность представляемых в Министерство здравоохранения Российской Федерации информации и документов, предусмотренных настоящими Правилами, возлагается на высший исполнительный орган субъекта Российской Федерации.
19. В случае нарушения целей, установленных при предоставлении субсидии, применяются бюджетные меры принуждения, предусмотренные бюджетным законодательством Российской Федерации.
20. Контроль за соблюдением условий предоставления субсидий осуществляется Министерством здравоохранения Российской Федерации и уполномоченными органами государственного финансового контроля.
21. Контроль за реализацией субъектами Российской Федерации мероприятий региональных проектов, предусмотренных пунктом 3 настоящих Правил, осуществляется Федеральной службой по надзору в сфере здравоохранения.".
10. Приложение N 13 к указанной государственной программе изложить в следующей редакции:
к государственной программе
Российской Федерации
"Развитие здравоохранения"
(в редакции постановления
Правительства Российской Федерации
от 25 декабря 2024 г. N 1888)
ПРЕДОСТАВЛЕНИЯ И РАСПРЕДЕЛЕНИЯ СУБСИДИЙ ИЗ ФЕДЕРАЛЬНОГО
БЮДЖЕТА БЮДЖЕТАМ СУБЪЕКТОВ РОССИЙСКОЙ ФЕДЕРАЦИИ В ЦЕЛЯХ
СОФИНАНСИРОВАНИЯ РАСХОДНЫХ ОБЯЗАТЕЛЬСТВ СУБЪЕКТОВ
РОССИЙСКОЙ ФЕДЕРАЦИИ ПО ПРОВЕДЕНИЮ КАПИТАЛЬНОГО
РЕМОНТА И (ИЛИ) ОСНАЩЕНИЮ МЕДИЦИНСКИМИ
ИЗДЕЛИЯМИ МЕДИЦИНСКИХ ОРГАНИЗАЦИЙ
1. Настоящие Правила устанавливают цели, условия и порядок предоставления и распределения субсидий из федерального бюджета бюджетам субъектов Российской Федерации в целях софинансирования расходных обязательств субъектов Российской Федерации по проведению капитального ремонта и (или) оснащению медицинскими изделиями медицинских организаций, подведомственных исполнительным органам субъектов Российской Федерации, возникающих при реализации региональных проектов, обеспечивающих достижение целей, показателей и результатов федерального проекта "Развитие инфраструктуры здравоохранения" государственной программы Российской Федерации "Развитие здравоохранения" (далее соответственно - медицинские организации, субсидии), в соответствии со стандартами оснащения медицинских организаций (их структурных подразделений), предусмотренными положением об организации оказания медицинской помощи по соответствующим видам медицинской помощи, порядками оказания медицинской помощи либо правилами проведения лабораторных, инструментальных, патолого-анатомических и иных видов диагностических исследований, утвержденными Министерством здравоохранения Российской Федерации, и ввода медицинских изделий в эксплуатацию.
2. Субсидии предоставляются бюджетам субъектов Российской Федерации в пределах лимитов бюджетных обязательств, доведенных до Министерства здравоохранения Российской Федерации как получателя средств федерального бюджета на предоставление субсидий на цели, указанные в пункте 1 настоящих Правил.
3. Критериями отбора субъекта Российской Федерации для предоставления субсидии являются:
а) наличие акта Президента Российской Федерации или Правительства Российской Федерации, либо поручения или указания Президента Российской Федерации, либо поручения Председателя Правительства Российской Федерации на проведение капитального ремонта зданий медицинских организаций и (или) оснащение медицинскими изделиями медицинских организаций, либо иного решения Правительства Российской Федерации, соответствующего решения Правительственной комиссии по бюджетным проектировкам на очередной финансовый год и плановый период;
б) обязательство высшего исполнительного органа субъекта Российской Федерации по финансовому обеспечению проведения капитального ремонта зданий медицинских организаций и (или) оснащения медицинскими изделиями медицинских организаций;
в) наличие в здании медицинской организации помещений, соответствующих установленным требованиям для обеспечения эксплуатации приобретаемых медицинских изделий, на момент ввода медицинских изделий в эксплуатацию;
г) наличие в здании медицинской организации помещений, требующих капитального ремонта, а также надлежащим образом оформленных сводных сметных расчетов стоимости капитального ремонта объектов капитального строительства и соответствующих заключений государственной экспертизы о проведении проверки достоверности определения сметной стоимости объектов капитального ремонта.
4. Размеры субсидий определяются актом Президента Российской Федерации или Правительства Российской Федерации, либо поручением или указанием Президента Российской Федерации, либо поручением Председателя Правительства Российской Федерации на проведение капитального ремонта зданий медицинских организаций и (или) оснащение медицинскими изделиями медицинских организаций, либо иным решением Правительства Российской Федерации, решением Правительственной комиссии по бюджетным проектировкам на очередной финансовый год и плановый период.
5. Субсидия предоставляется на основании соглашения, заключенного между Министерством здравоохранения Российской Федерации и высшим исполнительным органом субъекта Российской Федерации, подготовленного (сформированного) с использованием государственной интегрированной информационной системы управления общественными финансами "Электронный бюджет" в соответствии с типовой формой, утвержденной Министерством финансов Российской Федерации (далее - соглашение).
6. Субсидии перечисляются в установленном порядке на единые счета бюджетов, открытые финансовым органам субъектов Российской Федерации в территориальных органах Федерального казначейства.
7. Условиями предоставления субсидии являются:
а) наличие утвержденного правовым актом субъекта Российской Федерации перечня мероприятий (результатов), при реализации которых возникают расходные обязательства субъекта Российской Федерации, в целях софинансирования которых предоставляется субсидия;
б) наличие в бюджете субъекта Российской Федерации бюджетных ассигнований на финансовое обеспечение расходного обязательства субъекта Российской Федерации, софинансирование которого осуществляется из федерального бюджета, в объеме, необходимом для его исполнения, включающем размер планируемой к предоставлению из федерального бюджета субсидии, если иное не установлено актами Президента Российской Федерации или Правительства Российской Федерации;
в) заключение соглашения в соответствии с пунктом 10 Правил формирования, предоставления и распределения субсидий из федерального бюджета бюджетам субъектов Российской Федерации, утвержденных постановлением Правительства Российской Федерации от 30 сентября 2014 г. N 999 "О формировании, предоставлении и распределении субсидий из федерального бюджета бюджетам субъектов Российской Федерации" (далее - Правила формирования, предоставления и распределения субсидий).
8. Утратил силу. - Постановление Правительства РФ от 29.12.2025 N 2199.
(см. текст в предыдущей редакции)
9. Исполнительный орган субъекта Российской Федерации, уполномоченный высшим исполнительным органом субъекта Российской Федерации, в порядке и сроки, которые установлены соглашением, представляет с использованием государственной интегрированной информационной системы управления общественными финансами "Электронный бюджет" отчетность о расходах бюджета субъекта Российской Федерации, в целях софинансирования которых предоставляется субсидия, а также отчетность о достижении значений результатов использования субсидии.
10. Объем бюджетных ассигнований бюджета субъекта Российской Федерации на финансовое обеспечение расходного обязательства субъекта Российской Федерации, в целях софинансирования которого предоставляется субсидия, утверждается законом субъекта Российской Федерации о бюджете субъекта Российской Федерации (определяется сводной бюджетной росписью бюджета субъекта Российской Федерации) исходя из необходимости достижения установленных соглашением значений результатов использования субсидии.
11. Оценка эффективности использования субсидии осуществляется путем сравнения значений результатов использования субсидии, установленных в соглашении, с фактически достигнутыми значениями результатов использования субсидии.
12. Результатами использования субсидии являются:
а) количество объектов, в которых в полном объеме выполнены мероприятия по капитальному ремонту зданий медицинских организаций;
б) количество приобретенных и введенных в эксплуатацию медицинских изделий.
13. Ответственность за достоверность представляемых в Министерство здравоохранения Российской Федерации информации и документов, которые предусмотрены настоящими Правилами, возлагается на высший исполнительный орган субъекта Российской Федерации.
14. В случае нарушения целей, установленных при предоставлении субсидии, применяются бюджетные меры принуждения, предусмотренные бюджетным законодательством Российской Федерации.
15. Порядок и условия возврата средств из бюджета субъекта Российской Федерации в федеральный бюджет в случае нарушения субъектом Российской Федерации обязательств, предусмотренных соглашением в соответствии с подпунктами "б(1)" и "в" пункта 10 Правил формирования, предоставления и распределения субсидий, а также основания для освобождения субъекта Российской Федерации от применения мер финансовой ответственности установлены пунктами 16 - 20 Правил формирования, предоставления и распределения субсидий.
16. Контроль за соблюдением субъектами Российской Федерации условий предоставления субсидий осуществляется Министерством здравоохранения Российской Федерации и уполномоченными органами государственного финансового контроля.".
11. В приложении N 14 к указанной государственной программе:
а) в пункте 1 слова "условия и порядок" заменить словами "цели, условия и порядок";
б) пункт 9 изложить в следующей редакции:
"9. Поправочный коэффициент, корректирующий размер субсидии бюджету i-го субъекта Российской Федерации, при малой численности населения в субъекте Российской Федерации (Fi):
принимается равным 1,5, если численность постоянного населения i-го субъекта Российской Федерации по состоянию на 1 января года, предшествующего году предоставления субсидии, по данным Федеральной службы государственной статистики, меньше или равна 500 тыс. человек;
принимается равным 1,1, если численность постоянного населения i-го субъекта Российской Федерации по состоянию на 1 января года, предшествующего году предоставления субсидии, по данным Федеральной службы государственной статистики, больше 500 тыс. человек, но меньше или равна 2000 тыс. человек;
принимается равным 1, если численность постоянного населения i-го субъекта Российской Федерации по состоянию на 1 января года, предшествующего году предоставления субсидии, по данным Федеральной службы государственной статистики, больше 2000 тыс. человек.".
12. Приложение N 16 к указанной государственной программе изложить в следующей редакции:
к государственной программе
Российской Федерации
"Развитие здравоохранения"
(в редакции постановления
Правительства Российской Федерации
от 25 декабря 2024 г. N 1888)
ПРЕДОСТАВЛЕНИЯ И РАСПРЕДЕЛЕНИЯ СУБСИДИЙ ИЗ ФЕДЕРАЛЬНОГО
БЮДЖЕТА БЮДЖЕТАМ СУБЪЕКТОВ РОССИЙСКОЙ ФЕДЕРАЦИИ В ЦЕЛЯХ
СОФИНАНСИРОВАНИЯ РАСХОДНЫХ ОБЯЗАТЕЛЬСТВ СУБЪЕКТОВ РОССИЙСКОЙ
ФЕДЕРАЦИИ ПО ФИНАНСОВОМУ ОБЕСПЕЧЕНИЮ РЕАЛИЗАЦИИ МЕРОПРИЯТИЙ
ПО ОБЕСПЕЧЕНИЮ ДЕТЕЙ С САХАРНЫМ ДИАБЕТОМ 1 ТИПА СИСТЕМАМИ
НЕПРЕРЫВНОГО МОНИТОРИНГА ГЛЮКОЗЫ В РАМКАХ ФЕДЕРАЛЬНОГО
ПРОЕКТА "БОРЬБА С САХАРНЫМ ДИАБЕТОМ"
1. Настоящие Правила устанавливают цели, порядок и условия предоставления и распределения субсидий из федерального бюджета бюджетам субъектов Российской Федерации в целях софинансирования расходных обязательств субъектов Российской Федерации по финансовому обеспечению реализации мероприятий по обеспечению детей с сахарным диабетом 1 типа в возрасте от 2 до 17 лет включительно системами непрерывного мониторинга глюкозы, в том числе российского производства, в соответствии со стандартами медицинской помощи и клиническими рекомендациями по профилю "детская эндокринология", утвержденными Министерством здравоохранения Российской Федерации (далее соответственно - дети с сахарным диабетом, субсидия).
2. Субсидии предоставляются для обеспечения детей с сахарным диабетом системами непрерывного мониторинга глюкозы, в том числе путем проведения совместных закупок.
3. Субсидии предоставляются в пределах лимитов бюджетных обязательств, доведенных до Министерства здравоохранения Российской Федерации как получателя средств федерального бюджета на предоставление субсидий на цели, указанные в пункте 1 настоящих Правил.
4. Критерием отбора субъекта Российской Федерации для предоставления субсидии являются наличие в субъекте Российской Федерации детей с сахарным диабетом.
5. Субсидия предоставляется на основании соглашения о предоставлении субсидии из федерального бюджета бюджету субъекта Российской Федерации, заключенного между Министерством здравоохранения Российской Федерации и высшим исполнительным органом субъекта Российской Федерации, с использованием государственной интегрированной информационной системы управления общественными финансами "Электронный бюджет" в соответствии с типовой формой, утвержденной Министерством финансов Российской Федерации (далее - соглашение).
6. Условиями предоставления субсидии являются:
а) наличие правового акта субъекта Российской Федерации, утверждающего перечень мероприятий (результатов), при реализации которых возникают расходные обязательства субъекта Российской Федерации, в целях софинансирования которых предоставляется субсидия;
б) наличие в бюджете субъекта Российской Федерации бюджетных ассигнований на исполнение расходных обязательств субъекта Российской Федерации, в целях софинансирования которых предоставляется субсидия, в объеме, необходимом для их исполнения, включающем размер планируемой к предоставлению из федерального бюджета субсидии, если иное не установлено актами Президента Российской Федерации или Правительства Российской Федерации;
в) заключение соглашения в соответствии с пунктом 10 Правил формирования, предоставления и распределения субсидий из федерального бюджета бюджетам субъектов Российской Федерации, утвержденных постановлением Правительства Российской Федерации от 30 сентября 2014 г. N 999 "О формировании, предоставлении и распределении субсидий из федерального бюджета бюджетам субъектов Российской Федерации" (далее - Правила формирования, предоставления и распределения субсидий).
