к государственной программе
Российской Федерации "Обеспечение
доступным и комфортным жильем
и коммунальными услугами граждан
Российской Федерации"
ПРАВИЛА
ПРЕДОСТАВЛЕНИЯ И РАСПРЕДЕЛЕНИЯ СУБСИДИЙ ИЗ ФЕДЕРАЛЬНОГО
БЮДЖЕТА БЮДЖЕТАМ СУБЪЕКТОВ РОССИЙСКОЙ ФЕДЕРАЦИИ В ЦЕЛЯХ
СОФИНАНСИРОВАНИЯ РАСХОДНЫХ ОБЯЗАТЕЛЬСТВ СУБЪЕКТОВ
РОССИЙСКОЙ ФЕДЕРАЦИИ, ВОЗНИКАЮЩИХ ПРИ РЕАЛИЗАЦИИ
МЕРОПРИЯТИЙ ГОСУДАРСТВЕННЫХ ПРОГРАММ СУБЪЕКТОВ РОССИЙСКОЙ
ФЕДЕРАЦИИ ПО ПЕРЕСЕЛЕНИЮ ГРАЖДАН ИЗ НЕ ПРЕДНАЗНАЧЕННЫХ
ДЛЯ ПРОЖИВАНИЯ СТРОЕНИЙ, СОЗДАННЫХ В ПЕРИОД ПРОМЫШЛЕННОГО
ОСВОЕНИЯ СИБИРИ И ДАЛЬНЕГО ВОСТОКА
ПРАВИЛА
ПРЕДОСТАВЛЕНИЯ И РАСПРЕДЕЛЕНИЯ СУБСИДИЙ ИЗ ФЕДЕРАЛЬНОГО
БЮДЖЕТА БЮДЖЕТАМ СУБЪЕКТОВ РОССИЙСКОЙ ФЕДЕРАЦИИ В ЦЕЛЯХ
СОФИНАНСИРОВАНИЯ РАСХОДНЫХ ОБЯЗАТЕЛЬСТВ СУБЪЕКТОВ
РОССИЙСКОЙ ФЕДЕРАЦИИ, ВОЗНИКАЮЩИХ ПРИ РЕАЛИЗАЦИИ
МЕРОПРИЯТИЙ ГОСУДАРСТВЕННЫХ ПРОГРАММ СУБЪЕКТОВ РОССИЙСКОЙ
ФЕДЕРАЦИИ ПО ПЕРЕСЕЛЕНИЮ ГРАЖДАН ИЗ НЕ ПРЕДНАЗНАЧЕННЫХ
ДЛЯ ПРОЖИВАНИЯ СТРОЕНИЙ, СОЗДАННЫХ В ПЕРИОД ПРОМЫШЛЕННОГО
ОСВОЕНИЯ СИБИРИ И ДАЛЬНЕГО ВОСТОКА
1. Настоящие Правила устанавливают цели, порядок и условия предоставления и распределения субсидий из федерального бюджета бюджетам субъектов Российской Федерации на софинансирование мероприятий государственных программ субъектов Российской Федерации по переселению граждан из не предназначенных для проживания помещений, созданных в период промышленного освоения Сибири и Дальнего Востока, и жилых помещений, сведения о которых содержатся в сформированном уполномоченным исполнительным органом Ханты-Мансийского автономного округа - Югры до 30 ноября 2022 г. списке граждан, проживающих в помещениях, расположенных в многоквартирных домах на территории Ханты-Мансийского автономного округа - Югры, не отвечающих требованиям в связи с превышением предельно допустимой концентрации фенола и (или) формальдегида, и подлежащих переселению, и (или) предоставлению субсидий местным бюджетам из бюджетов субъектов Российской Федерации на указанные цели (далее - мероприятия по обеспечению жильем граждан, субсидии).
