постановлением Правительства
Российской Федерации
от 12 декабря 2025 г. N 2015
1. В Государственной программе развития сельского хозяйства и регулирования рынков сельскохозяйственной продукции, сырья и продовольствия, утвержденной постановлением Правительства Российской Федерации от 14 июля 2012 г. N 717 "О Государственной программе развития сельского хозяйства и регулирования рынков сельскохозяйственной продукции, сырья и продовольствия" (Собрание законодательства Российской Федерации, 2012, N 32, ст. 4549; 2014, N 18, ст. 2161; 2015, N 1, ст. 221; 2017, N 15, ст. 2227; N 52, ст. 8126; 2019, N 7, ст. 631; 2020, N 14, ст. 2129; 2021, N 13, ст. 2243; N 37, ст. 6506; 2022, N 8, ст. 1171; N 14, ст. 2302; N 17, ст. 2912; N 18, ст. 3066; N 50, ст. 8943; 2023, N 48, ст. 8585; N 50, ст. 9080; 2024, N 23, ст. 3146; N 44, ст. 6623; N 49, ст. 7620; N 50, ст. 7777; N 53, ст. 8681, 8714; 2025, N 14, ст. 1731; N 38, ст. 5551; N 46, ст. 6886; Официальный интернет-портал правовой информации (www.pravo.gov.ru), 2025, 26 ноября, N 0001202511260028; 28 ноября, N 0001202511280048):
а) раздел "Задачи по обеспечению достижения показателей социально-экономического развития субъектов Российской Федерации, входящих в состав приоритетных территорий, уровень которых должен быть на уровне выше среднероссийского" Стратегических приоритетов в сфере реализации Государственной программы развития сельского хозяйства и регулирования рынков сельскохозяйственной продукции, сырья и продовольствия дополнить абзацем следующего содержания:
"Правила предоставления и распределения субсидий из федерального бюджета бюджетам субъектов Российской Федерации на создание системы поддержки образовательных организаций, реализующих образовательные программы среднего профессионального образования для подготовки кадров агропромышленного комплекса, приведены в приложении N 22(3).";
б) в приложении N 22 к указанной Государственной программе:
в абзаце двадцать пятом пункта 2 слова "среднего профессионального образования и (или)" исключить;
подпункт "г" пункта 3 признать утратившим силу;
пункт 7 признать утратившим силу;
подпункт "д" пункта 11 признать утратившим силу;
в пункте 12:
в абзаце первом слова "абзацем четвертым подпункта "д"," исключить;
в абзаце втором слова "подпунктах "в" - "ж" пункта 11" заменить словами "подпунктах "в", "г", "е" и "ж" пункта 11";
подпункт "в" пункта 16 признать утратившим силу;
пункт 19 изложить в следующей редакции:
"19. Размер субсидии, предоставляемой бюджету i-го субъекта Российской Федерации на соответствующий финансовый год (Sсумi), определяется по формуле:
Sсумi = Sцоi + Sпрi + Sстимi + Sспоi,
Sцоi - размер субсидии, предоставляемой бюджету i-го субъекта Российской Федерации в целях софинансирования реализации мероприятия, указанного в подпункте "а" пункта 3 настоящих Правил;
Sпрi - размер субсидии, предоставляемой бюджету i-го субъекта Российской Федерации в целях софинансирования реализации мероприятия, указанного в подпункте "б" пункта 3 настоящих Правил;
Sстимi - размер субсидии, предоставляемой бюджету i-го субъекта Российской Федерации в целях софинансирования реализации мероприятий, указанных в подпункте "в" пункта 3 настоящих Правил;
Sспоi - размер субсидии, предоставляемой бюджету i-го субъекта Российской Федерации в целях софинансирования реализации мероприятий, указанных в подпункте "д" пункта 3 настоящих Правил.";
пункт 23 признать утратившим силу;
пункт 24 изложить в следующей редакции:
"24. Размер субсидии, предоставляемой бюджету i-го субъекта Российской Федерации в целях софинансирования реализации мероприятий, указанных в подпункте "д" пункта 3 настоящих Правил (Sспоi), определяется по формуле:
SСВ - общий объем бюджетных ассигнований в федеральном бюджете на предоставление субсидий в целях софинансирования расходных обязательств субъектов Российской Федерации на реализацию мероприятия, указанного в абзаце втором подпункта "д" пункта 3 настоящих Правил, предусмотренных на соответствующий финансовый год Министерству сельского хозяйства Российской Федерации (тыс. рублей);
ВОi - понесенные заявителями-инвесторами в году, предшествующем году предоставления субсидии, затраты на объекты образования, по данным уполномоченного органа i-го субъекта Российской Федерации (тыс. рублей);
p - количество субъектов Российской Федерации, представивших заявки на реализацию мероприятия, указанного в абзаце втором подпункта "д" пункта 3 настоящих Правил, в части затрат на объекты образования;
Sшmin - минимальный размер субсидии бюджету i-го субъекта Российской Федерации, составляющий 5 млн. рублей. В случае если размер средств федерального бюджета, предусмотренный заявкой, меньше минимального размера субсидии, субсидия предоставляется в размере, указанном в заявке;
Sш - общий объем бюджетных ассигнований в федеральном бюджете на предоставление субсидий в целях софинансирования расходных обязательств субъектов Российской Федерации на реализацию мероприятия, указанного в абзаце третьем подпункта "д" пункта 3 настоящих Правил, предусмотренных на соответствующий финансовый год Министерству сельского хозяйства Российской Федерации (тыс. рублей);
k - количество субъектов Российской Федерации, представивших заявки на реализацию мероприятия, указанного в абзаце третьем подпункта "д" пункта 3 настоящих Правил, в части затрат на агротехнологические классы;
Шi - понесенные заказчиками ключевых проектов в году, предшествующем году предоставления субсидии, затраты на агротехнологические классы, по данным уполномоченного органа i-го субъекта Российской Федерации (тыс. рублей).";
пункт 28 признать утратившим силу;
подпункт "г" пункта 32 признать утратившим силу;
в) дополнить приложением N 22(3) следующего содержания:
к Государственной программе развития
сельского хозяйства и регулирования
рынков сельскохозяйственной продукции,
сырья и продовольствия
ПРЕДОСТАВЛЕНИЯ И РАСПРЕДЕЛЕНИЯ СУБСИДИЙ ИЗ ФЕДЕРАЛЬНОГО
БЮДЖЕТА БЮДЖЕТАМ СУБЪЕКТОВ РОССИЙСКОЙ ФЕДЕРАЦИИ НА СОЗДАНИЕ
СИСТЕМЫ ПОДДЕРЖКИ ОБРАЗОВАТЕЛЬНЫХ ОРГАНИЗАЦИЙ, РЕАЛИЗУЮЩИХ
ОБРАЗОВАТЕЛЬНЫЕ ПРОГРАММЫ СРЕДНЕГО ПРОФЕССИОНАЛЬНОГО
ОБРАЗОВАНИЯ ДЛЯ ПОДГОТОВКИ КАДРОВ
АГРОПРОМЫШЛЕННОГО КОМПЛЕКСА
1. Настоящие Правила устанавливают порядок и условия предоставления и распределения субсидий из федерального бюджета бюджетам субъектов Российской Федерации в целях софинансирования расходных обязательств субъектов Российской Федерации, возникающих при реализации мероприятий по созданию системы поддержки образовательных организаций, реализующих образовательные программы среднего профессионального образования для подготовки кадров агропромышленного комплекса, в рамках федерального проекта "Кадры в агропромышленном комплексе" национального проекта по обеспечению технологического лидерства "Технологическое обеспечение продовольственной безопасности" (далее соответственно - федеральный проект "Кадры в агропромышленном комплексе", субсидии).