7. Размер предоставляемой бюджету i-го субъекта Российской Федерации субсидии (S1i), определяется по формуле:
Sob1 - общий размер бюджетных ассигнований, предусмотренных в федеральном бюджете на предоставление субсидии, тыс. рублей;
P1i - норматив финансовых затрат на одного ребенка с сахарным диабетом на обеспечение системами непрерывного мониторинга глюкозы (в том числе расходными материалами к ней для обеспечения непрерывности осуществления мониторинга глюкозы в течение одного года);
K1i - коэффициент для i-го субъекта Российской Федерации, учитывающий предельные размеры оптовых надбавок, установленные в соответствии с пунктом 6 постановления Правительства Российской Федерации от 30 декабря 2015 г. N 1517 "О государственном регулировании цен на медицинские изделия, включенные в перечень медицинских изделий, имплантируемых в организм человека при оказании медицинской помощи в рамках программы государственных гарантий бесплатного оказания гражданам медицинской помощи";
Q1i - число детей с сахарным диабетом, нуждающихся в системах непрерывного мониторинга глюкозы (в том числе расходными материалами к ней для обеспечения непрерывности осуществления мониторинга глюкозы в течение одного года), в i-м субъекте Российской Федерации, человек;
Li - предельный уровень софинансирования расходного обязательства i-го субъекта Российской Федерации из федерального бюджета, определяемый Правительством Российской Федерации в соответствии с пунктом 13(1.1) Правил формирования, предоставления и распределения субсидий, процентов;
Fi - поправочный коэффициент, корректирующий размер субсидии бюджету i-го субъекта Российской Федерации в зависимости от уровня расчетной бюджетной обеспеченности субъекта Российской Федерации на год предоставления субсидии;
n - число субъектов Российской Федерации - получателей субсидий.
8. Поправочный коэффициент (Fi), корректирующий размер субсидии бюджету i-го субъекта Российской Федерации в зависимости от уровня расчетной бюджетной обеспеченности субъекта Российской Федерации, принимается равным:
0,8 - при величине уровня расчетной бюджетной обеспеченности субъекта Российской Федерации более или равной 1,2;
0,9 - при величине уровня расчетной бюджетной обеспеченности субъекта Российской Федерации менее 1,2, но более 1;
1,0 - при величине уровня расчетной бюджетной обеспеченности субъекта Российской Федерации равной или менее 1.
9. Субсидии перечисляются в установленном порядке на единые счета бюджетов, открытые финансовым органам субъектов Российской Федерации в территориальных органах Федерального казначейства.
10. Утратил силу. - Постановление Правительства РФ от 29.12.2025 N 2199.
(см. текст в предыдущей редакции)
11. Уполномоченный исполнительный орган субъекта Российской Федерации в порядке и сроки, которые установлены соглашением, представляет с использованием государственной интегрированной информационной системы управления общественными финансами "Электронный бюджет" отчетность о расходах бюджета субъекта Российской Федерации, в целях софинансирования которых предоставляется субсидия, а также отчетность о достижении значений результатов использования субсидии.
12. Объем бюджетных ассигнований бюджета субъекта Российской Федерации на финансовое обеспечение расходных обязательств субъекта Российской Федерации, в целях софинансирования которых предоставляется субсидия, утверждается законом субъекта Российской Федерации о бюджете субъекта Российской Федерации (определяется сводной бюджетной росписью бюджета субъекта Российской Федерации) исходя из необходимости достижения установленных в соглашении значений результатов использования субсидии.
13. Объем бюджетных ассигнований бюджета субъекта Российской Федерации на финансовое обеспечение расходных обязательств субъекта Российской Федерации, в целях софинансирования которых предоставляется субсидия, может быть увеличен в одностороннем порядке субъектом Российской Федерации, что не влечет за собой обязательств Российской Федерации по увеличению размера субсидии.
14. Оценка эффективности использования субсидий осуществляется Министерством здравоохранения Российской Федерации путем сравнения установленных соглашением значений результатов использования субсидии, соответствующих результатам федерального проекта "Борьба с сахарным диабетом", и фактически достигнутых значений результатов использования субсидии.
15. Результатом использования субсидии является число детей с сахарным диабетом, обеспеченных системами непрерывного мониторинга глюкозы.
16. Порядок и условия возврата средств из бюджета субъекта Российской Федерации в федеральный бюджет в случае нарушения субъектом Российской Федерации обязательств, предусмотренных соглашением в соответствии с подпунктами "б(1)" и "в" пункта 10 Правил формирования, предоставления и распределения субсидий, а также основания для освобождения субъекта Российской Федерации от применения мер финансовой ответственности установлены пунктами 16 - 20 Правил формирования, предоставления и распределения субсидий.
17. Ответственность за достоверность представляемых в Министерство здравоохранения Российской Федерации информации и документов, которые предусмотрены настоящими Правилами, возлагается на высший исполнительный орган субъекта Российской Федерации.
18. В случае нарушения целей, установленных при предоставлении субсидии, применяются бюджетные меры принуждения, предусмотренные бюджетным законодательством Российской Федерации.
19. Контроль за соблюдением субъектами Российской Федерации условий предоставления субсидий осуществляется Министерством здравоохранения Российской Федерации и уполномоченными органами государственного финансового контроля.
20. Контроль за реализацией субъектами Российской Федерации мероприятий, предусмотренных пунктом 1 настоящих Правил, осуществляется Федеральной службой по надзору в сфере здравоохранения.".
13. В приложении N 17 к указанной государственной программе:
а) в пункте 1 слова "порядок и условия" заменить словами "цели, условия и порядок";
б) пункт 9 изложить в следующей редакции:
"9. Размер предоставляемой бюджету i-го субъекта Российской Федерации субсидии (Vi) определяется по формуле:
Vобщ - общий объем бюджетных ассигнований, предусмотренных в федеральном бюджете на предоставление субсидий, тыс. рублей;
Ki - заявленная высшим исполнительным органом субъекта Российской Федерации потребность на оснащение (дооснащение) медицинских организаций медицинскими изделиями, указанными в пункте 2 настоящих Правил, тыс. рублей;
Li - предельный уровень софинансирования расходного обязательства i-го субъекта Российской Федерации, определяемый в соответствии с пунктом 13 Правил формирования, предоставления и распределения субсидий из федерального бюджета бюджетам субъектов Российской Федерации, утвержденных постановлением Правительства Российской Федерации от 30 сентября 2014 г. N 999 "О формировании, предоставлении и распределении субсидий из федерального бюджета бюджетам субъектов Российской Федерации", процентов;
n - количество субъектов Российской Федерации - получателей субсидий.".
14. В приложении N 18 к указанной государственной программе:
а) в пункте 1 слова "порядок и условия" заменить словами "цели, условия и порядок";
б) пункт 9 изложить в следующей редакции:
"9. Размер предоставляемой бюджету i-го субъекта Российской Федерации субсидии (Vi) определяется по формуле:
Vобщ - общий объем бюджетных ассигнований, предусмотренных в федеральном бюджете на предоставление субсидий, тыс. рублей;
Ki - заявленная высшим исполнительным органом субъекта Российской Федерации потребность на оснащение (дооснащение) медицинских организаций медицинскими изделиями, указанными в пункте 2 настоящих Правил, тыс. рублей;
Li - предельный уровень софинансирования расходного обязательства i-го субъекта Российской Федерации, определяемый в соответствии с пунктом 13 Правил формирования, предоставления и распределения субсидий из федерального бюджета бюджетам субъектов Российской Федерации, утвержденных постановлением Правительства Российской Федерации от 30 сентября 2014 г. N 999 "О формировании, предоставлении и распределении субсидий из федерального бюджета бюджетам субъектов Российской Федерации", процентов;
n - количество субъектов Российской Федерации - получателей субсидий.".
15. В приложении N 19 к указанной государственной программе:
а) в пункте 1 слова "порядок и условия" заменить словами "цели, условия и порядок";
б) пункты 9 и 10 изложить в следующей редакции:
"9. Размер предоставляемой бюджету i-го субъекта Российской Федерации субсидии (Vi) определяется по формуле:
Vобщ - общий объем бюджетных ассигнований, предусмотренных в федеральном бюджете на предоставление субсидий, тыс. рублей;
S - стоимость проведения расширенного неонатального скрининга на одного ребенка, тыс. рублей;
Ni - прогнозное число детей, родившихся в i-м субъекте Российской Федерации, исходя из предоставленных органами исполнительной власти субъектов Российской Федерации в сфере охраны здоровья сведений о прогнозном числе родившихся в Донецкой Народной Республике, Луганской Народной Республике, Запорожской области и Херсонской области в соответствующем финансовом году, человек;
K - коэффициент достижения индикативного показателя ведомственного проекта "Реализация отдельных мероприятий в Донецкой Народной Республике, Луганской Народной Республике, Запорожской области и Херсонской области" государственной программы Российской Федерации "Развитие здравоохранения" в соответствующем финансовом году;
Li - предельный уровень софинансирования расходного обязательства i-го субъекта Российской Федерации, определяемый в соответствии с пунктом 13 Правил формирования, предоставления и распределения субсидий из федерального бюджета бюджетам субъектов Российской Федерации, утвержденных постановлением Правительства Российской Федерации от 30 сентября 2014 г. N 999 "О формировании, предоставлении и распределении субсидий из федерального бюджета бюджетам субъектов Российской Федерации", процентов;
n - количество субъектов Российской Федерации - получателей субсидии.
10. Результатом использования субсидий является количество обследованных новорожденных в рамках проведения расширенного неонатального скрининга.".
16. Дополнить приложениями N 27 - 36 следующего содержания:
к государственной программе
Российской Федерации
"Развитие здравоохранения"
ПРЕДОСТАВЛЕНИЯ И РАСПРЕДЕЛЕНИЯ СУБСИДИЙ ИЗ ФЕДЕРАЛЬНОГО
БЮДЖЕТА БЮДЖЕТАМ ДОНЕЦКОЙ НАРОДНОЙ РЕСПУБЛИКИ, ЛУГАНСКОЙ
НАРОДНОЙ РЕСПУБЛИКИ, ЗАПОРОЖСКОЙ ОБЛАСТИ И ХЕРСОНСКОЙ
ОБЛАСТИ В ЦЕЛЯХ СОФИНАНСИРОВАНИЯ РАСХОДНЫХ ОБЯЗАТЕЛЬСТВ
УКАЗАННЫХ СУБЪЕКТОВ РОССИЙСКОЙ ФЕДЕРАЦИИ ПО ФИНАНСОВОМУ
ОБЕСПЕЧЕНИЮ РЕАЛИЗАЦИИ МЕРОПРИЯТИЙ ПО ОСНАЩЕНИЮ
(ДООСНАЩЕНИЮ) МЕДИЦИНСКИМИ ИЗДЕЛИЯМИ
МЕДИЦИНСКИХ ОРГАНИЗАЦИЙ
1. Настоящие Правила устанавливают цели, порядок и условия предоставления субсидий из федерального бюджета бюджетам Донецкой Народной Республики, Луганской Народной Республики, Запорожской области и Херсонской области (далее - субъект Российской Федерации) в целях софинансирования расходных обязательств субъектов Российской Федерации по финансовому обеспечению реализации мероприятий по оснащению (дооснащению) медицинскими изделиями медицинских организаций, подведомственных исполнительным органам субъектов Российской Федерации (далее - соответственно субсидия, медицинские организации).
2. Субсидии предоставляются в пределах лимитов бюджетных обязательств, доведенных до Министерства здравоохранения Российской Федерации как получателя средств федерального бюджета на предоставление субсидий на цели, указанные в пункте 1 настоящих Правил.
3. Размер предоставляемой субсидии бюджету субъекта Российской Федерации соответствует размеру, указанному в заявке (с расчетом финансовой потребности) на приобретение медицинских изделий, указанных в пункте 1 настоящих Правил, подписанной руководителем высшего исполнительного органа субъекта Российской Федерации, представленной в Министерство здравоохранения Российской Федерации.
4. Критериями отбора субъекта Российской Федерации для предоставления субсидии являются:
а) наличие в субъекте Российской Федерации медицинских организаций;
б) наличие подтвержденной потребности субъекта Российской Федерации в реализации мероприятий, направленных на оснащение (дооснащение) медицинскими изделиями медицинских организаций, представленной в Министерство здравоохранения Российской Федерации посредством заявки (с расчетом финансовой потребности) на осуществление указанных мероприятий, подписанной руководителем высшего исполнительного органа субъекта Российской Федерации.
5. Условиями предоставления субсидии являются:
а) наличие правовых актов субъекта Российской Федерации, утверждающих перечень мероприятий (результатов), при реализации которых возникают расходные обязательства субъекта Российской Федерации, в целях софинансирования которых предоставляется субсидия;
б) наличие в бюджете субъекта Российской Федерации бюджетных ассигнований на исполнение расходного обязательства субъекта Российской Федерации, софинансирование которого осуществляется из федерального бюджета, в объеме, необходимом для его исполнения;
в) заключение соглашения о предоставлении субсидии из федерального бюджета бюджету субъекта Российской Федерации между Министерством здравоохранения Российской Федерации и высшим исполнительным органом субъекта Российской Федерации в соответствии с пунктом 10 Правил формирования, предоставления и распределения субсидий из федерального бюджета бюджетам субъектов Российской Федерации, утвержденных постановлением Правительства Российской Федерации от 30 сентября 2014 г. N 999 "О формировании, предоставлении и распределении субсидий из федерального бюджета бюджетам субъектов Российской Федерации" (далее соответственно - Правила формирования, предоставления и распределения субсидий, соглашение).