(п. 1 в ред. Постановления Правительства РФ от 14.08.2025 N 1223)
(см. текст в предыдущей редакции)
2. Мероприятия по обеспечению жильем граждан, проживающих в не предназначенных для проживания помещениях, созданных в период промышленного освоения Сибири и Дальнего Востока, реализуются в отношении граждан, отвечающих совокупности следующих критериев:
(в ред. Постановления Правительства РФ от 30.11.2022 N 2192)
(см. текст в предыдущей редакции)
а) гражданин постоянно проживает на территории муниципального образования, расположенного на территории Республики Бурятия, Республики Саха (Якутия), Забайкальского края, Красноярского края, Амурской области, Иркутской области, Тюменской области, Ханты-Мансийского автономного округа - Югры и Ямало-Ненецкого автономного округа, в помещении, не соответствующем положениям статей 15 и 16 Жилищного кодекса Российской Федерации (далее - помещения);
(пп. "а" в ред. Постановления Правительства РФ от 14.08.2025 N 1223)
(см. текст в предыдущей редакции)
б) помещение предоставлено гражданину для проживания до 30 марта 1999 г. либо гражданин является членом семьи лица, которому такое помещение предоставлено до 30 марта 1999 г., и проживает в этом помещении;
(пп. "б" в ред. Постановления Правительства РФ от 09.11.2021 N 1924)
(см. текст в предыдущей редакции)
в) гражданин признан или может быть признан нуждающимся в жилом помещении, предоставляемом по договору социального найма, по основаниям, предусмотренным статьей 51 Жилищного кодекса Российской Федерации, за исключением таких граждан, являющихся нанимателями жилых помещений по договорам социального найма, договорам найма жилых помещений жилищного фонда социального использования или членами семьи нанимателя жилого помещения по договору социального найма, договору найма жилых помещений жилищного фонда социального использования либо собственниками жилых помещений или членами семьи собственника жилого помещения и обеспеченных общей площадью жилого помещения на одного члена семьи более учетной нормы, в случае, если такие жилые помещения находятся в многоквартирных домах, признанных аварийными и подлежащими сносу или реконструкции;
г) ранее гражданин не являлся получателем мер социальной поддержки в виде обеспечения жилым помещением за счет средств бюджетов бюджетной системы Российской Федерации.
2(1). Мероприятия по обеспечению жильем граждан, проживающих в жилых помещениях, сведения о которых содержатся в сформированном уполномоченным исполнительным органом Ханты-Мансийского автономного округа - Югры до 30 ноября 2022 г. списке граждан, проживающих в помещениях, расположенных в многоквартирных домах на территории Ханты-Мансийского автономного округа - Югры, не отвечающих требованиям в связи с превышением предельно допустимой концентрации фенола и (или) формальдегида, и подлежащих переселению, реализуются в отношении граждан, отвечающих совокупности следующих критериев:
а) гражданин постоянно проживает на территории муниципального образования, расположенного на территории Ханты-Мансийского автономного округа - Югры, в жилом помещении, не соответствующем положениям статьи 23 Федерального закона "О санитарно-эпидемиологическом благополучии населения" в связи с превышением предельно допустимой концентрации фенола и (или) формальдегида в соответствии с протоколами лабораторных исследований (испытаний) и заключениями по ним, выданными до 31 декабря 2025 г., занимаемом по договору социального найма или принадлежащем ему на праве собственности и находящемся в многоквартирном доме, введенном в эксплуатацию до 1 января 2002 г., при условии, если помещение не включено в региональную программу по переселению граждан из аварийного жилищного фонда;
б) гражданин включен в список граждан, подлежащих переселению из жилых помещений, не отвечающих требованиям в связи с превышением предельно допустимой концентрации фенола и (или) формальдегида и находящихся на территории Ханты-Мансийского автономного округа - Югры, утвержденный уполномоченным исполнительным органом Ханты-Мансийского автономного округа - Югры;
в) ранее гражданин не являлся получателем иных мер социальной поддержки в виде обеспечения жилым помещением за счет средств бюджетов бюджетной системы Российской Федерации.
(п. 2(1) в ред. Постановления Правительства РФ от 14.08.2025 N 1223)
(см. текст в предыдущей редакции)
3. Мероприятия по обеспечению жильем граждан включают:
а) мероприятия, связанные со строительством жилых помещений для предоставления гражданам, указанным в пунктах 2 и 2(1) настоящих Правил;
(в ред. Постановления Правительства РФ от 30.11.2022 N 2192)
(см. текст в предыдущей редакции)
б) мероприятия по предоставлению гражданам, указанным в пунктах 2 и 2(1) настоящих Правил, социальных выплат на приобретение (строительство) жилых помещений.