2. Понятия, используемые в настоящих Правилах, означают следующее:
"агротехнологический класс" - форма организации образовательной деятельности при реализации образовательной программы основного общего или среднего общего образования, предусматривающая углубленное изучение профильных агротехнологических предметов в рамках урочной и внеурочной деятельности;
"грант "Агропрофи" - средства, источником софинансирования которых является субсидия, перечисляемые из бюджета субъекта Российской Федерации грантополучателю для финансового обеспечения его затрат, не возмещаемых в рамках иных направлений государственной поддержки, связанных с реализацией проекта развития, отобранного для предоставления гранта "Агропрофи";
"грантополучатель" - заявитель, проект развития которого включен в перечень проектов развития, отобранных для предоставления гранта "Агропрофи";
"заявитель" - профильный колледж, заключивший соглашение о сотрудничестве с иными организациями в соответствии с методическими рекомендациями, разработанными Министерством сельского хозяйства Российской Федерации, в целях развития на территории субъекта Российской Федерации агротехнологического образования и подготовки кадров для отрасли сельского хозяйства в рамках реализации федерального проекта "Кадры в агропромышленном комплексе", обязующийся достигнуть показателей результативности деятельности, предусмотренных паспортом проекта развития;
"иные организации" - школы с агротехнологическими классами, работодатели, профильные вузы;
"образовательная инфраструктура" - материально-техническая база профильного колледжа, а также его учебная и (или) производственная инфраструктура, используемые в целях обучения и практической подготовки обучающихся по образовательным программам среднего профессионального образования, предоставления работы временного характера обучающимся и (или) выпускникам профильного колледжа, производства товаров, выполнения работ и оказания услуг по профилю реализуемых образовательных программ среднего профессионального образования и обеспечивающие реализацию проекта развития;
"отбор проектов развития" - процедура балльной оценки и ранжирования проектов развития, проводимая на основании совокупности паспортов проектов развития и иных документов, предусмотренных пунктом 15 настоящих Правил, по результатам которой принимается решение об отборе проектов развития в соответствии с пунктом 6 настоящих Правил;
"проект развития" - документ, который содержит перечень мероприятий, реализуемых грантополучателем в целях развития профильного колледжа и обеспечивающих достижение показателей результативности его деятельности, предусмотренных паспортом проекта развития;
"профильный вуз" - образовательная организация, находящаяся в ведении федерального органа исполнительной власти или исполнительного органа субъекта Российской Федерации, реализующая образовательные программы по укрупненным группам профессий и специальностей "Сельское, лесное и рыбное хозяйство", "Ветеринария и зоотехния", "Промышленная экология и биотехнологии", "Техносферная безопасность и природообустройство", "Прикладная геология, горное дело, нефтегазовое дело и геодезия", соответствующие федеральным государственным образовательным стандартам;
"профильный колледж" - образовательная организация, находящаяся в ведении федерального органа исполнительной власти или исполнительного органа субъекта Российской Федерации, реализующая образовательные программы среднего профессионального образования или образовательные программы высшего образования и среднего профессионального образования по укрупненным группам профессий и специальностей "Сельское, лесное и рыбное хозяйство", "Ветеринария и зоотехния", "Промышленная экология и биотехнологии", "Техносферная безопасность и природообустройство", "Прикладная геология, горное дело, нефтегазовое дело и геодезия", соответствующие федеральным государственным образовательным стандартам;
"работодатели" - индивидуальные предприниматели или юридические лица независимо от организационно-правовой формы;
"стоимость проекта развития" - сумма денежных средств, определенная на основании сметной стоимости, а также иных документально подтвержденных и обоснованных затрат, необходимых для реализации проекта развития;
"школа с агротехнологическими классами" - общеобразовательная организация, участвующая совместно с профильными вузами, профильными колледжами и работодателями в реализации комплекса мероприятий по созданию агротехиологического класса в соответствии с методическими рекомендациями, разработанными Министерством сельского хозяйства Российской Федерации.
3. Субсидии предоставляются в пределах лимитов бюджетных обязательств, доведенных до Министерства сельского хозяйства Российской Федерации как получателя средств федерального бюджета на предоставление субсидий на цели, указанные в пункте 1 настоящих Правил.
4. Распределение субсидий осуществляется в пределах бюджетных ассигнований федерального бюджета, предусмотренных федеральным законом о федеральном бюджете на соответствующий финансовый год и плановый период.
Субсидии предоставляются по результатам отбора проектов развития.
5. Проект развития представляется на отбор проектов развития в Министерство сельского хозяйства Российской Федерации исполнительным органом субъекта Российской Федерации, уполномоченным высшим исполнительным органом субъекта Российской Федерации (далее - уполномоченный орган) того субъекта Российской Федерации, на территории которого планируется его реализация.
6. Принятие решения об отборе проектов развития, решения о внесении изменений в проекты развития, а также решения о проведении оценки эффективности использования субсидии осуществляется Министерством сельского хозяйства Российской Федерации.
Решение об отборе проектов развития, решение о внесении изменений в проекты развития оформляются протоколами и направляются Министерством сельского хозяйства Российской Федерации в субъекты Российской Федерации.
7. Размер гранта "Агропрофи", предоставляемого на реализацию каждого проекта развития, составляет не более 90 процентов стоимости проекта развития. При этом не менее 10 процентов стоимости проекта развития должно быть обеспечено грантополучателем за счет средств внебюджетных источников работодателей (с учетом затрат, понесенных на разработку проектно-сметной документации и прохождение государственной экспертизы проектной документации в целях реализации проекта развития). Максимальный объем затрат на модернизацию образовательной инфраструктуры, который может быть учтен при расчете размера субсидии, не может превышать 250 тыс. рублей на 1 кв. метр.