6. Соглашение заключается с использованием государственной интегрированной информационной системы управления общественными финансами "Электронный бюджет" в соответствии с типовой формой соглашения, утвержденной Министерством финансов Российской Федерации.
7. Утратил силу. - Постановление Правительства РФ от 29.12.2025 N 2199.
(см. текст в предыдущей редакции)
8. Субсидии перечисляются в установленном порядке на единые счета бюджетов, открытые финансовым органам субъектов Российской Федерации в территориальных органах Федерального казначейства.
9. Исполнительный орган субъекта Российской Федерации, уполномоченный высшим исполнительным органом субъекта Российской Федерации, в порядке и сроки, которые установлены соглашением, представляет с использованием государственной интегрированной информационной системы управления общественными финансами "Электронный бюджет" отчетность о расходах бюджета субъекта Российской Федерации, в целях софинансирования которых предоставляется субсидия, а также отчетность о достижении результата использования субсидии.
10. Размер предоставляемой бюджету i-го субъекта Российской Федерации субсидии (Vi) определяется по формуле:
Vобщ - общий объем бюджетных ассигнований, предусмотренных в федеральном бюджете на предоставление субсидий, тыс. рублей;
Ki - заявленная высшим исполнительным органом субъекта Российской Федерации потребность на оснащение (дооснащение) медицинских организаций медицинскими изделиями, указанными в пункте 1 настоящих Правил, тыс. рублей;
Li - предельный уровень софинансирования расходного обязательства i-го субъекта Российской Федерации, определяемый в соответствии с пунктом 13 Правил формирования, предоставления и распределения субсидий, процентов;
n - количество субъектов Российской Федерации - получателей субсидий.
11. Результатом использования субсидии является количество приобретенных и введенных в эксплуатацию медицинских изделий. Оценка эффективности использования субсидии осуществляется Министерством здравоохранения Российской Федерации путем сравнения установленного соглашением планового значения результата использования субсидии и фактически достигнутого значения результата использования субсидии.
12. Объем бюджетных ассигнований бюджета субъекта Российской Федерации на финансовое обеспечение расходных обязательств субъекта Российской Федерации, в целях софинансирования которых предоставляется субсидия, утверждается законом субъекта Российской Федерации о бюджете субъекта Российской Федерации (определяется сводной бюджетной росписью бюджета субъекта Российской Федерации) исходя из необходимости достижения установленного соглашением значения результата использования субсидии.
13. Объем бюджетных ассигнований бюджета субъекта Российской Федерации на финансовое обеспечение расходных обязательств субъекта Российской Федерации, в целях софинансирования которых предоставляется субсидия, может быть увеличен в одностороннем порядке субъектом Российской Федерации, что не влечет за собой обязательств Российской Федерации по увеличению размера субсидии.
14. Ответственность за достоверность представляемых в Министерство здравоохранения Российской Федерации информации и документов, которые предусмотрены настоящими Правилами, возлагается на высший исполнительный орган субъекта Российской Федерации.
15. Порядок и условия возврата средств из бюджета субъекта Российской Федерации в федеральный бюджет в случае нарушения субъектом Российской Федерации обязательств, предусмотренных соглашением в соответствии с подпунктами "б(1)" и "в" пункта 10 Правил формирования, предоставления и распределения субсидий, а также основания для освобождения субъекта Российской Федерации от применения мер финансовой ответственности установлены пунктами 16 - 20 Правил формирования, предоставления и распределения субсидий.
16. Контроль за соблюдением субъектами Российской Федерации условий предоставления субсидий осуществляется Министерством здравоохранения Российской Федерации и уполномоченными органами государственного финансового контроля.
17. В случае нарушения целей, установленных при предоставлении субсидии, применяются бюджетные меры принуждения, предусмотренные бюджетным законодательством Российской Федерации.
к государственной программе
Российской Федерации
"Развитие здравоохранения"
ПРЕДОСТАВЛЕНИЯ И РАСПРЕДЕЛЕНИЯ СУБСИДИИ
ИЗ ФЕДЕРАЛЬНОГО БЮДЖЕТА БЮДЖЕТАМ СУБЪЕКТОВ РОССИЙСКОЙ
ФЕДЕРАЦИИ В ЦЕЛЯХ СОФИНАНСИРОВАНИЯ РАСХОДНЫХ ОБЯЗАТЕЛЬСТВ
СУБЪЕКТОВ РОССИЙСКОЙ ФЕДЕРАЦИИ, ВОЗНИКАЮЩИХ ПРИ РЕАЛИЗАЦИИ
МЕРОПРИЯТИЙ ПО ПРОВЕДЕНИЮ ВАКЦИНАЦИИ ПРОТИВ ПНЕВМОКОККОВОЙ
ИНФЕКЦИИ ГРАЖДАН СТАРШЕ ТРУДОСПОСОБНОГО ВОЗРАСТА
ИЗ ГРУПП РИСКА, ПРОЖИВАЮЩИХ В ОРГАНИЗАЦИЯХ
СОЦИАЛЬНОГО ОБСЛУЖИВАНИЯ
1. Настоящие Правила устанавливают цели, порядок и условия предоставления и распределения субсидии из федерального бюджета бюджетам субъектов Российской Федерации в целях софинансирования расходных обязательств субъектов Российской Федерации, возникающих при реализации мероприятий по проведению вакцинации против пневмококковой инфекции граждан старше трудоспособного возраста из групп риска, проживающих в организациях социального обслуживания (далее - субсидия).
2. Субсидии предоставляются в пределах лимитов бюджетных обязательств, доведенных до Министерства здравоохранения Российской Федерации как получателя средств федерального бюджета на предоставление субсидий на цели, указанные в пункте 1 настоящих Правил.
3. Критерием отбора субъекта Российской Федерации для предоставления субсидии является наличие на территории субъекта Российской Федерации стационарных организаций социального обслуживания.
4. Условиями предоставления субсидии являются:
а) наличие правовых актов субъекта Российской Федерации, утверждающих перечень мероприятий (результатов), при реализации которых возникают расходные обязательства субъекта Российской Федерации, в целях софинансирования которых предоставляется субсидия;
б) наличие в бюджете субъекта Российской Федерации бюджетных ассигнований на исполнение расходных обязательств субъекта Российской Федерации, в целях софинансирования которых предоставляется субсидия, в объеме, необходимом для их исполнения, включающем размер планируемой к предоставлению из федерального бюджета субсидии, если иное не установлено актами Президента Российской Федерации или Правительства Российской Федерации;
в) заключение соглашения о предоставлении субсидии из федерального бюджета бюджету субъекта Российской Федерации в соответствии с пунктом 10 Правил формирования, предоставления и распределения субсидий из федерального бюджета бюджетам субъектов Российской Федерации, утвержденных постановлением Правительства Российской Федерации от 30 сентября 2014 г. N 999 "О формировании, предоставлении и распределении субсидий из федерального бюджета бюджетам субъектов Российской Федерации" (далее - Правила формирования, предоставления и распределения субсидий).
5. Субсидия предоставляется на основании соглашения о предоставлении субсидии из федерального бюджета бюджету субъекта Российской Федерации, заключенного между Министерством здравоохранения Российской Федерации и высшим исполнительным органом субъекта Российской Федерации, подготовленного (сформированного) с использованием государственной интегрированной информационной системы управления общественными финансами "Электронный бюджет" в соответствии с типовой формой, утвержденной Министерством финансов Российской Федерации (далее - соглашение).
6. Размер субсидии, предоставляемой бюджету i-го субъекта Российской Федерации, реализующего в соответствующем финансовом году мероприятие, предусмотренное пунктом 1 настоящих Правил (Si), определяется по формуле:
Sобщ - общий объем бюджетных ассигнований, предусмотренных в федеральном бюджете на предоставление субсидий, тыс. рублей;
Diпрогноз - коэффициент, который считается как сумма численности получателей социальных услуг старше трудоспособного возраста из групп риска, проживающих в организациях социального обслуживания, на конец отчетного года и разница между численностью получателей социальных услуг старше трудоспособного возраста из групп риска, проживающих в организациях социального обслуживания, на конец отчетного года и на конец года, предшествующего отчетному году, в i-м субъекте Российской Федерации, человек;
Li - предельный уровень софинансирования расходного обязательства i-го субъекта Российской Федерации из федерального бюджета, определяемый в соответствии с пунктом 13 Правил формирования, предоставления и распределения субсидий, процентов;
n - количество субъектов Российской Федерации - получателей субсидий.
7. Субсидии перечисляются в установленном порядке на единые счета бюджетов, открытые финансовым органам субъектов Российской Федерации в территориальных органах Федерального казначейства.
8. Результатом использования субсидии является число граждан старше трудоспособного возраста из групп риска, проживающих в организациях социального обслуживания, вакцинированных против пневмококковой инфекции.
9. Исполнительный орган субъекта Российской Федерации, уполномоченный высшим исполнительным органом субъекта Российской Федерации обеспечивает проведение мероприятий, указанных в пункте 1 настоящих Правил, в целях софинансирования которых предоставляется субсидия.
10. Объем бюджетных ассигнований бюджета субъекта Российской Федерации на финансовое обеспечение расходных обязательств субъекта Российской Федерации, в целях софинансирования которых предоставляется субсидия, может быть увеличен в одностороннем порядке субъектом Российской Федерации, что не влечет за собой обязательств Российской Федерации по увеличению размера субсидии.
11. Объем бюджетных ассигнований бюджета субъекта Российской Федерации на финансовое обеспечение расходных обязательств субъекта Российской Федерации, в целях софинансирования которых предоставляется субсидия, утверждается законом субъекта Российской Федерации о бюджете субъекта Российской Федерации (определяется сводной бюджетной росписью бюджета субъекта Российской Федерации) исходя из необходимости достижения установленных соглашением значений результата использования субсидии.
12. Исполнительный орган субъекта Российской Федерации, уполномоченный высшим исполнительным органом субъекта Российской Федерации, в порядке и сроки, которые установлены соглашением, представляет с использованием государственной интегрированной информационной системы управления общественными финансами "Электронный бюджет" отчет о расходах бюджета субъекта Российской Федерации, в целях софинансирования которых предоставляется субсидия, а также отчет о достижении значений результата использования субсидии.
13. Утратил силу. - Постановление Правительства РФ от 29.12.2025 N 2199.
(см. текст в предыдущей редакции)
14. Субсидия, от которой субъект Российской Федерации отказался полностью или частично до заключения соглашения или в период его действия, подлежит дальнейшему перераспределению в текущем году между другими субъектами Российской Федерации, выразившими готовность к освоению перераспределенных средств на цели, указанные в пункте 1 настоящих Правил, в случаях и порядке, которые предусмотрены бюджетным законодательством Российской Федерации.
15. Оценка эффективности использования субсидий осуществляется Министерством здравоохранения Российской Федерации путем сравнения установленного соглашением планового значения результата использования субсидий и фактически достигнутого значения результата использования субсидий.
16. В случае нарушения целей, установленных при предоставлении субсидии, применяются бюджетные меры принуждения, предусмотренные бюджетным законодательством Российской Федерации.
17. Порядок и условия возврата средств из бюджета субъекта Российской Федерации в федеральный бюджет в случае нарушения субъектом Российской Федерации обязательств, предусмотренных соглашением в соответствии с подпунктами "б(1)" и "в" пункта 10 Правил формирования, предоставления и распределения субсидий, а также основания для освобождения субъекта Российской Федерации от применения мер финансовой ответственности установлены пунктами 16 - 20 Правил формирования, предоставления и распределения субсидий.
18. Ответственность за достоверность представляемых в Министерство здравоохранения Российской Федерации информации и документов, которые предусмотрены настоящими Правилами, возлагается на высший исполнительный орган субъекта Российской Федерации.
19. Контроль за соблюдением субъектами Российской Федерации условий предоставления субсидий осуществляется Министерством здравоохранения и уполномоченными органами государственного финансового контроля.
к государственной программе
Российской Федерации
"Развитие здравоохранения"
ПРЕДОСТАВЛЕНИЯ И РАСПРЕДЕЛЕНИЯ СУБСИДИЙ
ИЗ ФЕДЕРАЛЬНОГО БЮДЖЕТА БЮДЖЕТАМ СУБЪЕКТОВ РОССИЙСКОЙ
ФЕДЕРАЦИИ НА МОДЕРНИЗАЦИЮ МЕДИЦИНСКИХ ИЗДЕЛИЙ И ИНОГО
ОБОРУДОВАНИЯ СТРУКТУРНЫХ ПОДРАЗДЕЛЕНИЙ МЕДИЦИНСКИХ
ОРГАНИЗАЦИЙ, ОКАЗЫВАЮЩИХ МЕДИЦИНСКУЮ ПОМОЩЬ С ПРИМЕНЕНИЕМ
РАДИОЛОГИЧЕСКИХ МЕТОДОВ (ДИАГНОСТИКИ И (ИЛИ) ТЕРАПИИ),
ДООСНАЩЕНИЕ ИЛИ ПЕРЕОСНАЩЕНИЕ МЕДИЦИНСКИМИ ИЗДЕЛИЯМИ
И ИНЫМ ОБОРУДОВАНИЕМ СУЩЕСТВУЮЩИХ И (ИЛИ) НОВЫХ
(ОРГАНИЗУЕМЫХ) СТРУКТУРНЫХ ПОДРАЗДЕЛЕНИЙ МЕДИЦИНСКИХ
ОРГАНИЗАЦИЙ, ОКАЗЫВАЮЩИХ МЕДИЦИНСКУЮ ПОМОЩЬ
С ПРИМЕНЕНИЕМ РАДИОЛОГИЧЕСКИХ МЕТОДОВ (ДИАГНОСТИКИ
И (ИЛИ) ТЕРАПИИ), В РАМКАХ ФЕДЕРАЛЬНОГО ПРОЕКТА
"БОРЬБА С ОНКОЛОГИЧЕСКИМИ ЗАБОЛЕВАНИЯМИ"
1. Настоящие Правила устанавливают цели, порядок и условия предоставления и распределения субсидий из федерального бюджета бюджетам субъектов Российской Федерации в целях софинансирования расходных обязательств субъектов Российской Федерации, возникающих при реализации мероприятий региональных проектов "Борьба с онкологическими заболеваниями" по модернизации медицинских изделий и иного оборудования структурных подразделений медицинских организаций, подведомственных исполнительным органам субъектов Российской Федерации, оказывающих медицинскую помощь с применением радиологических методов (диагностики и (или) терапии), дооснащению или переоснащению медицинскими изделиями и иным оборудованием существующих и (или) новых (организуемых) структурных подразделений медицинских организаций, подведомственных исполнительным органам субъектов Российской Федерации, оказывающих медицинскую помощь с применением радиологических методов (диагностики и (или) терапии), в рамках федерального проекта "Борьба с онкологическими заболеваниями" (далее соответственно - структурные подразделения, медицинские организации, субсидия).