(в ред. Постановления Правительства РФ от 30.11.2022 N 2192)
(см. текст в предыдущей редакции)
в) мероприятия, связанные с приобретением жилых помещений, в том числе на вторичном рынке жилья, для предоставления гражданам, указанным в пункте 2(1) настоящих Правил.
(пп. "в" введен Постановлением Правительства РФ от 30.11.2022 N 2192)
4. Порядок реализации мероприятий по обеспечению жильем граждан, указанных в пунктах 2 и 2(1) настоящих Правил, устанавливается нормативным правовым актом субъекта Российской Федерации и предусматривает:
(в ред. Постановления Правительства РФ от 30.11.2022 N 2192)
(см. текст в предыдущей редакции)
а) возможность использования социальной выплаты на приобретение (строительство) жилых помещений (в случае софинансирования из федерального бюджета расходных обязательств субъекта Российской Федерации по реализации мероприятий по обеспечению жильем граждан, указанных в подпункте "б" пункта 3 настоящих Правил) для приобретения жилого помещения у любых физических или юридических лиц, уплаты первоначального взноса по ипотечному жилищному кредиту, уплаты цены договора строительного подряда по строительству индивидуального жилого дома, уплаты цены договора участия в долевом строительстве, который предусматривает в качестве объекта долевого строительства жилое помещение, путем внесения соответствующих денежных средств на счет эскроу;
б) утратил силу. - Постановление Правительства РФ от 09.11.2021 N 1924;
(см. текст в предыдущей редакции)
в) необходимость подтверждения гражданами, указанными в пункте 2 настоящих Правил, факта проживания в помещении одним из следующих документов:
платежный документ (платежные документы) о внесении платы за помещение и коммунальные услуги не менее чем за 6 календарных месяцев подряд в период проживания до 30 сентября 1999 г.;
судебное решение, на основании которого возникло право проживания в помещении;
(пп. "в" введен Постановлением Правительства РФ от 09.11.2021 N 1924)
в(1)) необходимость подтверждения гражданами, указанными в пункте 2(1) настоящих Правил, факта проживания в жилом помещении одним из следующих документов:
судебное решение, на основании которого возникло право проживания в жилом помещении;
договор социального найма жилого помещения либо выписка из Единого государственного реестра недвижимости о зарегистрированном праве собственности на жилое помещение;
(пп. "в(1)" введен Постановлением Правительства РФ от 30.11.2022 N 2192)
г) осуществление предусмотренных законодательством Российской Федерации действий, направленных на освобождение гражданами, указанными в пункте 2 настоящих Правил, помещений и гражданами, указанными в пункте 2(1) настоящих Правил, жилых помещений при реализации в отношении таких граждан мероприятий по обеспечению жильем.
(пп. "г" введен Постановлением Правительства РФ от 09.11.2021 N 1924; в ред. Постановления Правительства РФ от 30.11.2022 N 2192)
(см. текст в предыдущей редакции)
5. Адресное (пообъектное) распределение субсидий по объектам капитального строительства и объектам недвижимого имущества в рамках мероприятий по обеспечению жильем граждан, указанных в подпунктах "а" и "в" пункта 3 настоящих Правил, определяется в соответствии с пунктом 5 Правил формирования, предоставления и распределения субсидий из федерального бюджета бюджетам субъектов Российской Федерации, утвержденных постановлением Правительства Российской Федерации от 30 сентября 2014 г. N 999 "О формировании, предоставлении и распределении субсидий из федерального бюджета бюджетам субъектов Российской Федерации" (далее соответственно - адресное (пообъектное) распределение, Правила формирования, предоставления и распределения субсидий). Для включения объектов капитального строительства и объектов недвижимого имущества в адресное (пообъектное) распределение или внесения в адресное (пообъектное) распределение изменений высший исполнительный орган субъекта Российской Федерации направляет в Министерство строительства и жилищно-коммунального хозяйства Российской Федерации в отношении каждого такого объекта следующие документы и сведения:
(в ред. Постановления Правительства РФ от 05.08.2024 N 1053)
(см. текст в предыдущей редакции)
а) наименование объекта капитального строительства;
б) мощность объекта капитального строительства, подлежащего вводу в эксплуатацию;
г) размер бюджетных ассигнований федерального бюджета, планируемых на софинансирование объекта капитального строительства;