8. Грант "Агропрофи" предоставляется грантополучателю с учетом следующих условий:
а) грант "Агропрофи" предоставляется однократно на основании решения об отборе проектов развития;
б) размер гранта "Агропрофи", предоставляемого конкретному грантополучателю, определяется решением об отборе проектов развития с учетом размера внебюджетных средств, направляемых на реализацию проекта развития. Если размер гранта "Агропрофи", предоставляемого грантополучателю в соответствии с решением об отборе проектов развития, меньше суммы, запрашиваемой в заявке, входящей в состав документации, указанной в пункте 15 настоящих Правил (далее - заявочная документация), грантополучатель вправе привлечь дополнительно внебюджетные средства в целях реализации проекта развития в полном объеме согласно стоимости проекта развития, указанной в заявочной документации, или отказаться от получения гранта "Агропрофи", о чем необходимо проинформировать Министерство сельского хозяйства Российской Федерации и уполномоченный орган в течение 10 календарных дней со дня опубликования решения об отборе проектов развития;
в) перечень затрат, финансовое обеспечение которых допускается осуществлять в рамках проекта развития за счет гранта "Агропрофи", включает затраты, связанные с достижением целей, указанных в пункте 1 настоящих Правил, на модернизацию образовательной инфраструктуры, в том числе на проведение реконструкции, капитального ремонта образовательной инфраструктуры, приобретение оборудования, программного обеспечения, необходимого для реализации проекта развития, учебников и учебных пособий, учебно-методических материалов, средств обучения и воспитания, направленных на формирование компетенций обучающихся по работе на оборудовании, приобретенном в соответствии с целями предоставления гранта "Агропрофи", а также на совершенствование образовательных программ;
г) реализация, передача в аренду, залог и (или) отчуждение имущества, приобретенного с использованием гранта "Агропрофи", допускаются только при согласовании с уполномоченным органом, а также при условии неухудшения показателей результативности деятельности, предусмотренных проектом развития и соглашением о предоставлении средств, источником софинансирования которых является субсидия, заключаемым между грантополучателем и уполномоченным органом;
д) приобретение имущества, ранее приобретенного с использованием средств государственной поддержки, за счет гранта "Агропрофи" не допускается;
е) методика оценки достижения грантополучателем показателей результативности деятельности утверждается Министерством сельского хозяйства Российской Федерации, меры ответственности за недостижение указанных показателей определяются Министерством сельского хозяйства Российской Федерации. В случае недостижения показателей результативности деятельности грантополучатель обязуется представить до 1 апреля года, следующего за годом, в котором показатели результативности деятельности не были исполнены, письменное обоснование их недостижения. В случае принятия уполномоченным органом решения о необходимости внесения изменений в проект развития и соглашение о предоставлении средств, источником софинансирования которых является субсидия, заключаемое между грантополучателем и уполномоченным органом, профильный колледж представляет актуализированный проект развития в уполномоченный орган в срок, не превышающий 45 календарных дней со дня получения указанного решения.
9. Заявитель, претендующий на получение гранта "Агропрофи", на дату не ранее 1-го числа месяца, предшествующего месяцу, в котором планируется подача документов в уполномоченный орган для участия в отборе проектов развития, должен соответствовать следующим требованиям:
а) заявитель, претендующий на получение гранта "Агропрофи", не является получателем средств на создание кластеров среднего профессионального образования в рамках федерального проекта "Профессионалитет";
б) у заявителя, претендующего на получение гранта "Агропрофи", удельный вес численности обучающихся по образовательным программам среднего профессионального образования по укрупненным группам профессий и специальностей "Сельское, лесное и рыбное хозяйство", "Ветеринария и зоотехния", "Промышленная экология и биотехнологии", "Техносферная безопасность и природообустройство", "Прикладная геология, горное дело, нефтегазовое дело и геодезия" в общей численности обучающихся по образовательным программам среднего профессионального образования составляет не менее 60 процентов (по итогам реализации проекта развития);
в) у заявителя, претендующего на получение гранта "Агропрофи", отсутствует неисполненная обязанность по уплате налогов, сборов, страховых взносов, пеней, штрафов и процентов, подлежащих уплате в соответствии с законодательством Российской Федерации о налогах и сборах;
г) у заявителя, претендующего на получение гранта "Агропрофи", отсутствуют просроченная задолженность по возврату в федеральный бюджет межбюджетных трансфертов, бюджетных инвестиций, предоставленных в том числе в соответствии с иными правовыми актами, и иная просроченная (неурегулированная) задолженность по денежным обязательствам перед Российской Федерацией;
д) заявитель, претендующий на получение гранта "Агропрофи", не является получателем средств из федерального бюджета в соответствии с иными нормативными правовыми актами Российской Федерации на цели, указанные в пункте 1 настоящих Правил;
е) заявитель, претендующий на получение гранта "Агропрофи", не является иностранным юридическим лицом, в том числе местом регистрации которого является государство или территория, включенные в утверждаемый Министерством финансов Российской Федерации перечень государств и территорий, используемых для промежуточного (офшорного) владения активами в Российской Федерации, а также российским юридическим лицом, в уставном (складочном) капитале которого доля прямого или косвенного (через третьих лиц) участия офшорных компаний в совокупности превышает 25 процентов;
ж) заявитель, претендующий на получение гранта "Агропрофи", не находится в процессе реорганизации, ликвидации, в отношении его не введена процедура банкротства, его деятельность не приостановлена в порядке, предусмотренном законодательством Российской Федерации;
з) в реестре дисквалифицированных лиц отсутствуют сведения о дисквалифицированных руководителе, членах коллегиального исполнительного органа, лице, исполняющем функции единоличного исполнительного органа, или главном бухгалтере (при наличии) заявителя, претендующего на получение гранта "Агропрофи";
и) заявитель, претендующий на получение гранта "Агропрофи", не находится в перечне организаций и физических лиц, в отношении которых имеются сведения об их причастности к экстремистской деятельности или терроризму;
к) заявитель, претендующий на получение гранта "Агропрофи", не является иностранным агентом в соответствии с Федеральным законом "О контроле за деятельностью лиц, находящихся под иностранным влиянием".