2. Модернизация медицинских изделий и иного оборудования структурных подразделений медицинских организаций, дооснащение или переоснащение медицинскими изделиями и иным оборудованием существующих и (или) новых (организуемых) структурных подразделений медицинских организаций, осуществляются по перечню медицинских изделий и иного оборудования, утвержденному Министерством здравоохранения Российской Федерации, в том числе путем проведения совместных закупок, с учетом того, что при эквивалентных технологических характеристиках медицинских изделий и иного оборудования предпочтение рекомендуется отдавать медицинским изделиям и иному оборудованию российских производителей.
3. Субсидии предоставляются в пределах лимитов бюджетных обязательств, доведенных до Министерства здравоохранения Российской Федерации как получателя средств федерального бюджета на предоставление субсидий на цели, указанные в пункте 1 настоящих Правил.
4. Критериями отбора субъекта Российской Федерации для предоставления субсидии являются:
а) наличие соглашения о реализации на территории субъекта Российской Федерации регионального проекта "Борьба с онкологическими заболеваниями", заключенного в установленном порядке и действующего на период предоставления субсидии;
б) наличие подтвержденной потребности субъекта Российской Федерации в реализации мероприятий, направленных на модернизацию медицинских изделий и иного оборудования структурных подразделений медицинских организаций, дооснащение или переоснащение медицинскими изделиями и иным оборудованием существующих и (или) новых (организуемых) структурных подразделений медицинских организаций, представленной в Министерство здравоохранения Российской Федерации посредством заявки (с расчетом финансовой потребности) на осуществление указанных мероприятий, подписанной высшим исполнительным органом субъекта Российской Федерации (далее - заявка).
5. В оценке медицинских изделий, указанных в заявках, представленных высшими исполнительными органами субъектов Российской Федерации в соответствии с подпунктом "б" пункта 4 настоящих Правил, по запросу Министерства здравоохранения Российской Федерации принимает участие Федеральная служба по надзору в сфере здравоохранения на предмет соответствия стоимости медицинских изделий, указанных в заявках, средневзвешенным ценам на медицинские изделия за период не менее 2 лет, предшествующих году представления высшими исполнительными органами субъекта Российской Федерации заявок.
В случае выявления Федеральной службой по надзору в сфере здравоохранения несоответствия стоимости медицинских изделий, указанных в заявках, средневзвешенным ценам на медицинские изделия за период не менее 2 лет, предшествующих году представления высшими исполнительными органами субъектов Российской Федерации заявок, высшие исполнительные органы субъектов Российской Федерации представляют дополнительное обоснование и при необходимости дорабатывают заявки.
6. Субсидия предоставляется на основании соглашения о предоставлении субсидии из федерального бюджета бюджету субъекта Российской Федерации, заключенного между Министерством здравоохранения Российской Федерации и высшим исполнительным органом субъекта Российской Федерации с использованием государственной интегрированной информационной системы управления общественными финансами "Электронный бюджет" в соответствии с типовой формой, утвержденной Министерством финансов Российской Федерации (далее - соглашение).
7. Условиями предоставления субсидии являются:
а) наличие правового акта субъекта Российской Федерации, утверждающего перечень мероприятий (результатов), при реализации которых возникают расходные обязательства субъекта Российской Федерации, в целях софинансирования которых предоставляется субсидия;
б) наличие в бюджете субъекта Российской Федерации бюджетных ассигнований на исполнение расходных обязательств субъекта Российской Федерации, софинансирование которых осуществляется из федерального бюджета, в объеме, необходимом для их исполнения, включающем размер планируемой к предоставлению из федерального бюджета субсидии, если иное не установлено актами Президента Российской Федерации или Правительства Российской Федерации;
в) заключение соглашения в соответствии с пунктом 10 Правил формирования, предоставления и распределения субсидий из федерального бюджета бюджетам субъектов Российской Федерации, утвержденных постановлением Правительства Российской Федерации от 30 сентября 2014 г. N 999 "О формировании, предоставлении и распределении субсидий из федерального бюджета бюджетам субъектов Российской Федерации" (далее - Правила формирования, предоставления и распределения субсидий).
8. Субсидии перечисляются в установленном порядке на единые счета бюджетов, открытые финансовым органам субъектов Российской Федерации в территориальных органах Федерального казначейства.
9. Исполнительный орган субъекта Российской Федерации, уполномоченный высшим исполнительным органом субъекта Российской Федерации, в порядке и сроки, которые установлены соглашением, представляет с использованием государственной интегрированной информационной системы управления общественными финансами "Электронный бюджет" отчет о расходах бюджета субъекта Российской Федерации, в целях софинансирования которых предоставляется субсидия, а также отчет о достижении значений результата использования субсидии.
10. Утратил силу. - Постановление Правительства РФ от 29.12.2025 N 2199.
(см. текст в предыдущей редакции)
11. Оценка эффективности использования субсидии осуществляется Министерством здравоохранения Российской Федерации путем сравнения установленных соглашением плановых значений результата использования субсидии, соответствующего результату федерального проекта "Борьба с онкологическими заболеваниями", и фактически достигнутых значений результата использования субсидии.
12. Результатом использования субсидии является количество структурных подразделений медицинских организаций, в которых проведена модернизация медицинских изделий и иного оборудования в отчетном году, и количество существующих и (или) новых (организуемых) структурных подразделений медицинских организаций, которые дооснащены или переоснащены медицинскими изделиями и иным оборудованием в отчетном году.
Достижение результата использования субсидии учитывается при условии ввода в эксплуатацию всех медицинских изделий и иного оборудования, которые планировалось модернизировать и (или) которыми планировалось дооснастить или переоснастить существующие и (или) новые (организуемые) структурные подразделения медицинских организаций в отчетном году.
13. Размер предоставляемой бюджету i-го субъекта Российской Федерации субсидии (Si) определяется по формуле:
S0 - общий объем бюджетных ассигнований, предусмотренных в федеральном бюджете на предоставление субсидий, тыс. рублей;
Vi - размер средств, необходимых бюджету i-го субъекта Российской Федерации на соответствующий финансовый год на модернизацию медицинских изделий и иного оборудования структурных подразделений медицинских организаций на переоснащение или дооснащение медицинскими изделиями и иным оборудованием существующих и (или) новых (организуемых) структурных подразделений медицинских организаций, в соответствии с заявкой и с учетом оценки, проведенной Федеральной службой по надзору в сфере здравоохранения в соответствии с пунктом 5 настоящих Правил, тыс. рублей;
Li - предельный уровень софинансирования расходного обязательства i-го субъекта Российской Федерации из федерального бюджета, определяемый в соответствии с пунктом 13(1.1) Правил формирования, предоставления и распределения субсидий, процентов;
m - число субъектов Российской Федерации - получателей субсидий.
14. Сумма субсидии i-му субъекту Российской Федерации (нарастающим итогом) не может превышать объема заявленной потребности в финансовом обеспечении реализации мероприятия за счет средств федерального бюджета соответствующего субъекта Российской Федерации, скорректированной на предельный уровень софинансирования (Li), указанный в пункте 13 настоящих Правил.
15. Объем бюджетных ассигнований бюджета субъекта Российской Федерации на финансовое обеспечение расходных обязательств субъекта Российской Федерации, в целях софинансирования которых предоставляется субсидия, может быть увеличен в одностороннем порядке субъектом Российской Федерации, что не влечет за собой обязательств Российской Федерации по увеличению размера субсидии.
16. Объем бюджетных ассигнований бюджета субъекта Российской Федерации на финансовое обеспечение расходных обязательств субъекта Российской Федерации, в целях софинансирования которых предоставляется субсидия, утверждается законом субъекта Российской Федерации о бюджете субъекта Российской Федерации (определяется сводной бюджетной росписью бюджета субъекта Российской Федерации) исходя из необходимости достижения установленных соглашением значений результата использования субсидии.
17. В целях перераспределения между субъектами Российской Федерации бюджетных ассигнований, высвободившихся в случае отказа субъекта Российской Федерации полностью или частично от получения субсидии, а также в случае достижения субъектом Российской Федерации установленных соглашением значений результата использования субсидии, в случаях и порядке, которые предусмотрены бюджетным законодательством Российской Федерации, перераспределенная (дополнительная) сумма для i-го субъекта Российской Федерации (Cip) определяется по формуле:
Cw - общий объем высвободившихся бюджетных ассигнований, тыс. рублей;
Ciz - объем дополнительной потребности в субсидиях, заявленной i-м субъектом Российской Федерации, тыс. рублей;
k - число субъектов Российской Федерации, заявивших о дополнительной потребности в субсидиях, единиц.
18. Перераспределенная сумма для i-го субъекта Российской Федерации не должна превышать запрашиваемый этим субъектом Российской Федерации объем дополнительной потребности в субсидии.
В целях осуществления перераспределения полностью или частично субсидии в соответствии с пунктом 17 настоящих Правил высшее должностное лицо субъекта Российской Федерации, инициирующее отказ полностью или частично от субсидии, информирует Министерство здравоохранения Российской Федерации о причинах отказа полностью или частично от субсидии с приложением соответствующих расчетов и гарантии реализации мероприятий, указанных в пункте 1 настоящих Правил, в полном объеме, в случаях и порядке, которые предусмотрены бюджетным законодательством Российской Федерации. Высшее должностное лицо субъекта Российской Федерации, заявившее о дополнительной потребности в субсидии, информирует Министерство здравоохранения Российской Федерации о причинах возникновения дополнительной потребности с приложением соответствующих расчетов в случаях и порядке, которые предусмотрены бюджетным законодательством Российской Федерации.
19. Порядок и условия возврата средств из бюджета субъекта Российской Федерации в федеральный бюджет в случае нарушения субъектом Российской Федерации обязательств, предусмотренных соглашением в соответствии с подпунктами "б(1)" и "в" пункта 10 Правил формирования, предоставления и распределения субсидий, а также основания для освобождения субъекта Российской Федерации от применения мер финансовой ответственности установлены пунктами 16 - 20 Правил формирования, предоставления и распределения субсидий.
20. Ответственность за достоверность представляемых в Министерство здравоохранения Российской Федерации информации и документов, которые предусмотрены настоящими Правилами, возлагается на высший исполнительный орган субъекта Российской Федерации.
21. В случае нарушения целей, установленных при предоставлении субсидии, применяются бюджетные меры принуждения, предусмотренные бюджетным законодательством Российской Федерации.
22. Контроль за соблюдением субъектами Российской Федерации условий предоставления субсидий осуществляется Министерством здравоохранения Российской Федерации и уполномоченными органами государственного финансового контроля.
23. Контроль за реализацией субъектами Российской Федерации мероприятий, предусмотренных пунктом 1 настоящих Правил, в том числе рассмотрение технических заданий на соответствие закупаемых медицинских изделий и иного оборудования типовым техническим заданиям, разрабатываемым главными внештатными специалистами Министерства здравоохранения Российской Федерации совместно с Федеральной службой по надзору в сфере здравоохранения, а также перечню медицинских изделий и иного оборудования, утвержденному Министерством здравоохранения Российской Федерации, осуществляется Федеральной службой по надзору в сфере здравоохранения.
к государственной программе
Российской Федерации
"Развитие здравоохранения"
ПРЕДОСТАВЛЕНИЯ И РАСПРЕДЕЛЕНИЯ СУБСИДИЙ
ИЗ ФЕДЕРАЛЬНОГО БЮДЖЕТА БЮДЖЕТАМ ДОНЕЦКОЙ
НАРОДНОЙ РЕСПУБЛИКИ, ЛУГАНСКОЙ НАРОДНОЙ РЕСПУБЛИКИ,
ЗАПОРОЖСКОЙ ОБЛАСТИ И ХЕРСОНСКОЙ ОБЛАСТИ В ЦЕЛЯХ
СОФИНАНСИРОВАНИЯ РАСХОДНЫХ ОБЯЗАТЕЛЬСТВ УКАЗАННЫХ СУБЪЕКТОВ
РОССИЙСКОЙ ФЕДЕРАЦИИ ПО ФИНАНСОВОМУ ОБЕСПЕЧЕНИЮ РЕАЛИЗАЦИИ
МЕРОПРИЯТИЙ ПО СОЗДАНИЮ ЕДИНОГО ЦИФРОВОГО КОНТУРА
В ЗДРАВООХРАНЕНИИ, ВНЕДРЕНИЮ МЕДИЦИНСКИХ ИНФОРМАЦИОННЫХ
СИСТЕМ И ГОСУДАРСТВЕННЫХ ИНФОРМАЦИОННЫХ СИСТЕМ В СФЕРЕ
ЗДРАВООХРАНЕНИЯ, ОБЕСПЕЧИВАЮЩИХ ВЗАИМОДЕЙСТВИЕ С ЕДИНОЙ
ГОСУДАРСТВЕННОЙ ИНФОРМАЦИОННОЙ СИСТЕМОЙ В СФЕРЕ
ЗДРАВООХРАНЕНИЯ, В МЕДИЦИНСКИХ ОРГАНИЗАЦИЯХ
ГОСУДАРСТВЕННОЙ СИСТЕМЫ ЗДРАВООХРАНЕНИЯ
1. Настоящие Правила устанавливают цели, порядок и условия предоставления и распределения субсидий из федерального бюджета бюджетам Донецкой Народной Республики, Луганской Народной Республики, Запорожской области и Херсонской области (далее - субъект Российской Федерации) в целях софинансирования расходных обязательств субъектов Российской Федерации по финансовому обеспечению при реализации мероприятий по созданию единого цифрового контура в здравоохранении, внедрению медицинских информационных систем и государственных информационных систем в сфере здравоохранения, обеспечивающих взаимодействие с единой государственной информационной системой в сфере здравоохранения, в медицинских организациях государственной системы здравоохранения (далее соответственно - медицинские организации, субсидии).