д) копия положительного заключения государственной экспертизы проектной документации и результатов инженерных изысканий, выполненных для подготовки этой проектной документации (в случае если проведение такой экспертизы в соответствии с законодательством Российской Федерации является обязательным). В проектной документации по объектам капитального строительства, реализуемым на территории Дальневосточного федерального округа, необходимо предусматривать перечень мероприятий и затраты по привлечению студенческих строительных отрядов;
(в ред. Постановления Правительства РФ от 05.08.2024 N 1053)
(см. текст в предыдущей редакции)
е) документы об утверждении проектной документации в соответствии с законодательством Российской Федерации (в случае, если в соответствии с законодательством Российской Федерации подготовка проектной документации является обязательной);
ж) копия положительного заключения о достоверности определения сметной стоимости объекта капитального строительства;
з) утратил силу. - Постановление Правительства РФ от 09.11.2021 N 1924;
(см. текст в предыдущей редакции)
и) сведения, необходимые для проведения проверки инвестиционного проекта на предмет эффективности использования средств федерального бюджета, направляемых на капитальные вложения, предусмотренные Правилами проведения проверки инвестиционных проектов на предмет эффективности использования средств федерального бюджета, направляемых на капитальные вложения, утвержденными постановлением Правительства Российской Федерации от 15 марта 2023 г. N 399 "О случаях и порядке проведения проверки инвестиционных проектов на предмет эффективности использования средств федерального бюджета, направляемых на капитальные вложения, о внесении изменений в некоторые акты Правительства Российской Федерации, приостановлении действия постановления Правительства Российской Федерации от 12 августа 2008 г. N 590 и отдельных положений некоторых актов Правительства Российской Федерации, а также признании утратившими силу некоторых актов и отдельных положений некоторых актов Правительства Российской Федерации", - в случаях, определенных указанным постановлением;
(пп. "и" в ред. Постановления Правительства РФ от 05.08.2024 N 1053)
(см. текст в предыдущей редакции)
к) паспорт инвестиционного проекта по форме, утвержденной Министерством строительства и жилищно-коммунального хозяйства Российской Федерации;
(в ред. Постановления Правительства РФ от 05.08.2024 N 1053)
(см. текст в предыдущей редакции)
л) копии правоустанавливающих документов на земельный участок.
6. Субсидии предоставляются в пределах бюджетных ассигнований, предусмотренных в федеральном законе о федеральном бюджете на соответствующий год и плановый период, и лимитов бюджетных обязательств, доведенных до Министерства строительства и жилищно-коммунального хозяйства Российской Федерации как получателя средств федерального бюджета, на цели, указанные в пункте 1 настоящих Правил.
7. Субсидия предоставляется при соблюдении условий, установленных абзацами вторым - четвертым пункта 8 Правил формирования, предоставления и распределения субсидий.
(п. 7 в ред. Постановления Правительства РФ от 14.08.2025 N 1223)
(см. текст в предыдущей редакции)
7(1). Предоставление субсидии бюджету субъекта Российской Федерации осуществляется на основании соглашения о предоставлении субсидии из федерального бюджета бюджету субъекта Российской Федерации (далее - соглашение), подготавливаемого (формируемого) и заключаемого в государственной интегрированной информационной системе управления общественными финансами "Электронный бюджет" в соответствии с типовой формой, утвержденной Министерством финансов Российской Федерации.
(п. 7(1) в ред. Постановления Правительства РФ от 14.08.2025 N 1223)
(см. текст в предыдущей редакции)
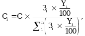
8. Размер субсидии субъекту Российской Федерации (Ci) определяется по формуле:
(в ред. Постановления Правительства РФ от 31.03.2020 N 399)
(см. текст в предыдущей редакции)
C - объем бюджетных ассигнований федерального бюджета на соответствующий финансовый год для предоставления субсидий;
Зi - размер бюджетных ассигнований, необходимых для финансового обеспечения реализации мероприятий по обеспечению жильем граждан на очередной финансовый год, заявленный i-м субъектом Российской Федерации;
Yi - предельный уровень софинансирования расходного обязательства субъекта Российской Федерации из федерального бюджета, утверждаемый Правительством Российской Федерации в соответствии с пунктом 13 Правил формирования, предоставления и распределения субсидий;
n - число субъектов Российской Федерации, между бюджетами которых распределяются субсидии.