10. Паспорт проекта развития должен содержать в том числе:
а) приоритетные направления развития системы среднего профессионального образования, взаимоувязанные с прогнозом потребности в кадрах в субъекте Российской Федерации, с учетом текущих и перспективных потребностей работодателей в профессиональных компетенциях работников агропромышленного комплекса;
б) сведения о заявителе, а также перечень направлений его деятельности в рамках реализации проекта развития;
в) информацию о соглашениях о сотрудничестве, заключенных заявителем с иными организациями в соответствии с методическими рекомендациями, разработанными Министерством сельского хозяйства Российской Федерации, в том числе об иных организациях с указанием их функций;
г) информацию о финансовом обеспечении проекта развития, включая размеры финансовых средств, предоставляемых на эти цели, с указанием конкретных источников всех таких средств;
д) показатели результативности деятельности профильного колледжа, планируемые к достижению в рамках реализации проекта развития:
количество выпускников агротехнологических классов, поступивших в профильный колледж (человек);
количество обучающихся по образовательным программам среднего профессионального образования по укрупненным группам профессий и специальностей "Сельское, лесное и рыбное хозяйство", "Ветеринария и зоотехния", "Промышленная экология и биотехнологии", "Техносферная безопасность и природообустройство", "Прикладная геология, горное дело, нефтегазовое дело и геодезия" (человек);
количество обучающихся по образовательным программам среднего профессионального образования по укрупненным группам профессий и специальностей "Сельское, лесное и рыбное хозяйство", "Ветеринария и зоотехния", "Промышленная экология и биотехнологии", "Техносферная безопасность и природообустройство", "Прикладная геология, горное дело, нефтегазовое дело и геодезия", прошедших практическую подготовку с закреплением наставника, работающего у работодателя (человек);
количество образовательных программ среднего профессионального образования по укрупненным группам профессий и специальностей "Сельское, лесное и рыбное хозяйство", "Ветеринария и зоотехния", "Промышленная экология и биотехнологии", "Техносферная безопасность и природообустройство", "Прикладная геология, горное дело, нефтегазовое дело и геодезия", реализуемых профильным колледжем в интересах работодателей (единиц);
количество педагогических работников профильного колледжа, прошедших стажировку у работодателей, в том числе в целях получения производственных навыков (человек);
количество работников работодателей, участвующих в реализации проекта развития, включенных в образовательный процесс в качестве преподавателей и мастеров производственного обучения (человек);
объем внебюджетных средств (включая стоимость безвозмездно переданного работодателями имущества, необходимого для реализации основных профессиональных образовательных программ, основных программ профессионального обучения и дополнительных профессиональных программ), направляемых на развитие профильного колледжа (тыс. рублей);
количество заключенных с гарантией трудоустройства выпускников договоров о целевом обучении по образовательным программам среднего профессионального образования по укрупненным группам профессий и специальностей "Сельское, лесное и рыбное хозяйство", "Ветеринария и зоотехния", "Промышленная экология и биотехнологии", "Техносферная безопасность и природообустройство", "Прикладная геология, горное дело, нефтегазовое дело и геодезия" (единиц);
количество выпускников профильного колледжа, трудоустроенных в организациях агропромышленного комплекса в течение одного года после окончания обучения (человек).
11. К участию в отборе проектов развития допускаются проекты развития, реализация которых начинается в год получения гранта "Агропрофи" и заканчивается не позднее срока окончания реализации федерального проекта "Кадры в агропромышленном комплексе".
Срок реализации проекта развития не превышает 3 лет и определяется исходя из длительности реализации каждого мероприятия проекта развития. При этом мероприятия проекта развития, связанные с разработкой и внедрением образовательных программ, планируются к осуществлению в первый год реализации проекта развития.
Длительность реализации мероприятий проекта развития, связанных с модернизацией образовательной инфраструктуры, не может быть меньше срока их реализации, установленного документами, предусмотренными абзацем вторым подпункта "е" пункта 15 настоящих Правил.
12. В целях направления проекта развития в Министерство сельского хозяйства Российской Федерации на отбор проектов развития заявитель направляет в уполномоченный орган документы для участия в отборе проектов развития, предусмотренные подпунктами "в" - "е" пункта 15 настоящих Правил.
13. Проверка заявителя, претендующего на получение гранта "Агропрофи", на соответствие требованиям, указанным в пункте 9 настоящих Правил, осуществляется уполномоченным органом.
14. Уполномоченный орган того субъекта Российской Федерации, на территории которого планируется реализация проекта развития, совместно с заявителем формирует заявочную документацию в целях ее направления в Министерство сельского хозяйства Российской Федерации.
15. Направляемая уполномоченным органом в Министерство сельского хозяйства Российской Федерации заявочная документация должна содержать:
а) сопроводительное письмо, подписанное руководителем уполномоченного органа (лицом, исполняющим обязанности руководителя уполномоченного органа);
б) опись документов заявочной документации с указанием количества листов по каждому документу;
в) заявку на участие в отборе проектов развития по каждому проекту развития, рекомендуемый образец которой размещается на официальном сайте Министерства сельского хозяйства Российской Федерации в информационно-телекоммуникационной сети "Интернет" (далее - официальный сайт);
г) паспорт проекта развития, рекомендуемый образец которого размещается на официальном сайте, по каждому проекту развития;
д) следующие документы, содержащие сведения о каждом заявителе:
согласие органа, осуществляющего функции и полномочия учредителя в отношении профильного колледжа, претендующего на получение гранта "Агропрофи", на участие в отборе проектов развития;
справка о соответствии заявителя требованиям пункта 9 настоящих Правил, рекомендуемый образец которой размещается на официальном сайте;
справка налогового органа, подтверждающая отсутствие у заявителя по состоянию на 1-е число месяца, предшествующего дате подачи документов в уполномоченный орган для участия в отборе проектов развития, неисполненной обязанности по уплате налогов, сборов, страховых взносов, пеней, штрафов, процентов, подлежащих уплате в соответствии с законодательством Российской Федерации о налогах и сборах, в сумме, превышающей 30 тыс. рублей;
согласие заявителя на осуществление уполномоченным органом и органом государственного финансового контроля проверок соблюдения целей, условий и порядка предоставления гранта "Агропрофи", составленное в произвольной форме, по каждому проекту развития;
копии соглашений о сотрудничестве, заключенных заявителем с иными организациями в соответствии с методическими рекомендациями, разработанными Министерством сельского хозяйства Российской Федерации, в целях развития на территории субъекта Российской Федерации агротехнологического образования и подготовки кадров для отрасли сельского хозяйства в рамках реализации федерального проекта "Кадры в агропромышленном комплексе";
е) подтверждающие (обосновывающие) документы по каждому проекту развития, в том числе:
копию утвержденной проектной документации и копии иных утвержденных документов, подготавливаемых в соответствии со статьей 48 Градостроительного кодекса Российской Федерации, в отношении каждого объекта капитального строительства, предлагаемого к реконструкции или капитальному ремонту в рамках реализации мероприятий проекта развития (далее - объект капитального строительства) (в случае если подготовка такой документации предусмотрена законодательством Российской Федерации);
копию заключения государственной экспертизы проектной документации (в случае если такое заключение предусмотрено законодательством Российской Федерации);