2. Создание единого цифрового контура в здравоохранении, внедрение медицинских информационных систем и государственных информационных систем в сфере здравоохранения, обеспечивающих взаимодействие с единой государственной информационной системой в сфере здравоохранения, в медицинских организациях предусматривают осуществление государственных и муниципальных закупок товаров, выполнение работ, оказание услуг по следующим направлениям:
а) услуги по проведению проектных и изыскательских работ в медицинских организациях субъектов Российской Федерации, результатом которых являются проектные решения, разработанные в целях создания телекоммуникационной инфраструктуры и системы защиты информации для внедрения медицинской информационной системы, в том числе при проведении совместных закупок;
б) создание структурированных кабельных систем (включая оснащение серверных помещений инженерной инфраструктурой), локально-вычислительных сетей и систем защиты информации в соответствии с проектными решениями для каждого здания медицинской организации субъектов Российской Федерации, в том числе при проведении совместных закупок;
в) закупка информационных терминалов, компьютерной техники (в том числе моноблоков, ноутбуков и планшетных компьютеров), оргтехники, сетевого и телекоммуникационного оборудования, источников бесперебойного питания для создания и функционирования автоматизированных рабочих мест медицинских работников, подключаемых к медицинским информационным системам, взаимодействующим с государственными информационными системами в сфере здравоохранения субъектов Российской Федерации, в том числе при проведении совместных закупок;
г) закупка программно-аппаратных средств электронной цифровой подписи для врачей, в том числе при проведении совместных закупок;
д) услуги по разработке медицинских информационных систем и государственных информационных систем в сфере здравоохранения субъектов Российской Федерации (программного обеспечения), приобретение неисключительных (исключительных) прав на медицинские информационные системы, внедрение медицинских информационных систем для обеспечения взаимодействия с государственными информационными системами в сфере здравоохранения субъектов Российской Федерации, единой государственной информационной системой в сфере здравоохранения, а также для межведомственного электронного взаимодействия в установленном порядке, в том числе при проведении совместных закупок;
е) оснащение медицинских организаций субъектов Российской Федерации программными и программно-аппаратными комплексами информационной безопасности (в том числе криптографическими средствами защиты информации), в том числе при проведении совместных закупок;
ж) услуги по информационной безопасности (включая услуги по аттестации в соответствии с требованиями законодательства Российской Федерации по информационной безопасности), в том числе при проведении совместных закупок;
з) услуги по подключению медицинских организаций к защищенной сети передачи данных субъектов Российской Федерации, в том числе при проведении совместных закупок;
и) услуги по подключению лабораторного и диагностического оборудования для обеспечения обработки информации государственными информационными системами в сфере здравоохранения субъектов Российской Федерации, в том числе при проведении совместных закупок;
к) услуги по предоставлению вычислительных мощностей, необходимого программного обеспечения и средств защиты информации для обеспечения защищенной бесперебойной работы государственных информационных систем в сфере здравоохранения субъектов Российской Федерации, в том числе при проведении совместных закупок.
3. При осуществлении государственных и муниципальных закупок товаров, выполнении работ, оказании услуг, указанных в пункте 2 настоящих Правил, необходимо соблюдать требования нормативных правовых актов Российской Федерации, в том числе:
а) Указа Президента Российской Федерации от 30 марта 2022 г. N 166 "О мерах по обеспечению технологической независимости и безопасности критической информационной инфраструктуры Российской Федерации";
б) Указа Президента Российской Федерации от 1 мая 2022 г. N 250 "О дополнительных мерах по обеспечению информационной безопасности Российской Федерации";
в) постановления Правительства Российской Федерации от 16 ноября 2015 г. N 1236 "Об установлении запрета на допуск программного обеспечения, происходящего из иностранных государств, для целей осуществления закупок для обеспечения государственных и муниципальных нужд";
г) постановления Правительства Российской Федерации от 10 июля 2019 г. N 878 "О мерах стимулирования производства радиоэлектронной продукции на территории Российской Федерации при осуществлении закупок товаров, работ, услуг для обеспечения государственных и муниципальных нужд, о внесении изменений в постановление Правительства Российской Федерации от 16 сентября 2016 г. N 925 и признании утратившими силу некоторых актов Правительства Российской Федерации";
д) постановления Правительства Российской Федерации от 14 ноября 2023 г. N 1912 "О порядке перехода субъектов критической информационной инфраструктуры Российской Федерации на преимущественное применение доверенных программно-аппаратных комплексов на принадлежащих им значимых объектах критической информационной инфраструктуры Российской Федерации".
4. Субсидии предоставляются в пределах лимитов бюджетных обязательств, доведенных до Министерства здравоохранения Российской Федерации как получателя средств федерального бюджета на предоставление субсидий на цели, указанные в пункте 1 настоящих Правил.
5. Критериями отбора субъекта Российской Федерации для предоставления субсидии является:
а) отсутствие государственной информационной системы в сфере здравоохранения у субъекта Российской Федерации;
б) отсутствие информационного взаимодействия медицинских организаций государственной и муниципальной систем здравоохранения субъекта Российской Федерации с подсистемами государственной информационной системы в сфере здравоохранения.
6. Субсидии предоставляются на основании соглашений о предоставлении субсидий из федерального бюджета бюджету субъекта Российской Федерации, заключенных между Министерством здравоохранения Российской Федерации и высшими исполнительными органами субъектов Российской Федерации с использованием государственной интегрированной информационной системы управления общественными финансами "Электронный бюджет" в соответствии с типовой формой соглашения, утвержденной Министерством финансов Российской Федерации (далее - соглашение).
7. Условиями предоставления субсидии являются:
а) наличие правового акта субъекта Российской Федерации, утверждающего перечень мероприятий (результатов), при реализации которых возникают расходные обязательства субъекта Российской Федерации, в целях софинансирования которых предоставляется субсидия;
б) наличие в бюджете субъекта Российской Федерации бюджетных ассигнований на исполнение расходного обязательства субъекта Российской Федерации, софинансирование которого осуществляется из федерального бюджета, в объеме, необходимом для его исполнения, включающем размер планируемой к предоставлению из федерального бюджета субсидии, если иное не установлено актами Президента Российской Федерации или Правительства Российской Федерации;
в) заключение соглашения в соответствии с пунктом 10 Правил формирования, предоставления и распределения субсидий из федерального бюджета бюджетам субъектов Российской Федерации, утвержденных постановлением Правительства Российской Федерации от 30 сентября 2014 г. N 999 "О формировании, предоставлении и распределении субсидий из федерального бюджета бюджетам субъектов Российской Федерации" (далее - Правила формирования, предоставления и распределения субсидий).
8. Утратил силу. - Постановление Правительства РФ от 29.12.2025 N 2199.
(см. текст в предыдущей редакции)
9. Субсидии перечисляются в установленном порядке на единые счета бюджетов, открытые финансовым органам субъектов Российской Федерации в территориальных органах Федерального казначейства.
10. Исполнительный орган субъекта Российской Федерации, уполномоченный высшим исполнительным органом субъекта Российской Федерации, в порядке и сроки, которые установлены соглашением, представляет с использованием государственной интегрированной информационной системы управления общественными финансами "Электронный бюджет" отчет о расходах бюджета субъекта Российской Федерации, в целях софинансирования которых предоставляется субсидия, а также отчет о достижении значения результата использования субсидии.
11. Размер субсидии из федерального бюджета, предоставляемой бюджету i-го субъекта Российской Федерации (Si), определяется по формуле:
Li - предельный уровень софинансирования расходного обязательства субъекта Российской Федерации из федерального бюджета, определяемый в соответствии с пунктом 13 Правил формирования, предоставления и распределения субсидий, процентов;
Sобщ - общий объем бюджетных ассигнований, предусмотренных в федеральном бюджете на предоставление субсидий на соответствующий финансовый год, тыс. рублей;
n - количество субъектов Российской Федерации - получателей субсидий.
12. Расчетный коэффициент (Kri) определяется по формуле:
k - коэффициент выравнивания, принимающий значение 0,25;
Hi - базовый показатель численности населения в 2022 году, приведенный в приложении N 1 к программе социально-экономического развития Донецкой Народной Республики, Луганской Народной Республики, Запорожской области и Херсонской области, утвержденной распоряжением Правительства Российской Федерации от 21 апреля 2023 г. N 1019-р.
13. Результатом использования субсидии для мероприятий, предусмотренных пунктом 2 настоящих Правил, является количество медицинских организаций, в которых внедрены медицинские информационные системы и государственные информационные системы в сфере здравоохранения, обеспечивающие взаимодействие с единой государственной информационной системой в сфере здравоохранения.
14. Оценка эффективности использования субсидий осуществляется Министерством здравоохранения Российской Федерации путем сравнения установленного соглашением планового значения результата использования субсидий и фактически достигнутого значения результата использования субсидии.
15. Объем бюджетных ассигнований бюджета субъекта Российской Федерации на финансовое обеспечение расходных обязательств субъекта Российской Федерации, в целях софинансирования которых предоставляется субсидия, утверждается законом субъекта Российской Федерации о бюджете субъекта Российской Федерации (определяется сводной бюджетной росписью бюджета субъекта Российской Федерации) исходя из необходимости достижения установленного соглашением значения результата использования субсидии.
16. Объем бюджетных ассигнований бюджета субъекта Российской Федерации на финансовое обеспечение расходных обязательств субъекта Российской Федерации, в целях софинансирования которых предоставляется субсидия, может быть увеличен в одностороннем порядке субъектом Российской Федерации, что не влечет за собой обязательств Российской Федерации по увеличению размера субсидии.
17. Порядок и условия возврата средств из бюджета субъекта Российской Федерации в федеральный бюджет в случае нарушения субъектом Российской Федерации обязательств, предусмотренных соглашением в соответствии с подпунктами "б(1)" и "в" пункта 10 Правил формирования, предоставления и распределения субсидий, а также основания для освобождения субъекта Российской Федерации от применения мер финансовой ответственности установлены пунктами 16 - 20 Правил формирования, предоставления и распределения субсидий.
18. В случае нарушения целей, установленных при предоставлении субсидии, применяются бюджетные меры принуждения, предусмотренные бюджетным законодательством Российской Федерации.
19. Ответственность за достоверность представляемых в Министерство здравоохранения Российской Федерации информации и документов, которые предусмотрены настоящими Правилами, возлагается на высший исполнительный орган субъекта Российской Федерации.
20. Контроль за соблюдением субъектами Российской Федерации условий предоставления субсидий осуществляется Министерством здравоохранения Российской Федерации и уполномоченными органами государственного финансового контроля.
к государственной программе
Российской Федерации
"Развитие здравоохранения"
ПРЕДОСТАВЛЕНИЯ И РАСПРЕДЕЛЕНИЯ СУБСИДИЙ ИЗ ФЕДЕРАЛЬНОГО
БЮДЖЕТА БЮДЖЕТАМ СУБЪЕКТОВ РОССИЙСКОЙ ФЕДЕРАЦИИ В ЦЕЛЯХ
СОФИНАНСИРОВАНИЯ РАСХОДНЫХ ОБЯЗАТЕЛЬСТВ СУБЪЕКТОВ РОССИЙСКОЙ
ФЕДЕРАЦИИ, ВОЗНИКАЮЩИХ ПРИ РЕАЛИЗАЦИИ МЕРОПРИЯТИЙ
ПО СОЗДАНИЮ ЖЕНСКИХ КОНСУЛЬТАЦИЙ, В ТОМ ЧИСЛЕ В СОСТАВЕ
ДРУГИХ ОРГАНИЗАЦИЙ, ДЛЯ ОКАЗАНИЯ МЕДИЦИНСКОЙ ПОМОЩИ
ЖЕНЩИНАМ, В ТОМ ЧИСЛЕ ПРОЖИВАЮЩИМ В СЕЛЬСКОЙ МЕСТНОСТИ,
ПОСЕЛКАХ ГОРОДСКОГО ТИПА И МАЛЫХ ГОРОДАХ
1. Настоящие Правила устанавливают цели, порядок и условия предоставления и распределения субсидий из федерального бюджета бюджетам субъектов Российской Федерации в целях софинансирования расходных обязательств субъектов Российской Федерации, возникающих при реализации мероприятий по созданию женских консультаций, в том числе в составе других организаций, для оказания медицинской помощи женщинам, в том числе проживающим в сельской местности, поселках городского типа, малых городах, обеспечивающих достижение целей, показателей и результатов федерального проекта "Охрана материнства и детства" национального проекта "Семья" (далее - субсидии).