8(1). Уровень софинансирования расходного обязательства субъекта Российской Федерации за счет субсидии устанавливается в размере предельного уровня софинансирования расходного обязательства субъекта Российской Федерации из федерального бюджета, утверждаемого Правительством Российской Федерации в соответствии с пунктом 13 Правил формирования, предоставления и распределения субсидий.
(п. 8(1) введен Постановлением Правительства РФ от 31.03.2020 N 399)
9. Размер бюджетных ассигнований, необходимых для финансового обеспечения реализации мероприятий по обеспечению жильем граждан, определяется субъектом Российской Федерации на основании утвержденных уполномоченным исполнительным органом субъекта Российской Федерации списков граждан, указанных в пунктах 2 и 2(1) настоящих Правил, исходя из размера средней рыночной стоимости 1 кв. метра общей площади жилого помещения по субъекту Российской Федерации, определяемого Министерством строительства и жилищно-коммунального хозяйства Российской Федерации, и норматива обеспечения жилой площадью, составляющего 33 кв. метра для одиноко проживающих граждан, 42 кв. метра для семей из 2 человек и по 18 кв. метров на одного человека для семей из 3 и более человек.
(в ред. Постановления Правительства РФ от 30.11.2022 N 2192)
(см. текст в предыдущей редакции)
Списки граждан, указанных в пунктах 2 и 2(1) настоящих Правил, утвержденные уполномоченным исполнительным органом субъекта Российской Федерации, представляются ежегодно по состоянию на 1 января года предоставления субсидии в Министерство строительства и жилищно-коммунального хозяйства Российской Федерации не позднее 1 февраля года предоставления субсидии.
(абзац введен Постановлением Правительства РФ от 09.11.2021 N 1924; в ред. Постановления Правительства РФ от 30.11.2022 N 2192)
(см. текст в предыдущей редакции)
9(1). Высший исполнительный орган субъекта Российской Федерации в соответствии с законодательством Российской Федерации несет ответственность за достоверность сведений, содержащихся в документах и сведениях, представляемых в Министерство строительства и жилищно-коммунального хозяйства Российской Федерации, в соответствии с пунктами 5 и 9 настоящих Правил.
(п. 9(1) введен Постановлением Правительства РФ от 09.11.2021 N 1924; в ред. Постановлений Правительства РФ от 30.11.2022 N 2192, от 09.12.2022 N 2272)
(см. текст в предыдущей редакции)
10. Распределение субсидий между бюджетами субъектов Российской Федерации утверждается федеральным законом о федеральном бюджете на соответствующий финансовый год и плановый период.
11. Эффективность использования субсидии оценивается Министерством строительства и жилищно-коммунального хозяйства Российской Федерации путем сравнения фактически достигнутых и предусмотренных соглашением плановых значений результата использования субсидии - количества семей граждан, обеспеченных жильем путем предоставления жилых помещений или социальной выплаты.
(в ред. Постановления Правительства РФ от 31.03.2020 N 399)
(см. текст в предыдущей редакции)
12. Уполномоченные высшим исполнительным органом субъекта Российской Федерации исполнительные органы субъекта Российской Федерации представляют в порядке и сроки, установленные соглашением, в государственной интегрированной информационной системе управления общественными финансами "Электронный бюджет" отчетность об осуществлении расходов, в целях софинансирования которых предоставляется субсидия, а также о достижении значений результатов использования субсидии.
(п. 12 в ред. Постановления Правительства РФ от 05.08.2024 N 1053)
(см. текст в предыдущей редакции)
13. Увеличение в одностороннем порядке субъектом Российской Федерации размера средств бюджета субъекта Российской Федерации на реализацию мероприятий по обеспечению жильем граждан не влечет обязательств по увеличению размера субсидии.