акт обследования объекта капитального строительства, составленный в произвольной форме и содержащий результаты обследования несущих строительных конструкций здания и оценки его технического состояния;
письмо, подписанное руководителем организации застройщика или технического заказчика или уполномоченными ими лицами, подтверждающее, что проектная документация и документы, указанные в абзацах втором и третьем настоящего подпункта, учитывают все работы для приведения объекта капитального строительства в нормативное техническое состояние, а также содержащее перечень запланированных проектной документацией работ по реконструкции или капитальному ремонту объекта капитального строительства;
результаты проведенного анализа обоснованности закупочных цен (с приложением подтверждающих документов) в случае приобретения в рамках реализации мероприятий проекта развития оборудования и иных товаров, включая сведения о соответствии закупаемых товаров требованиям законодательства Российской Федерации;
технико-экономическое обоснование приобретения оборудования, содержащее обоснование целесообразности его приобретения (в том числе планируемый режим его использования), включающее анализ затрат на приобретение и эксплуатацию промышленной продукции с учетом требований постановления Правительства Российской Федерации от 23 декабря 2024 г. N 1875 "О мерах по предоставлению национального режима при осуществлении закупок товаров, работ, услуг для обеспечения государственных и муниципальных нужд, закупок товаров, работ, услуг отдельными видами юридических лиц";
копии документов территориального органа Федеральной службы государственной регистрации, кадастра и картографии, подтверждающих оформление права государственной или муниципальной собственности или аренды на срок не менее 10 лет на земельные участки, на которых запланирована реализация мероприятий проекта развития (в случае если мероприятиями проекта развития предусматриваются реконструкция или капитальный ремонт объектов капитального строительства, а также приобретение оборудования);
фотоматериалы, характеризующие техническое состояние объекта капитального строительства, а также проектно-сметную документацию;
письмо, подписанное руководителем уполномоченного органа (лицом, исполняющим обязанности руководителя уполномоченного органа), подтверждающее наличие в бюджете субъекта Российской Федерации объема средств бюджета субъекта Российской Федерации, обеспечивающего уровень софинансирования расходных обязательств соответствующего субъекта Российской Федерации, возникающих при реализации проектов развития, на весь срок их реализации, а также (при наличии) дополнительных средств бюджета субъекта Российской Федерации, предусмотренных проектом развития на весь срок его реализации (с разбивкой по годам);
письмо, подписанное уполномоченным представителем исполнительного органа субъекта Российской Федерации в сфере образования, подтверждающее информацию о том, что финансовое обеспечение затрат заявителя, предусмотренных проектом развития, за счет иных направлений государственной поддержки не осуществляется;
гарантийное письмо заявителя, подтверждающее размер внебюджетных средств, предусмотренных проектом развития на весь срок его реализации (с разбивкой по годам), с копиями писем работодателей, подтверждающих планируемое участие в софинансировании мероприятий проекта развития, которые выданы не ранее чем за один месяц до направления заявочной документации на отбор проектов развития в Министерство сельского хозяйства Российской Федерации, с учетом установленного пунктом 7 настоящих Правил требования об обязательной доле средств внебюджетных источников работодателей (не менее 10 процентов) в стоимости проекта развития;
презентацию проекта развития в произвольной форме;
ж) документы о системе среднего профессионального образования в субъекте Российской Федерации, включающие:
справку, подписанную уполномоченным представителем исполнительного органа субъекта Российской Федерации в сфере образования, содержащую информацию о распределенных контрольных цифрах приема по профессиям, специальностям и (или) укрупненным группам профессий и специальностей для обучения по образовательным программам среднего профессионального образования за счет бюджета субъекта Российской Федерации за 3 года, предшествующие году отбора проектов развития, планируемых контрольных цифрах приема на год отбора проектов развития и 2 последующие года, в том числе распределенных заявителю, рекомендуемый образец которой размещается на официальном сайте;
акт субъекта Российской Федерации об утверждении списка (перечня) наиболее востребованных на региональном рынке труда новых и перспективных профессий, требующих среднего профессионального образования.
16. Документы, предусмотренные абзацами вторым - девятым подпункта "е" пункта 15 настоящих Правил, представляются в составе заявочной документации при их наличии.
По проектам развития, отобранным для предоставления гранта "Агропрофи", не позднее 1 апреля года, следующего за годом, в котором проходил отбор проектов развития, необходимо представить в дополнение к поданной ранее заявочной документации документы, предусмотренные абзацами вторым - девятым подпункта "е" пункта 15 настоящих Правил, в случае если указанные документы отсутствовали на день подачи заявочной документации. Если начало реализации мероприятия проекта развития запланировано на первый или второй год планового периода, допускается представление документов, предусмотренных абзацами вторым - девятым подпункта "е" пункта 15 настоящих Правил, не позднее 1 декабря года, предшествующего году начала реализации соответствующего мероприятия.
17. При отсутствии замечаний к заявочной документации проект развития включается в число проектов развития, допущенных к отбору проектов развития.
18. Основаниями для отказа в допуске проекта развития к участию в отборе проектов развития являются:
а) несоответствие заявителя требованиям, указанным в пункте 9 настоящих Правил;
б) непредставление (представление не в полном объеме) документов, указанных в заявочной документации;
в) несоответствие проекта развития требованиям, указанным в пунктах 7 и 11 настоящих Правил;
г) установление фактов недостоверности представленных уполномоченным органом и (или) заявителем сведений в заявочной документации;
д) несоответствие направлений затрат, указанных в проекте развития, целевым направлениям расходования гранта "Агропрофи", указанным в подпункте "в" пункта 8 настоящих Правил.
19. Оценка допущенной к отбору проектов развития заявочной документации осуществляется не позднее 1 сентября года, в котором проводится отбор проектов развития в соответствии с пунктами 33 - 35 настоящих Правил.
20. Проект развития признается отобранным для предоставления гранта "Агропрофи", если набранный им итоговый балл составляет не менее 10 процентов итогового балла, набранного проектом развития, находящимся на первом месте по результатам ранжирования.
21. При наличии высвобожденных средств федерального бюджета, а также в случае дополнительного выделения средств федерального бюджета на цели, указанные в пункте 1 настоящих Правил, принимается решение о дополнительном отборе проектов развития.
Перечень проектов развития для дополнительного отбора проектов развития формируется из числа проектов развития, в отношении которых представлена заявочная документация, набравших в результате ранжирования в соответствии с пунктом 35 настоящих Правил в рамках последнего проведенного отбора проектов развития наибольшие итоговые баллы, следующие за наименьшим итоговым баллом проекта развития, в отношении которого было принято решение об отборе проектов развития.
22. Формирование дополнительного перечня проектов развития осуществляется в отношении отобранных проектов развития, по которым уполномоченный орган в письменном виде подтвердил необходимость их реализации.
Основанием письменного подтверждения уполномоченным органом необходимости реализации проектов развития является извещение о представлении указанного подтверждения, направленное письмом Министерства сельского хозяйства Российской Федерации в адрес уполномоченного органа.