2. Субсидии предоставляются для расширения сети женских консультаций в субъектах Российской Федерации путем:
а) создания с использованием стандартных модульных конструкций и оснащения медицинскими изделиями в соответствии с порядком оказания медицинской помощи по профилю "акушерство и гинекология", утвержденным Министерством здравоохранения Российской Федерации, женских консультаций для оказания медицинской помощи женщинам, в том числе проживающим в сельской местности, поселках городского типа, малых городах (с учетом того, что при эквивалентных технологических характеристиках медицинских изделий предпочтение рекомендуется отдавать медицинским изделиям российских производителей), в том числе путем проведения совместных закупок;
б) создания и оснащения медицинскими изделиями в соответствии с порядком оказания медицинской помощи по профилю "акушерство и гинекология", утвержденным Министерством здравоохранения Российской Федерации, женских консультаций на базе существующих медицинских организаций для оказания медицинской помощи женщинам, в том числе проживающим в сельской местности, поселках городского типа, малых городах (с учетом того, что при эквивалентных технологических характеристиках медицинских изделий предпочтение рекомендуется отдавать медицинским изделиям российских производителей), в том числе путем проведения совместных закупок.
3. Субсидии предоставляются в пределах лимитов бюджетных обязательств, доведенных до Министерства здравоохранения Российской Федерации как получателя средств федерального бюджета на предоставление субсидий на цели, указанные в пункте 2 настоящих Правил.
4. Критерием отбора субъекта Российской Федерации для предоставления субсидии является наличие женского населения 18 лет и старше численностью не менее 7000 человек, проживающего в сельской местности, поселках городского типа и малых городах этого субъекта Российской Федерации (за исключением отдаленных и труднодоступных населенных пунктов).
5. Субсидии предоставляются на основании соглашения о предоставлении субсидии из федерального бюджета бюджету субъекта Российской Федерации, заключенного между Министерством здравоохранения Российской Федерации и высшим исполнительным органом субъекта Российской Федерации с использованием государственной интегрированной информационной системы управления общественными финансами "Электронный бюджет" в соответствии с типовой формой, утвержденной Министерством финансов Российской Федерации (далее - соглашение).
6. Условиями предоставления субсидии являются:
а) наличие правовых актов субъекта Российской Федерации, утверждающих перечень мероприятий (результатов), при реализации которых возникают расходные обязательства субъекта Российской Федерации, в целях софинансирования которых предоставляется субсидия;
б) наличие в бюджете субъекта Российской Федерации бюджетных ассигнований на исполнение расходных обязательств субъекта Российской Федерации, в целях софинансирования которых предоставляется субсидия, в объеме, необходимом для их исполнения, включающем размер планируемой к предоставлению из федерального бюджета субсидии, если иное не установлено актами Президента Российской Федерации или Правительства Российской Федерации;
в) заключение соглашения в соответствии с пунктом 10 Правил формирования, предоставления и распределения субсидий из федерального бюджета бюджетам субъектов Российской Федерации, утвержденных постановлением Правительства Российской Федерации от 30 сентября 2014 г. N 999 "О формировании, предоставлении и распределении субсидий из федерального бюджета бюджетам субъектов Российской Федерации" (далее - Правила формирования, предоставления и распределения субсидий).
7. Утратил силу. - Постановление Правительства РФ от 29.12.2025 N 2199.
(см. текст в предыдущей редакции)
8. Размер предоставляемой бюджету i-го субъекта Российской Федерации субсидии в n-м финансовом году (Si) определяется по формуле:
Sобщ - общий объем бюджетных ассигнований, предусмотренных в федеральном бюджете на предоставление субсидий на соответствующий финансовый год, тыс. рублей;
Ssi - объем расходов, предусмотренный по отдельным решениям Президента Российской Федерации, Председателя Правительства Российской Федерации, куратора национального проекта "Семья" i-му субъекту Российской Федерации, тыс. рублей;
Pi - потребность в получении услуг, предоставляемых женскими консультациями в сельской местности, поселках городского типа и малых городах;
Li - предельный уровень софинансирования расходного обязательства i-го субъекта Российской Федерации из федерального бюджета на очередной финансовый год в соответствии с пунктом 13(1.1) Правил формирования, предоставления и распределения субсидий, процентов.
Указанный расчет производится однократно при формировании проекта федерального закона о федеральном бюджете на очередной финансовый год и плановый период. В ходе исполнения федерального бюджета объемы субсидий по конкретным субъектам Российской Федерации могут быть уточнены в установленном Правительством Российской Федерации порядке.
9. Расчет показателя Pi проводится с учетом факторов, характеризующих развитие медицинской помощи женщинам в субъектах Российской Федерации, и определяется по формуле:
Bi - показатель, характеризующий востребованность оказания специализированной помощи женщинам в женских консультациях и акушерско-гинекологических кабинетах в сельской местности в субъекте Российской Федерации, условных единиц;
Di - количество жительниц сельской местности 18 лет и старше, проживающих в субъекте Российской Федерации, которые будут обеспечены медицинской помощью в новых женских консультациях, согласно данным территориального планирования субъекта Российской Федерации, человек;
G23i - количество женских консультаций на 2 или 3 кабинета акушера-гинеколога (до 4 или до 6 врачебных участков), которые будут открыты на базе существующих медицинских организаций, согласно данным территориального планирования субъекта Российской Федерации, единиц;
G4i - количество женских консультаций на 4 кабинета акушера-гинеколога (до 8 врачебных участков), которые будут открыты на базе существующих медицинских организаций, согласно данным территориального планирования субъекта Российской Федерации, единиц;
M23i - количество новых (модульных) женских консультаций на 2 или 3 кабинета акушера-гинеколога (до 4 или до 6 врачебных участков), которые будут построены, согласно данным территориального планирования субъекта Российской Федерации, единиц;
M4i - количество новых (модульных) женских консультаций на 4 кабинета акушера-гинеколога (до 8 врачебных участков), которые будут построены, согласно данным территориального планирования субъекта Российской Федерации, единиц;
f(Di) - коэффициент, учитывающий потребность i-го субъекта Российской Федерации в создании новой женской консультации в сельской местности, поселках городского типа, а также малых городах. При этом f(Di) = 1, если Di > 0, f(Di) = 0, если Di = 0.
10. Востребованность оказания специализированной помощи женщинам в женских консультациях и акушерско-гинекологических кабинетах в сельской местности в i-м субъекте Российской Федерации (Bi) рассчитывается по формуле:
Wsi - число жительниц сельской местности 18 лет и старше, проживающих в i-м субъекте Российской Федерации, в соответствии с данными государственной информационной системы "Цифровая аналитическая платформа предоставления статистических данных", человек;
Psi - количество посещений врачей акушеров-гинекологов в сельской местности в i-м субъекте Российской Федерации в соответствии с формой федерального статистического наблюдения N 30 "Сведения о медицинской организации" за год, предшествующий отчетному году, единиц.
11. Территориальные органы Федеральной службы по надзору в сфере здравоохранения осуществляют оценку технического задания на закупаемые за счет средств федерального бюджета в рамках реализации мероприятий, предусмотренных пунктом 2 настоящих Правил, медицинские изделия на предмет соответствия стандартам оснащения медицинских организаций (их структурных подразделений), предусмотренным положениями об организации оказания медицинской помощи по соответствующим видам медицинской помощи, порядкам оказания медицинской помощи, утвержденным Министерством здравоохранения Российской Федерации, типовым техническим заданиям, разрабатываемым главными внештатными специалистами Министерства здравоохранения Российской Федерации совместно с Федеральной службой по надзору в сфере здравоохранения, а также начальной (максимальной) цены контракта на закупку указанных медицинских изделий на предмет соответствия средневзвешенным ценам по указанному виду медицинских изделий за период не менее 6 месяцев, предшествующих месяцу расчета.
12. Субсидии перечисляются в установленном порядке на единые счета бюджетов, открытые финансовым органам субъектов Российской Федерации в территориальных органах Федерального казначейства.
13. Исполнительный орган субъекта Российской Федерации, уполномоченный высшим исполнительным органом субъекта Российской Федерации, в порядке и сроки, которые установлены соглашением, представляет с использованием государственной интегрированной информационной системы управления общественными финансами "Электронный бюджет" отчетность о расходах бюджета субъекта Российской Федерации, в целях софинансирования которых предоставляется субсидия, а также отчетность о достижении значений результата использования субсидии.
14. Объем бюджетных ассигнований бюджета субъекта Российской Федерации на финансовое обеспечение расходных обязательств субъекта Российской Федерации, в целях софинансирования которых предоставляется субсидия, утверждается законом субъекта Российской Федерации о бюджете субъекта Российской Федерации (определяется сводной бюджетной росписью бюджета субъекта Российской Федерации) исходя из необходимости достижения установленных в соглашении значений результата использования субсидии.
15. Оценка эффективности использования субсидий осуществляется Министерством здравоохранения Российской Федерации путем сравнения установленных соглашением плановых значений результата использования субсидии и фактически достигнутых значений результата использования субсидии.
16. В соглашении предусматриваются следующие обязательства субъекта Российской Федерации:
а) создание с использованием стандартных модульных конструкций и оснащение медицинскими изделиями женских консультаций осуществляются при наличии необходимого количества медицинских и иных работников, обладающих соответствующей квалификацией;
б) при оснащении медицинскими изделиями субъект Российской Федерации обеспечивает реализацию мероприятий по подготовке в женских консультациях, создаваемых на базе существующих медицинских организаций, помещений для установки оборудования с учетом требований безопасности в соответствии с законодательством Российской Федерации;
в) утратил силу. - Постановление Правительства РФ от 29.12.2025 N 2199;
(см. текст в предыдущей редакции)
г) обеспечение своевременного проведения мероприятий по развитию транспортной инфраструктуры, приоритетному ремонту и строительству автомобильных дорог регионального и местного значения для обеспечения транспортной доступности новых женских консультаций, создаваемых в соответствии с пунктом 2 настоящих Правил.
17. Результатом использования субсидии для мероприятий, предусмотренных пунктом 2 настоящих Правил, является количество созданных в субъектах Российской Федерации женских консультаций, в том числе в составе других организаций, для оказания медицинской помощи женщинам, в том числе проживающим в сельской местности, поселках городского типа, малых городах.
18. Порядок и условия возврата средств из бюджета субъекта Российской Федерации в федеральный бюджет в случае нарушения субъектом Российской Федерации обязательств, предусмотренных соглашением в соответствии с подпунктами "б(1)" и "в" пункта 10 Правил формирования, предоставления и распределения субсидий, а также основания для освобождения субъекта Российской Федерации от применения мер финансовой ответственности установлены пунктами 16 - 20 Правил формирования, предоставления и распределения субсидий.
19. Ответственность за достоверность представляемых в Министерство здравоохранения Российской Федерации информации и документов, которые предусмотрены настоящими Правилами, возлагается на высший исполнительный орган субъекта Российской Федерации.
20. В случае нарушения целей, установленных при предоставлении субсидии, применяются бюджетные меры принуждения, предусмотренные бюджетным законодательством Российской Федерации.
21. Контроль за соблюдением условий предоставления субсидий осуществляется Министерством здравоохранения Российской Федерации и уполномоченными органами государственного финансового контроля.
22. Контроль за реализацией субъектами Российской Федерации мероприятий, реализуемых в соответствии с пунктом 2 настоящих Правил, осуществляется Федеральной службой по надзору в сфере здравоохранения.
к государственной программе
Российской Федерации
"Развитие здравоохранения"
ПРЕДОСТАВЛЕНИЯ И РАСПРЕДЕЛЕНИЯ СУБСИДИЙ
ИЗ ФЕДЕРАЛЬНОГО БЮДЖЕТА БЮДЖЕТАМ СУБЪЕКТОВ РОССИЙСКОЙ
ФЕДЕРАЦИИ В ЦЕЛЯХ СОФИНАНСИРОВАНИЯ РАСХОДНЫХ ОБЯЗАТЕЛЬСТВ
СУБЪЕКТОВ РОССИЙСКОЙ ФЕДЕРАЦИИ ПО ФИНАНСОВОМУ ОБЕСПЕЧЕНИЮ
РЕАЛИЗАЦИИ МЕРОПРИЯТИЙ ПО ОСНАЩЕНИЮ РЕГИОНАЛЬНЫХ,
МЕЖРАЙОННЫХ (РАЙОННЫХ) ЦЕНТРОВ, ОКАЗЫВАЮЩИХ МЕДИЦИНСКУЮ
ПОМОЩЬ БОЛЬНЫМ С НАРУШЕНИЯМИ УГЛЕВОДНОГО ОБМЕНА
И САХАРНЫМ ДИАБЕТОМ В РАМКАХ ФЕДЕРАЛЬНОГО
ПРОЕКТА "БОРЬБА С САХАРНЫМ ДИАБЕТОМ"
1. Настоящие Правила устанавливают цели, порядок и условия предоставления и распределения субсидий из федерального бюджета бюджетам субъектов Российской Федерации в целях софинансирования расходных обязательств субъектов Российской Федерации по финансовому обеспечению реализации мероприятий по оснащению региональных, межрайонных (районных) центров, оказывающих медицинскую помощь больным с нарушениями углеводного обмена и сахарным диабетом, в медицинских организациях, подведомственных исполнительным органам субъектов Российской Федерации, в рамках федерального проекта "Борьба с сахарным диабетом" (далее соответственно - субсидии, медицинские организации, федеральный проект).
2. Для целей настоящих Правил под оснащением региональных, межрайонных (районных) центров, оказывающих медицинскую помощь больным с нарушениями углеводного обмена и сахарным диабетом, в медицинских организациях понимается оснащение вновь созданных (имеющихся) региональных, межрайонных (районных) центров в медицинских организациях медицинскими изделиями и прочим оборудованием (далее - немедицинское оборудование) по перечню, утвержденному Министерством здравоохранения Российской Федерации, в соответствии со стандартами оснащения медицинских организаций (их структурных подразделений), предусмотренными положениями об организации оказания медицинской помощи по видам медицинской помощи, порядками оказания медицинской помощи, правилами проведения лабораторных, инструментальных, патолого-анатомических и иных видов диагностических исследований, утвержденными Министерством здравоохранения Российской Федерации, с учетом того, что при эквивалентных технологических характеристиках медицинских изделий и немедицинского оборудования предпочтение рекомендуется отдавать медицинским изделиям и немедицинскому оборудованию российских производителей, в том числе путем проведения совместных закупок.