14. Перечисление субсидий осуществляется в установленном порядке на единые счета бюджетов, открытые финансовым органам субъектов Российской Федерации в территориальных органах Федерального казначейства.
(п. 14 в ред. Постановления Правительства РФ от 09.11.2021 N 1924)
(см. текст в предыдущей редакции)
15. В целях предоставления социальных выплат на приобретение (строительство) жилых помещений лицам, указанным в пунктах 2 и 2(1) настоящих Правил, поступившие в бюджет субъекта Российской Федерации (местный бюджет) средства в размере, необходимом для предоставления социальной выплаты на приобретение (строительство) жилых помещений, перечисляются на счет, на котором в соответствии с бюджетным законодательством Российской Федерации учитываются операции со средствами, поступающими во временное распоряжение получателей средств бюджета субъекта Российской Федерации (местного бюджета), с отражением указанных операций на лицевых счетах, открытых органам государственной власти субъекта Российской Федерации (органам местного самоуправления) как получателям бюджетных средств в территориальном органе Федерального казначейства или финансовом органе субъекта Российской Федерации (финансовом органе муниципального образования).
(в ред. Постановления Правительства РФ от 30.11.2022 N 2192)
(см. текст в предыдущей редакции)
Перечисление средств с лицевых счетов, на которых в соответствии с бюджетным законодательством Российской Федерации учитываются операции со средствами, поступающими во временное распоряжение получателей средств бюджета субъекта Российской Федерации (местного бюджета), осуществляется на основании представленных в территориальный орган Федерального казначейства или финансовый орган субъекта Российской Федерации (финансовый орган муниципального образования) органами государственной власти субъекта Российской Федерации (органами местного самоуправления) утвержденных указанными органами списков получателей социальных выплат с указанием размера социальной выплаты для каждого получателя.
16. Основания и порядок применения мер финансовой ответственности к субъекту Российской Федерации при невыполнении им условий соглашения (включая обязательства субъекта Российской Федерации), в том числе порядок и условия возврата средств из бюджета субъекта Российской Федерации в федеральный бюджет, установлены пунктами 16 - 19 Правил формирования, предоставления и распределения субсидий. Основания и порядок освобождения субъекта Российской Федерации от применения указанных мер финансовой ответственности установлены пунктом 20 Правил формирования, предоставления и распределения субсидий.
(п. 16 в ред. Постановления Правительства РФ от 05.08.2024 N 1053)
(см. текст в предыдущей редакции)
17. В случае нарушения целей, установленных при предоставлении субсидии, применяются бюджетные меры принуждения, предусмотренные бюджетным законодательством Российской Федерации.
(п. 17 в ред. Постановления Правительства РФ от 05.08.2024 N 1053)
(см. текст в предыдущей редакции)
18. Контроль за соблюдением субъектами Российской Федерации целей, порядка и условий предоставления субсидий осуществляется Министерством строительства и жилищно-коммунального хозяйства Российской Федерации и уполномоченными органами государственного финансового контроля.
- Гражданский кодекс (ГК РФ)
- Жилищный кодекс (ЖК РФ)
- Налоговый кодекс (НК РФ)
- Трудовой кодекс (ТК РФ)
- Уголовный кодекс (УК РФ)
- Бюджетный кодекс (БК РФ)
- Арбитражный процессуальный кодекс
- Конституция РФ
- Земельный кодекс (ЗК РФ)
- Лесной кодекс (ЛК РФ)
- Семейный кодекс (СК РФ)
- Уголовно-исполнительный кодекс
- Уголовно-процессуальный кодекс
- Производственный календарь на 2025 год
- МРОТ 2026
- ФЗ «О банкротстве»
- О защите прав потребителей (ЗОЗПП)
- Об исполнительном производстве
- О персональных данных
- О налогах на имущество физических лиц
- О средствах массовой информации
- Производственный календарь на 2026 год
- Федеральный закон "О полиции" N 3-ФЗ
- Расходы организации ПБУ 10/99
- Минимальный размер оплаты труда (МРОТ)
- Календарь бухгалтера на 2026 год
- Частичная мобилизация: обзор новостей
- Постановление Правительства РФ N 1875