23. В случае если совокупный размер средств софинансирования из федерального бюджета гранта "Агропрофи" согласно заявочной документации превышает объем лимитов бюджетных обязательств, доведенных до Министерства сельского хозяйства Российской Федерации, перечень проектов развития, отобранных для предоставления гранта "Агропрофи", определяется в соответствии с итоговыми баллами в порядке убывания набранных баллов до исчерпания лимитов бюджетных ассигнований. Остаток лимита бюджетных обязательств в размере меньше запрашиваемого в заявочной документации размера гранта "Агропрофи" предлагается следующему заявителю, набравшему наибольший итоговый балл.
24. Если размер гранта "Агропрофи", предоставляемого на реализацию проекта развития, отобранного для предоставления гранта "Агропрофи", менее запрашиваемого в заявочной документации размера, грантополучатель в соответствии с подпунктом "б" пункта 8 настоящих Правил вправе:
а) привлечь дополнительно внебюджетные средства в целях реализации проекта развития в соответствии с общей стоимостью проекта развития, указанной в проекте развития;
б) отказаться от получения гранта "Агропрофи". В случае отказа от получения гранта "Агропрофи" грантополучатель должен проинформировать Министерство сельского хозяйства Российской Федерации и уполномоченный орган путем направления уведомления на бумажном носителе с одновременным направлением копии такого уведомления в электронном виде по адресу электронной почты Министерства сельского хозяйства Российской Федерации, указанному в объявлении о проведении отбора проектов, в течение 10 календарных дней со дня опубликования решения об отборе проектов развития.
25. Проект развития не подлежит изменению со дня признания его допущенным к отбору проектов развития и до дня подписания соглашения о предоставлении субсидии, заключаемого между Министерством сельского хозяйства Российской Федерации и высшим исполнительным органом субъекта Российской Федерации (далее - соглашение о предоставлении субсидии), за исключением случаев внесения изменений в проект развития, связанных с устранением технических неточностей и ошибок, не влекущих изменения стоимостных и объемных параметров проекта развития.
26. Внесение изменений в проект развития, в отношении реализации которого с соответствующим субъектом Российской Федерации заключено соглашение о предоставлении субсидии, допускается только в случаях, если такое изменение не повлечет увеличения принятых расходных обязательств федерального бюджета на весь период реализации проекта развития.
27. Одностороннее внесение изменений в проект развития грантополучателем, в том числе в части изменения объема финансового обеспечения проекта развития за счет собственных средств грантополучателя, не допускается.
28. Решение о внесении изменений в проект развития принимается на основании письменного обращения уполномоченного органа, подготовленного в связи с обращением грантополучателя в следующих случаях:
а) увеличение объема финансового обеспечения проекта развития со стороны грантополучателя и (или) бюджета субъекта Российской Федерации без изменения объема финансового обеспечения за счет субсидии;
б) изменение в сторону увеличения показателей результативности деятельности профильного колледжа без изменения объема финансового обеспечения проекта развития;
в) изменение наименования грантополучателя и (или) реорганизация грантополучателя в форме присоединения к юридическому лицу, являющемуся участником отбора проектов развития, другого юридического лица;
г) устранение технических неточностей и ошибок, не влекущих изменения стоимостных и объемных параметров проекта развития;
д) изменение размера затрат, на которые планируется расходовать грант "Агропрофи", в случае если в ходе реализации проекта развития уменьшилась стоимость товаров, работ, услуг и возникла необходимость перераспределения высвобождающихся средств на иные затраты;
е) изменение сроков реализации мероприятий проекта развития, не превышающих срок реализации проекта развития, указанный в пункте 11 настоящих Правил;
ж) изменение направлений затрат, планируемых за счет гранта "Агропрофи", которые не приводят к ухудшению показателей результативности деятельности и увеличению финансового обеспечения проекта развития и соответствуют целям реализации проекта развития.
29. К обращению уполномоченного органа о внесении изменений в проект развития должна прилагаться заявочная документация, откорректированная в связи с вносимыми в проект развития изменениями, а также документы, обосновывающие необходимость таких изменений.
30. В случае направления уполномоченным органом обращения о внесении изменений в проект развития, предусматривающих уменьшение объема бюджетных ассигнований федерального бюджета, предоставляемых для выполнения принятых расходных обязательств по финансовому обеспечению проекта развития, высвобождающиеся бюджетные ассигнования федерального бюджета перераспределяются в соответствии с бюджетным законодательством Российской Федерации.
31. Субсидии предоставляются при соблюдении субъектом Российской Федерации условий, предусмотренных абзацами вторым - четвертым пункта 8 Правил формирования, предоставления и распределения субсидий из федерального бюджета бюджетам субъектов Российской Федерации, утвержденных постановлением Правительства Российской Федерации от 30 сентября 2014 г. N 999 "О формировании, предоставлении и распределении субсидий из федерального бюджета бюджетам субъектов Российской Федерации" (далее - Правила предоставления субсидий).
32. Критерием отбора субъекта Российской Федерации для предоставления субсидии является наличие проекта (проектов) развития, отобранного (отобранных) для предоставления гранта "Агропрофи".
Перечень проектов развития и заявочная документация направляются уполномоченным органом в Министерство сельского хозяйства Российской Федерации до 1 августа года, предшествующего году предоставления субсидии.
33. Отбор проектов развития осуществляется на основании сведений, приведенных в заявочной документации в соответствии с величиной, значениями показателей (баллами) и весом критериев отбора проектов развития согласно приложению (далее - критерии отбора проектов развития).
34. Балл по каждому критерию отбора проектов развития определяется путем умножения величины присвоенного значения показателя (балла) по критерию отбора проектов развития на его весовое значение.
Общий балл, присуждаемый каждому проекту развития, определяется путем сложения баллов по каждому критерию отбора проектов развития.
35. По итогам расчета критериев отбора проектов развития осуществляется ранжирование проектов развития в зависимости от количества набранных итоговых баллов (от наибольшего к наименьшему значению).
В случае если несколько проектов развития получили одинаковое количество итоговых баллов, проекту развития, заявочная документация по которому поступила в Министерство сельского хозяйства Российской Федерации раньше, присваивается более высокое место в рейтинге проектов развития.
36. Субсидия предоставляется на основании соглашения о предоставлении субсидии, подготовленного (сформированного) с использованием государственной интегрированной информационной системы управления общественными финансами "Электронный бюджет" в соответствии с типовой формой, утвержденной Министерством финансов Российской Федерации.
Субъект Российской Федерации может увеличить объем бюджетных ассигнований на финансовое обеспечение расходных обязательств субъекта Российской Федерации, в целях софинансирования которых бюджету субъекта Российской Федерации предоставляется субсидия, в том числе в целях достижения значения результата использования субсидии, установленного соглашением о предоставлении субсидии, что не повлечет возникновения обязательств по увеличению размера субсидии.