3. Субсидии предоставляются бюджетам субъектов Российской Федерации в пределах лимитов бюджетных обязательств, доведенных в установленном порядке до Министерства здравоохранения Российской Федерации как получателя средств федерального бюджета на предоставление субсидий на цели, указанные в пункте 2 настоящих Правил.
4. Критериями отбора субъекта Российской Федерации для предоставления субсидии являются:
а) наличие в субъекте Российской Федерации медицинских организаций, оказывающих (планирующих оказывать) медицинскую помощь больным с нарушениями углеводного обмена и сахарным диабетом;
б) наличие в медицинских организациях, оказывающих (планирующих оказывать) медицинскую помощь больным с нарушениями углеводного обмена и сахарным диабетом, помещений, соответствующих установленным требованиям для обеспечения эксплуатации приобретаемых медицинских изделий.
5. Субсидия предоставляется на основании соглашения о предоставлении субсидии из федерального бюджета бюджету субъекта Российской Федерации, заключенного между Министерством здравоохранения Российской Федерации и высшим исполнительным органом субъекта Российской Федерации с использованием государственной интегрированной информационной системы управления общественными финансами "Электронный бюджет" в соответствии с типовой формой, утвержденной Министерством финансов Российской Федерации (далее - соглашение).
6. Условиями предоставления субсидии являются:
а) наличие правового акта субъекта Российской Федерации, утверждающего перечень мероприятий (результатов), при реализации которых возникают расходные обязательства субъекта Российской Федерации, в целях софинансирования которых предоставляется субсидия, в соответствии с требованиями нормативных правовых актов Российской Федерации;
б) наличие в бюджете субъекта Российской Федерации бюджетных ассигнований на исполнение расходных обязательств субъекта Российской Федерации, софинансирование которых осуществляется из федерального бюджета, в объеме, необходимом для их исполнения;
в) заключение соглашения в соответствии с пунктом 10 Правил формирования, предоставления и распределения субсидий из федерального бюджета бюджетам субъектов Российской Федерации, утвержденных постановлением Правительства Российской Федерации от 30 сентября 2014 г. N 999 "О формировании, предоставлении и распределении субсидий из федерального бюджета бюджетам субъектов Российской Федерации" (далее - Правила формирования, предоставления и распределения субсидий).
7. Утратил силу. - Постановление Правительства РФ от 29.12.2025 N 2199.
(см. текст в предыдущей редакции)
8. Субсидии перечисляются в установленном порядке на единые счета бюджетов, открытые финансовым органам субъектов Российской Федерации в территориальных органах Федерального казначейства.
9. Исполнительный орган субъекта Российской Федерации, уполномоченный высшим исполнительным органом субъекта Российской Федерации, в порядке и сроки, которые установлены соглашением, представляет с использованием государственной интегрированной информационной системы управления общественными финансами "Электронный бюджет" отчетность о расходах бюджета субъекта Российской Федерации, в целях софинансирования которых предоставляется субсидия, а также отчетность о достижении значений результата использования субсидии.
10. Оценка эффективности использования субсидии осуществляется Министерством здравоохранения Российской Федерации путем сравнения установленных соглашением значений результата использования субсидии и фактически достигнутых значений результата использования субсидии.
11. Результатом использования субсидии является количество оснащенных региональных, межрайонных (районных) центров, оказывающих медицинскую помощь больным с нарушениями углеводного обмена и сахарным диабетом, в медицинских организациях медицинскими изделиями и немедицинским оборудованием.
Региональные, межрайонные (районные) центры, оказывающие медицинскую помощь больным с нарушениями углеводного обмена и сахарным диабетом, в медицинских организациях признаются оснащенными в отчетном году при условии ввода в эксплуатацию всех единиц медицинских изделий и немедицинского оборудования, которыми планировалось оснастить региональные, межрайонные (районные) центры, оказывающие медицинскую помощь больным с нарушениями углеводного обмена и сахарным диабетом.
12. Размер предоставляемой бюджету i-го субъекта Российской Федерации субсидии (Vi) определяется по формуле:
Vобщ - общий объем бюджетных ассигнований, предусмотренных в федеральном бюджете на предоставление субсидий, тыс. рублей;
Ei - поправочный коэффициент для i-го субъекта Российской Федерации, применяемый в целях обеспечения достижения уровня расходов инвестиционного характера государственных программ Российской Федерации, направляемых на реализацию соответствующих мероприятий в субъектах Российской Федерации, входящих в состав Дальневосточного федерального округа, на уровне не менее 7,2 процента общей суммы расходов;
Ri - количество региональных эндокринологических центров, оснащаемых в i-м субъекте Российской Федерации в году предоставления субсидии, из числа региональных, межрайонных (районных) центров, оказывающих медицинскую помощь больным с нарушением углеводного обмена и сахарным диабетом, соответствующих значению результата "Оснащены региональные, межрайонные (районные) центры, оказывающие медицинскую помощь больным с нарушением углеводного обмена и сахарным диабетом", установленному паспортом федерального проекта на год предоставления субсидии, единиц;
Mi - количество межрайонных (районных) эндокринологических центров, оснащаемых в i-м субъекте Российской Федерации в году предоставления субсидии, из числа региональных, межрайонных (районных) центров, оказывающих медицинскую помощь больным с нарушением углеводного обмена и сахарным диабетом, соответствующих значению результата "Оснащены региональные, межрайонные (районные) центры, оказывающие медицинскую помощь больным с нарушением углеводного обмена и сахарным диабетом", установленному паспортом федерального проекта на год предоставления субсидии, единиц;
Fi - поправочный коэффициент, корректирующий размер субсидии бюджету i-го субъекта Российской Федерации в зависимости от уровня расчетной бюджетной обеспеченности субъекта Российской Федерации на год предоставления субсидии;
Li - предельный уровень софинансирования расходного обязательства i-го субъекта Российской Федерации из федерального бюджета, определяемый в соответствии с пунктом 13(1.1) Правил формирования, предоставления и распределения субсидий, процентов;
n - количество субъектов Российской Федерации - получателей субсидий.
13. Поправочный коэффициент для i-го субъекта Российской Федерации, применяемый в целях обеспечения достижения уровня расходов инвестиционного характера государственных программ Российской Федерации, направляемых на реализацию соответствующих мероприятий в субъектах Российской Федерации, входящих в состав Дальневосточного федерального округа, на уровне не менее 7,2 процента общей суммы расходов (Ei), принимается равным 1 в случае, если
, где m - количество субъектов Российской Федерации - получателей субсидий, входящих в состав Дальневосточного федерального округа. В случае если
.
Для субъектов Российской Федерации, не входящих в состав Дальневосточного федерального округа, поправочный коэффициент (Ei) принимается равным 1.
14. Поправочный коэффициент, корректирующий размер субсидии бюджету i-го субъекта Российской Федерации в зависимости от уровня расчетной бюджетной обеспеченности субъекта Российской Федерации на год предоставления субсидии (Fi), принимается равным:
0,8 - при величине уровня расчетной бюджетной обеспеченности субъекта Российской Федерации более или равной 1,2;
0,9 - при величине уровня расчетной бюджетной обеспеченности субъекта Российской Федерации менее 1,2, но более 1;
1 - при величине уровня расчетной бюджетной обеспеченности субъекта Российской Федерации равной или менее 1.
15. В течение финансового года размер субсидии, предоставляемой бюджету i-го субъекта Российской Федерации, может быть изменен на основании решения Правительства Российской Федерации с соответствующим изменением общего объема бюджетных ассигнований, предусмотренных в федеральном бюджете на предоставление субсидии, в порядке, установленном бюджетным законодательством Российской Федерации.
16. Объем бюджетных ассигнований бюджета субъекта Российской Федерации на финансовое обеспечение расходных обязательств субъекта Российской Федерации, в целях софинансирования которых предоставляется субсидия, утверждается законом субъекта Российской Федерации о бюджете субъекта Российской Федерации (определяется сводной бюджетной росписью бюджета субъекта Российской Федерации) исходя из необходимости достижения установленных соглашением значений результата использования субсидии.
17. Объем бюджетных ассигнований бюджета субъекта Российской Федерации на финансовое обеспечение расходных обязательств субъекта Российской Федерации, в целях софинансирования которых предоставляется субсидия, может быть увеличен в одностороннем порядке субъектом Российской Федерации, что не влечет за собой обязательств Российской Федерации по увеличению размера субсидии.
18. Порядок и условия возврата средств из бюджета субъекта Российской Федерации в федеральный бюджет в случае нарушения субъектом Российской Федерации обязательств, предусмотренных соглашением в соответствии с подпунктами "б(1)" и "в" пункта 10 Правил формирования, предоставления и распределения субсидий, а также основания для освобождения субъекта Российской Федерации от применения мер финансовой ответственности установлены пунктами 16 - 20 Правил формирования, предоставления и распределения субсидий.
19. Ответственность за достоверность представляемых в Министерство здравоохранения Российской Федерации информации и документов, которые предусмотрены настоящими Правилами, возлагается на высший исполнительный орган субъекта Российской Федерации.
20. В случае нарушения целей, установленных при предоставлении субсидии, применяются бюджетные меры принуждения, предусмотренные бюджетным законодательством Российской Федерации.
21. Контроль за соблюдением субъектами Российской Федерации условий предоставления субсидий осуществляется Министерством здравоохранения Российской Федерации и уполномоченными органами государственного финансового контроля.
22. Контроль за реализацией субъектами Российской Федерации мероприятий, предусмотренных пунктом 2 настоящих Правил, осуществляется Федеральной службой по надзору в сфере здравоохранения.
к государственной программе
Российской Федерации
"Развитие здравоохранения"
ПРЕДОСТАВЛЕНИЯ И РАСПРЕДЕЛЕНИЯ СУБСИДИЙ
ИЗ ФЕДЕРАЛЬНОГО БЮДЖЕТА БЮДЖЕТАМ СУБЪЕКТОВ РОССИЙСКОЙ
ФЕДЕРАЦИИ В ЦЕЛЯХ СОФИНАНСИРОВАНИЯ РАСХОДНЫХ ОБЯЗАТЕЛЬСТВ
СУБЪЕКТОВ РОССИЙСКОЙ ФЕДЕРАЦИИ, ВОЗНИКАЮЩИХ ПРИ РЕАЛИЗАЦИИ
МЕРОПРИЯТИЙ ПО ОРГАНИЗАЦИИ ЦЕНТРОВ ЗДОРОВЬЯ ДЛЯ ВЗРОСЛЫХ
НА БАЗЕ ОТДЕЛЕНИЙ (КАБИНЕТОВ) МЕДИЦИНСКОЙ ПРОФИЛАКТИКИ
В ЦЕНТРАЛЬНЫХ РАЙОННЫХ И РАЙОННЫХ БОЛЬНИЦАХ, В ТОМ ЧИСЛЕ
В УДАЛЕННЫХ НАСЕЛЕННЫХ ПУНКТАХ, А ТАКЖЕ ПО ОСНАЩЕНИЮ
(ДООСНАЩЕНИЮ) ОБОРУДОВАНИЕМ ДЛЯ ВЫЯВЛЕНИЯ И КОРРЕКЦИИ
ФАКТОРОВ РИСКА РАЗВИТИЯ ХРОНИЧЕСКИХ НЕИНФЕКЦИОННЫХ
ЗАБОЛЕВАНИЙ В РАМКАХ ФЕДЕРАЛЬНОГО ПРОЕКТА
"ЗДОРОВЬЕ ДЛЯ КАЖДОГО"
1. Настоящие Правила устанавливают цели, порядок и условия предоставления и распределения субсидий из федерального бюджета бюджетам субъектов Российской Федерации в целях софинансирования расходных обязательств субъектов Российской Федерации, возникающих при реализации мероприятий по организации центров здоровья для взрослых на базе отделений (кабинетов) медицинской профилактики в центральных районных и районных больницах, в том числе в удаленных населенных пунктах, а также по оснащению (дооснащению) оборудованием для выявления и коррекции факторов риска развития хронических неинфекционных заболеваний в рамках федерального проекта "Здоровье для каждого" (далее - субсидии).
2. Субсидии предоставляются в целях софинансирования расходных обязательств субъектов Российской Федерации, возникающих при реализации следующих мероприятий:
а) оснащение (дооснащение) оборудованием для выявления и коррекции факторов риска развития хронических неинфекционных заболеваний имеющихся в субъекте Российской Федерации центров здоровья для взрослых в структуре медицинских организаций, на базе которых оказывается первичная медико-санитарная помощь (далее - центры здоровья для взрослых), по перечню, утвержденному Министерством здравоохранения Российской Федерации, в соответствии со стандартом оснащения, предусмотренным порядком организации и осуществления профилактики неинфекционных заболеваний и проведения мероприятий по формированию здорового образа жизни в медицинских организациях, утвержденным Министерством здравоохранения Российской Федерации в установленном порядке, в том числе путем проведения совместных закупок, с учетом того, что при эквивалентных технологических характеристиках медицинских изделий предпочтение рекомендуется отдавать медицинским изделиям российских производителей;
б) оснащение вновь организованных центров здоровья для взрослых на базе отделений (кабинетов) медицинской профилактики в центральных районных больницах, районных больницах, в том числе в удаленных населенных пунктах (далее - новые центры здоровья для взрослых), оборудованием по перечню, утвержденному Министерством здравоохранения Российской Федерации, в соответствии со стандартом оснащения, предусмотренным порядком организации и осуществления профилактики неинфекционных заболеваний и проведения мероприятий по формированию здорового образа жизни в медицинских организациях, утвержденном Министерством здравоохранения Российской Федерации в установленном порядке, в том числе путем проведения совместных закупок, с учетом того, что при эквивалентных технологических характеристиках медицинских изделий предпочтение рекомендуется отдавать медицинским изделиям российских производителей.
3. Субсидии предоставляются бюджетам субъектов Российской Федерации в пределах лимитов бюджетных обязательств, доведенных в установленном порядке до Министерства здравоохранения Российской Федерации как получателя средств федерального бюджета на предоставление субсидий на цели, указанные в пункте 2 настоящих Правил.
4. Критериями отбора субъекта Российской Федерации для предоставления субсидии являются:
а) наличие в субъекте Российской Федерации центров здоровья для взрослых при реализации мероприятия, предусмотренного подпунктом "а" пункта 2 настоящих Правил;
б) наличие отделения (кабинета) медицинской профилактики в структуре центральной районной больницы, районной больницы, в том числе в удаленных населенных пунктах, на базе которой организуется новый центр здоровья для взрослых, при реализации мероприятия, предусмотренного подпунктом "б" пункта 2 настоящих Правил;
в) наличие соглашения о реализации на территории субъекта Российской Федерации регионального проекта "Здоровье для каждого", заключенного в установленном порядке и действующего на период предоставления субсидии.
5. Субсидия предоставляется на основании соглашения о предоставлении субсидии из федерального бюджета бюджету субъекта Российской Федерации, заключенного между Министерством здравоохранения Российской Федерации и высшим исполнительным органом субъекта Российской Федерации, подготовленного (сформированного) с использованием государственной интегрированной информационной системы управления общественными финансами "Электронный бюджет" в соответствии с типовой формой, утвержденной Министерством финансов Российской Федерации (далее - соглашение).
Соглашение может устанавливать различные уровни софинансирования расходного обязательства субъекта Российской Федерации из федерального бюджета по отдельным мероприятиям.
6. Условиями предоставления субсидии являются:
а) наличие правового акта субъекта Российской Федерации, утверждающего перечень мероприятий (результатов), при реализации которых возникают расходные обязательства субъекта Российской Федерации, в целях софинансирования которых предоставляется субсидия, в соответствии с требованиями нормативных правовых актов Российской Федерации;
б) наличие в бюджете субъекта Российской Федерации бюджетных ассигнований на исполнение расходных обязательств субъекта Российской Федерации, софинансирование которых осуществляется из федерального бюджета, в объеме, необходимом для их исполнения, включающем размер планируемой к предоставлению из федерального бюджета субсидии, если иное не установлено актами Президента Российской Федерации или Правительства Российской Федерации;
в) заключение соглашения в соответствии с пунктом 10 Правил формирования, предоставления и распределения субсидий из федерального бюджета бюджетам субъектов Российской Федерации, утвержденных постановлением Правительства Российской Федерации от 30 сентября 2014 г. N 999 "О формировании, предоставлении и распределении субсидий из федерального бюджета бюджетам субъектов Российской Федерации" (далее - Правила формирования, предоставления и распределения субсидий).
7. В случае утверждения территориальной программы государственных гарантий бесплатного оказания гражданам медицинской помощи с дефицитом финансового обеспечения на очередной финансовый год и плановый период за счет бюджетных ассигнований бюджета субъекта Российской Федерации высшие исполнительные органы субъектов Российской Федерации при заключении соглашений предоставляют ежегодный график ликвидации дефицита финансового обеспечения такой программы.
8. Утратил силу. - Постановление Правительства РФ от 29.12.2025 N 2199.
(см. текст в предыдущей редакции)
9. Исполнительный орган субъекта Российской Федерации, уполномоченный высшим исполнительным органом субъекта Российской Федерации, в порядке и сроки, которые установлены соглашением, представляет с использованием государственной интегрированной информационной системы управления общественными финансами "Электронный бюджет" отчетность о расходах бюджета субъекта Российской Федерации, в целях софинансирования которых предоставляется субсидия, а также отчетность о достижении значений результата использования субсидии.
10. Размер предоставляемой бюджету i-го субъекта Российской Федерации субсидии (Pi) определяется по формуле:
Vi - размер субсидии, предоставляемой бюджету i-го субъекта Российской Федерации, реализующего в соответствующем финансовом году мероприятие, предусмотренное подпунктом "а" пункта 2 настоящих Правил, тыс. рублей;
Si - размер субсидии, предоставляемой бюджету i-го субъекта Российской Федерации, реализующего в соответствующем финансовом году мероприятие, предусмотренное подпунктом "б" пункта 2 настоящих Правил, тыс. рублей.
11 - 12. Утратили силу. - Постановление Правительства РФ от 29.12.2025 N 2199.
(см. текст в предыдущей редакции)
13. Субсидии перечисляются в установленном порядке на единые счета бюджетов, открытые финансовым органам субъектов Российской Федерации в территориальных органах Федерального казначейства.
14. Оценка эффективности использования субсидий осуществляется Министерством здравоохранения Российской Федерации путем сравнения установленных соглашением значений результатов использования субсидий, соответствующих результатам федерального проекта "Здоровье для каждого", и фактически достигнутых значений результатов использования субсидий.
15. Результатом использования субсидии для мероприятия, предусмотренного подпунктом "а" пункта 2 настоящих Правил, является количество центров здоровья для взрослых, оснащенных (дооснащенных) оборудованием для выявления и коррекции факторов риска развития хронических неинфекционных заболеваний.
16. Утратил силу. - Постановление Правительства РФ от 29.12.2025 N 2199.
(см. текст в предыдущей редакции)
17. Объем бюджетных ассигнований бюджета субъекта Российской Федерации на финансовое обеспечение расходных обязательств субъекта Российской Федерации, в целях софинансирования которых предоставляется субсидия, может быть увеличен в одностороннем порядке субъектом Российской Федерации, что не влечет за собой обязательств Российской Федерации по увеличению размера субсидии.
18. Объем бюджетных ассигнований бюджета субъекта Российской Федерации на финансовое обеспечение расходных обязательств субъекта Российской Федерации, в целях софинансирования которых предоставляется субсидия, утверждается законом субъекта Российской Федерации о бюджете субъекта Российской Федерации (определяется сводной бюджетной росписью бюджета субъекта Российской Федерации) исходя из необходимости достижения установленных в соглашении значений результатов использования субсидии.
19. В случае отсутствия потребности субъекта Российской Федерации в субсидии бюджетные ассигнования на предоставление субсидии могут быть перераспределены в текущем году между другими субъектами Российской Федерации, имеющими дополнительную потребность на цели, указанные в пункте 2 настоящих Правил, и отобранными проектным комитетом по национальному проекту "Продолжительная и активная жизнь".
20. Порядок и условия возврата средств из бюджета субъекта Российской Федерации в федеральный бюджет в случае нарушения субъектом Российской Федерации обязательств, предусмотренных соглашением в соответствии с подпунктами "б(1)" и "в" пункта 10 Правил формирования, предоставления и распределения субсидий, а также основания для освобождения субъекта Российской Федерации от применения мер финансовой ответственности установлены пунктами 16 - 20 Правил формирования, предоставления и распределения субсидий.
21. Ответственность за достоверность представляемых в Министерство здравоохранения Российской Федерации информации и документов, которые предусмотрены настоящими Правилами, возлагается на высший исполнительный орган субъекта Российской Федерации.
22. В случае нарушения целей, установленных при предоставлении субсидии, применяются бюджетные меры принуждения, предусмотренные бюджетным законодательством Российской Федерации.
23. Контроль за соблюдением субъектами Российской Федерации условий предоставления субсидий осуществляется Министерством здравоохранения Российской Федерации и уполномоченными органами государственного финансового контроля.
24. Контроль за реализацией субъектами Российской Федерации мероприятий, предусмотренных пунктом 2 настоящих Правил, осуществляется Федеральной службой по надзору в сфере здравоохранения.
к государственной программе
Российской Федерации
"Развитие здравоохранения"
ПРЕДОСТАВЛЕНИЯ И РАСПРЕДЕЛЕНИЯ СУБСИДИЙ
ИЗ ФЕДЕРАЛЬНОГО БЮДЖЕТА БЮДЖЕТАМ СУБЪЕКТОВ
РОССИЙСКОЙ ФЕДЕРАЦИИ В ЦЕЛЯХ СОФИНАНСИРОВАНИЯ РАСХОДНЫХ
ОБЯЗАТЕЛЬСТВ СУБЪЕКТОВ РОССИЙСКОЙ ФЕДЕРАЦИИ, ВОЗНИКАЮЩИХ
ПРИ РЕАЛИЗАЦИИ РЕГИОНАЛЬНЫХ ПРОЕКТОВ, ОБЕСПЕЧИВАЮЩИХ
ДОСТИЖЕНИЕ ЦЕЛЕЙ, РЕЗУЛЬТАТОВ И ПОКАЗАТЕЛЕЙ ФЕДЕРАЛЬНОГО
ПРОЕКТА "СОВЕРШЕНСТВОВАНИЕ ЭКСТРЕННОЙ МЕДИЦИНСКОЙ ПОМОЩИ",
ВХОДЯЩЕГО В СОСТАВ НАЦИОНАЛЬНОГО ПРОЕКТА "ПРОДОЛЖИТЕЛЬНАЯ
И АКТИВНАЯ ЖИЗНЬ", ПОСРЕДСТВОМ ЗАКУПКИ АВИАЦИОННЫХ РАБОТ
В ЦЕЛЯХ ОКАЗАНИЯ МЕДИЦИНСКОЙ ПОМОЩИ (СКОРОЙ, В ТОМ ЧИСЛЕ
СКОРОЙ СПЕЦИАЛИЗИРОВАННОЙ, МЕДИЦИНСКОЙ ПОМОЩИ)
1. Настоящие Правила устанавливают цели, порядок и условия предоставления и распределения субсидий из федерального бюджета бюджетам субъектов Российской Федерации в целях софинансирования расходных обязательств субъектов Российской Федерации, возникающих при реализации региональных проектов, обеспечивающих достижение целей, результатов и показателей федерального проекта "Совершенствование экстренной медицинской помощи", входящего в состав национального проекта "Продолжительная и активная жизнь", посредством закупки авиационных работ в целях оказания медицинской помощи (скорой, в том числе скорой специализированной, медицинской помощи) (далее соответственно - федеральный проект, субсидии).
Под авиационными работами в целях оказания медицинской помощи (скорой, в том числе скорой специализированной, медицинской помощи) в настоящих Правилах понимаются авиационные работы, выполняемые с использованием воздушных судов гражданской авиации для оказания скорой, в том числе скорой специализированной, медицинской помощи выездными бригадами скорой медицинской помощи, в том числе специализированными выездными бригадами скорой медицинской помощи (далее соответственно - воздушные суда, авиационные работы).
2. Для выполнения авиационных работ используемое воздушное судно:
а) должно быть произведено на территории Российской Федерации не ранее 1 января 2014 г. и оснащено медицинскими изделиями (оборудованием) в объеме не менее объема, установленного порядком оказания скорой, в том числе скорой специализированной, медицинской помощи, утвержденным Министерством здравоохранения Российской Федерации в соответствии с частью 2 статьи 37 Федерального закона "Об основах охраны здоровья граждан в Российской Федерации";
б) должно поддерживаться в состоянии готовности к выполнению полета в срок, не превышающий 30 минут в теплое время года и 60 минут в холодное время года с момента поступления согласованного (утвержденного) задания на выполнение авиационной работы.
3. Субсидии предоставляются в пределах лимитов бюджетных обязательств, доведенных до Министерства здравоохранения Российской Федерации как получателя средств федерального бюджета на предоставление субсидий на цели, указанные в пункте 1 настоящих Правил.
4. Условиями предоставления субсидии являются:
а) наличие нормативного правового акта субъекта Российской Федерации, утверждающего перечень мероприятий (результатов) по оказанию скорой, в том числе скорой специализированной, медицинской помощи гражданам с использованием воздушных судов, при реализации которых возникают расходные обязательства субъекта Российской Федерации, в целях софинансирования которых предоставляется субсидия;
б) наличие в бюджете субъекта Российской Федерации бюджетных ассигнований на исполнение расходного обязательства субъекта Российской Федерации, софинансирование которого осуществляется из федерального бюджета, в объеме, необходимом для его исполнения, включающем размер планируемой к предоставлению из федерального бюджета субсидии, если иное не установлено актами Президента Российской Федерации или Правительства Российской Федерации;
- Гражданский кодекс (ГК РФ)
- Жилищный кодекс (ЖК РФ)
- Налоговый кодекс (НК РФ)
- Трудовой кодекс (ТК РФ)
- Уголовный кодекс (УК РФ)
- Бюджетный кодекс (БК РФ)
- Арбитражный процессуальный кодекс
- Конституция РФ
- Земельный кодекс (ЗК РФ)
- Лесной кодекс (ЛК РФ)
- Семейный кодекс (СК РФ)
- Уголовно-исполнительный кодекс
- Уголовно-процессуальный кодекс
- Производственный календарь на 2025 год
- МРОТ 2026
- ФЗ «О банкротстве»
- О защите прав потребителей (ЗОЗПП)
- Об исполнительном производстве
- О персональных данных
- О налогах на имущество физических лиц
- О средствах массовой информации
- Производственный календарь на 2026 год
- Федеральный закон "О полиции" N 3-ФЗ
- Расходы организации ПБУ 10/99
- Минимальный размер оплаты труда (МРОТ)
- Календарь бухгалтера на 2025 год
- Частичная мобилизация: обзор новостей
- Постановление Правительства РФ N 1875


