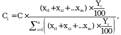
37. Размер субсидии, предоставляемой бюджету i-го субъекта Российской Федерации в соответствующем финансовом году (Ci), определяется по формуле:
C - общий объем бюджетных ассигнований в федеральном бюджете на предоставление субсидий в целях софинансирования расходных обязательств субъектов Российской Федерации на цели, указанные в пункте 1 настоящих Правил, предусмотренных на соответствующий финансовый год Министерству сельского хозяйства Российской Федерации (тыс. рублей);
xi1, xi2, xin - размер гранта "Агропрофи", предусмотренного на реализацию каждого проекта развития, отобранного для предоставления гранта "Агропрофи", в i-м субъекте Российской Федерации;
Yi - предельный уровень софинансирования расходного обязательства i-го субъекта Российской Федерации из федерального бюджета на очередной финансовый год (процентов), определяемый в соответствии с пунктом 13(1.1) Правил предоставления субсидий;
n - количество проектов развития, отобранных для предоставления гранта "Агропрофи".
Размер субсидии не может превышать общий размер грантов "Агропрофи", предусмотренных на реализацию проектов развития, отобранных для предоставления гранта "Агропрофи".
38. При распределении субсидий между субъектами Российской Федерации размер субсидии бюджету субъекта Российской Федерации не может превышать размер средств на исполнение расходного обязательства субъекта Российской Федерации, в целях софинансирования которого предоставляется субсидия.
Распределение субсидий на соответствующий финансовый год осуществляется в первую очередь субъектам Российской Федерации на фактически реализуемые в соответствии с ранее заключенными соглашениями о предоставлении субсидий проекты развития, которые содержат мероприятия, требующие софинансирования из федерального бюджета в соответствующем финансовом году.
В случае выделения дополнительных бюджетных ассигнований федерального бюджета в текущем финансовом году на предоставление субсидии на цели, указанные в пункте 1 настоящих Правил, либо в случае отказа субъекта Российской Федерации от реализации мероприятия проекта развития перераспределение субсидии осуществляется субъекту Российской Федерации на реализацию проекта развития, отобранного для предоставления гранта "Агропрофи", имеющего наибольший общий балл в соответствии с результатами ранжирования.
39. В случае отсутствия у субъекта Российской Федерации в текущем финансовом году потребности в субсидии невостребованные бюджетные ассигнования на предоставление субсидии перераспределяются между субъектами Российской Федерации, имеющими право на получение субсидий в соответствии с настоящими Правилами, на основании письменных обращений уполномоченных органов, представленных в Министерство сельского хозяйства Российской Федерации до 1 сентября текущего финансового года, в соответствии с бюджетным законодательством Российской Федерации.
40. Перечисление субсидий осуществляется в установленном порядке на единые счета бюджетов, открытые финансовым органам субъектов Российской Федерации в территориальных органах Федерального казначейства.
41. Уполномоченный орган размещает в сроки, установленные соглашением о предоставлении субсидии, в государственной интегрированной информационной системе управления общественными финансами "Электронный бюджет" отчетность об осуществлении расходов бюджета субъекта Российской Федерации, в целях софинансирования которых предоставляется субсидия, и отчетность о достижении значения результата использования субсидии.
42. Эффективность использования субсидии оценивается ежегодно на основе результата использования субсидии "Реализованы проекты развития образовательных организаций, реализующих образовательные программы среднего профессионального образования для подготовки кадров отрасли сельского хозяйства (единиц)".
43. Оценка эффективности использования субсидии осуществляется Министерством сельского хозяйства Российской Федерации в соответствии с методикой оценки эффективности проектов развития образовательных организаций, реализующих образовательные программы среднего профессионального образования для подготовки кадров агропромышленного комплекса, утверждаемой Министерством.
44. Оценка эффективности использования субсидии на основе результата использования субсидии, предусмотренного пунктом 42 настоящих Правил, осуществляется на основании отчета об эффективности использования субсидии, представляемого уполномоченным органом в Министерство сельского хозяйства Российской Федерации.
Форма отчета об эффективности использования субсидии и сроки его представления определяются Министерством сельского хозяйства Российской Федерации.
45. В случае если при формировании проекта федерального закона о федеральном бюджете на очередной финансовый год и плановый период субъектом Российской Федерации до 10 августа текущего финансового года представлено в Министерство сельского хозяйства Российской Федерации обращение, содержащее информацию об отсутствии частичной или полной потребности в субсидии, невостребованная субсидия распределяется между бюджетами других субъектов Российской Федерации, имеющих право на получение субсидий в соответствии с настоящими Правилами.
46. Порядок и условия возврата средств из бюджета субъекта Российской Федерации в федеральный бюджет в случае нарушения субъектом Российской Федерации обязательств, предусмотренных соглашением о предоставлении субсидии в соответствии с подпунктами "б(1)" и "в" пункта 10 Правил предоставления субсидий, а также основания для освобождения субъекта Российской Федерации от применения мер финансовой ответственности установлены пунктами 16 - 20 Правил предоставления субсидий.
47. В случае нарушения целей, установленных при предоставлении субсидии, применяются бюджетные меры принуждения, предусмотренные бюджетным законодательством Российской Федерации.
48. Ответственность за достоверность представляемых в Министерство сельского хозяйства Российской Федерации сведений и соблюдение условий предоставления субсидий, а также контроль за реализацией проекта развития возлагаются на высший исполнительный орган субъекта Российской Федерации или уполномоченный орган.
49. Контроль за соблюдением субъектами Российской Федерации условий предоставления субсидий осуществляется Министерством сельского хозяйства Российской Федерации и уполномоченными органами государственного финансового контроля.
к Правилам предоставления и распределения
субсидий из федерального бюджета бюджетам
субъектов Российской Федерации на создание
системы поддержки образовательных
организаций, реализующих образовательные
программы среднего профессионального
образования для подготовки кадров
агропромышленного комплекса
ОТБОРА ПРОЕКТОВ РАЗВИТИЯ, УКАЗАННЫХ В ПУНКТЕ 2 ПРИЛОЖЕНИЯ
N 22(3) К ГОСУДАРСТВЕННОЙ ПРОГРАММЕ РАЗВИТИЯ СЕЛЬСКОГО
ХОЗЯЙСТВА И РЕГУЛИРОВАНИЯ РЫНКОВ СЕЛЬСКОХОЗЯЙСТВЕННОЙ
ПРОДУКЦИИ, СЫРЬЯ И ПРОДОВОЛЬСТВИЯ
2. В приложении N 3 к государственной программе Российской Федерации "Комплексное развитие сельских территорий", утвержденной постановлением Правительства Российской Федерации от 31 мая 2019 г. N 696 "Об утверждении государственной программы Российской Федерации "Комплексное развитие сельских территорий" и о внесении изменений в некоторые акты Правительства Российской Федерации" (Собрание законодательства Российской Федерации, 2019, N 23, ст. 2953; 2020, N 15, ст. 2259; 2023, N 1, ст. 234; 2024, N 1, ст. 148; N 51, ст. 8056; Официальный интернет-портал правовой информации (www.pravo.gov.ru), 2025, 26 ноября, N 0001202511260028):
а) в подпункте "б" пункта 2:
в предложении первом абзаца восьмого слова "опорного населенного пункта" заменить словами "сельской агломерации", слова "(за исключением инвестиционного фонда, в том числе его управляющей компании)" заменить словами "(за исключением управляющей компании инвестиционного фонда)";
дополнить абзацем следующего содержания:
"приобретении жилого помещения в многоквартирном доме, расположенном на сельских территориях и в сельских агломерациях, у юридического лица (за исключением управляющей компании инвестиционного фонда) или индивидуального предпринимателя, являющегося первым и единственным собственником такого жилого помещения и зарегистрировавшего право собственности на указанное жилое помещение после получения разрешения на ввод объекта недвижимости в эксплуатацию, в случае если работодателем гражданина - получателя жилья по договору найма жилого помещения является образовательная организация, реализующая образовательные программы среднего профессионального образования, высшего образования, основные программы профессионального обучения, дополнительные профессиональные программы и находящаяся в ведении Министерства сельского хозяйства Российской Федерации, или Федеральной службы по ветеринарному и фитосанитарному надзору, или Федерального агентства по рыболовству, или научная организация, находящаяся в ведении Министерства сельского хозяйства Российской Федерации, или Федеральной службы по ветеринарному и фитосанитарному надзору, или Федерального агентства по рыболовству;";
б) в пункте 25(2) слова "отчетность о расходах" заменить словами "отчетность об осуществлении расходов бюджета субъекта Российской Федерации";
в) в приложении N 2 к указанному приложению N 3:
в пункте 1:
в абзаце восьмом слова "опорном населенном пункте" заменить словами "сельской агломерации", слова "(за исключением инвестиционного фонда, в том числе его управляющей компании)" заменить словами "(за исключением управляющей компании инвестиционного фонда)";
дополнить абзацем следующего содержания:
"приобретения жилого помещения в многоквартирном доме, расположенном на сельских территориях и в сельских агломерациях, у юридического лица (за исключением управляющей компании инвестиционного фонда) или индивидуального предпринимателя, являющегося первым и единственным собственником такого жилого помещения и зарегистрировавшего право собственности на указанное жилое помещение после получения разрешения на ввод объекта недвижимости в эксплуатацию, в случае если работодателем гражданина - получателя жилья по договору найма жилого помещения является образовательная организация, реализующая образовательные программы среднего профессионального образования, высшего образования, основные программы профессионального обучения, дополнительные профессиональные программы и находящаяся в ведении Министерства сельского хозяйства Российской Федерации, или Федеральной службы по ветеринарному и фитосанитарному надзору, или Федерального агентства по рыболовству (далее - профильная образовательная организация), или научная организация, находящаяся в ведении Министерства сельского хозяйства Российской Федерации, или Федеральной службы по ветеринарному и фитосанитарному надзору, или Федерального агентства по рыболовству (далее - профильное научное учреждение).";
пункт 4 дополнить подпунктом "г" следующего содержания:
"г) гражданин, осуществляющий трудовую деятельность в профильной образовательной организации или профильном научном учреждении, при соблюдении условия о признании его имеющим право на получение жилья по договору найма жилого помещения комиссией, созданной в профильной образовательной организации или профильном научном учреждении.";
в пункте 8:
в подпункте "в" слова "в подпунктах "б" и "в" пункта 4" заменить словами "в подпунктах "б" - "г" пункта 4";
подпункт "г" дополнить словами ", или копий документов, подтверждающих соответствие условию, установленному подпунктом "г" пункта 4 настоящего Положения";
абзац первый пункта 17 изложить в следующей редакции:
"17. Жилые помещения (жилые дома), построенные (приобретенные) в соответствии с настоящим Положением, относятся к жилищному фонду коммерческого использования и предоставляются гражданам в возмездное владение и пользование по договору найма жилого помещения в соответствии с Гражданским кодексом Российской Федерации. В указанном договоре предусматривается срок работы гражданина по трудовому договору с работодателем в течение не менее 10 лет, по истечении которого гражданин имеет право на приобретение указанного жилого помещения в свою собственность по цене, не превышающей 1 процента расчетной стоимости строительства (приобретения) жилья (далее - выкупная цена жилья). Уплата средств в размере выкупной цены жилья может производиться по усмотрению нанимателей жилого помещения ежемесячно (ежеквартально) равными долями в течение указанного срока без права досрочного внесения платежей.";
в пункте 18:
подпункт "а" изложить в следующей редакции:
"а) работа нанимателя жилого помещения у работодателя по трудовому договору в течение не менее 10 лет на сельских территориях, территориях опорных населенных пунктов, прилегающих территориях в границах муниципального района (городского поселения, муниципального округа, городского округа), на которых предоставляется жилое помещение, со дня оформления договора найма жилого помещения, за исключением случая, указанного в подпункте "б" настоящего пункта, а в случае если право на получение жилья возникло при соответствии гражданина условию, указанному в подпункте "г" пункта 4 настоящего Положения, - работа нанимателя жилого помещения в профильной образовательной организации или профильном научном учреждении по трудовому договору в течение не менее 10 лет со дня оформления договора найма жилого помещения;";
дополнить подпунктом "в" следующего содержания:
"в) регистрация гражданина, указанного в подпункте "г" пункта 4 настоящего Положения, по месту жительства (месту пребывания) в жилом помещении, указанном в абзаце девятом пункта 1 настоящего Положения.".
- Гражданский кодекс (ГК РФ)
- Жилищный кодекс (ЖК РФ)
- Налоговый кодекс (НК РФ)
- Трудовой кодекс (ТК РФ)
- Уголовный кодекс (УК РФ)
- Бюджетный кодекс (БК РФ)
- Арбитражный процессуальный кодекс
- Конституция РФ
- Земельный кодекс (ЗК РФ)
- Лесной кодекс (ЛК РФ)
- Семейный кодекс (СК РФ)
- Уголовно-исполнительный кодекс
- Уголовно-процессуальный кодекс
- Производственный календарь на 2025 год
- МРОТ 2025
- ФЗ «О банкротстве»
- О защите прав потребителей (ЗОЗПП)
- Об исполнительном производстве
- О персональных данных
- О налогах на имущество физических лиц
- О средствах массовой информации
- Производственный календарь на 2026 год
- Федеральный закон "О полиции" N 3-ФЗ
- Расходы организации ПБУ 10/99
- Минимальный размер оплаты труда (МРОТ)
- Календарь бухгалтера на 2025 год
- Частичная мобилизация: обзор новостей
- Постановление Правительства РФ N 1875

