к государственной программе
Российской Федерации "Развитие
промышленности и повышение
ее конкурентоспособности"
ПРАВИЛА
ПРЕДОСТАВЛЕНИЯ В 2023 ГОДУ ИНОГО МЕЖБЮДЖЕТНОГО ТРАНСФЕРТА
ИЗ ФЕДЕРАЛЬНОГО БЮДЖЕТА БЮДЖЕТУ БЕЛГОРОДСКОЙ ОБЛАСТИ,
ИСТОЧНИКОМ ФИНАНСОВОГО ОБЕСПЕЧЕНИЯ КОТОРОГО ЯВЛЯЮТСЯ
БЮДЖЕТНЫЕ АССИГНОВАНИЯ РЕЗЕРВНОГО ФОНДА ПРАВИТЕЛЬСТВА
РОССИЙСКОЙ ФЕДЕРАЦИИ, В ЦЕЛЯХ СОФИНАНСИРОВАНИЯ В ПОЛНОМ
ОБЪЕМЕ РАСХОДНЫХ ОБЯЗАТЕЛЬСТВ БЕЛГОРОДСКОЙ ОБЛАСТИ,
ВОЗНИКАЮЩИХ ПРИ РЕАЛИЗАЦИИ МЕРОПРИЯТИЯ ПО ФИНАНСОВОМУ
ОБЕСПЕЧЕНИЮ ДЕЯТЕЛЬНОСТИ (ДОКАПИТАЛИЗАЦИИ) МИКРОКРЕДИТНОЙ
КОМПАНИИ БЕЛГОРОДСКИЙ ОБЛАСТНОЙ ФОНД ПОДДЕРЖКИ МАЛОГО
И СРЕДНЕГО ПРЕДПРИНИМАТЕЛЬСТВА В РАМКАХ РЕГИОНАЛЬНОЙ
ПРОГРАММЫ РАЗВИТИЯ ПРОМЫШЛЕННОСТИ
ПРАВИЛА
ПРЕДОСТАВЛЕНИЯ В 2023 ГОДУ ИНОГО МЕЖБЮДЖЕТНОГО ТРАНСФЕРТА
ИЗ ФЕДЕРАЛЬНОГО БЮДЖЕТА БЮДЖЕТУ БЕЛГОРОДСКОЙ ОБЛАСТИ,
ИСТОЧНИКОМ ФИНАНСОВОГО ОБЕСПЕЧЕНИЯ КОТОРОГО ЯВЛЯЮТСЯ
БЮДЖЕТНЫЕ АССИГНОВАНИЯ РЕЗЕРВНОГО ФОНДА ПРАВИТЕЛЬСТВА
РОССИЙСКОЙ ФЕДЕРАЦИИ, В ЦЕЛЯХ СОФИНАНСИРОВАНИЯ В ПОЛНОМ
ОБЪЕМЕ РАСХОДНЫХ ОБЯЗАТЕЛЬСТВ БЕЛГОРОДСКОЙ ОБЛАСТИ,
ВОЗНИКАЮЩИХ ПРИ РЕАЛИЗАЦИИ МЕРОПРИЯТИЯ ПО ФИНАНСОВОМУ
ОБЕСПЕЧЕНИЮ ДЕЯТЕЛЬНОСТИ (ДОКАПИТАЛИЗАЦИИ) МИКРОКРЕДИТНОЙ
КОМПАНИИ БЕЛГОРОДСКИЙ ОБЛАСТНОЙ ФОНД ПОДДЕРЖКИ МАЛОГО
И СРЕДНЕГО ПРЕДПРИНИМАТЕЛЬСТВА В РАМКАХ РЕГИОНАЛЬНОЙ
ПРОГРАММЫ РАЗВИТИЯ ПРОМЫШЛЕННОСТИ
Список изменяющих документов
(введены Постановлением Правительства РФ от 14.06.2023 N 982)
1. Настоящие Правила устанавливают цели, условия и порядок предоставления в 2023 году иного межбюджетного трансферта из федерального бюджета бюджету Белгородской области, источником финансового обеспечения которого являются бюджетные ассигнования резервного фонда Правительства Российской Федерации, в целях софинансирования в полном объеме расходных обязательств Белгородской области, возникающих при реализации мероприятия по финансовому обеспечению деятельности (докапитализации) микрокредитной компании Белгородский областной фонд поддержки малого и среднего предпринимательства в рамках региональной программы развития промышленности (далее соответственно - иной межбюджетный трансферт, фонд).
Под региональной программой развития промышленности понимается государственная программа Белгородской области, содержащая мероприятия по развитию промышленности в Белгородской области.
Иной межбюджетный трансферт предоставляется в целях софинансирования в полном объеме расходных обязательств Белгородской области, возникающих при предоставлении субсидий из бюджета Белгородской области фонду в целях предоставления финансовой поддержки субъектам деятельности в сфере промышленности в форме займов в порядке, установленном высшим исполнительным органом Белгородской области и согласованном с Министерством промышленности и торговли Российской Федерации.
2. Иной межбюджетный трансферт предоставляется Белгородской области в пределах лимитов бюджетных обязательств, доведенных до Министерства промышленности и торговли Российской Федерации как получателя средств федерального бюджета на предоставление иного межбюджетного трансферта на цели, указанные в пункте 1 настоящих Правил.
Средства из бюджета субъекта Российской Федерации, источником софинансирования которых является иной межбюджетный трансферт, не могут быть направлены на финансовое обеспечение административно-хозяйственной деятельности фонда.
3. Условиями предоставления иного межбюджетного трансферта являются:
а) наличие региональной программы развития промышленности, утвержденной правовым актом Белгородской области, в составе которой содержится отдельное мероприятие по осуществлению полномочия Белгородской области по финансовому обеспечению деятельности (докапитализации) фонда в рамках региональной программы развития промышленности (далее - мероприятие региональной программы);
б) наличие в составе мероприятия региональной программы результатов предоставления иного межбюджетного трансферта, предусмотренных пунктом 5 настоящих Правил;
в) заключение соглашения о предоставлении иного межбюджетного трансферта из федерального бюджета между Министерством промышленности и торговли Российской Федерации и высшим исполнительным органом Белгородской области с использованием государственной интегрированной информационной системы управления общественными финансами "Электронный бюджет" в соответствии с типовой формой соглашения, утвержденной Министерством финансов Российской Федерации (далее - соглашение).
4. При заключении соглашения высший исполнительный орган Белгородской области представляет в Министерство промышленности и торговли Российской Федерации отчетность об исполнении условий предоставления иного межбюджетного трансферта, предусмотренных подпунктами "а" и "б" пункта 3 настоящих Правил.
Министерство промышленности и торговли Российской Федерации на основании представленной высшим исполнительным органом Белгородской области отчетности об исполнении условий предоставления иного межбюджетного трансферта, предусмотренных подпунктами "а" и "б" пункта 3 настоящих Правил, осуществляет контроль за соблюдением Белгородской областью условий предоставления иного межбюджетного трансферта.
5. Результатом предоставления иного межбюджетного трансферта, значения которого устанавливаются в соглашении, является количество поддержанных инвестиционных проектов.
6. Оценка эффективности предоставления иного межбюджетного трансферта осуществляется Министерством промышленности и торговли Российской Федерации в течение 2 месяцев со дня представления отчетов, указанных в пункте 10 настоящих Правил, путем сравнения установленных в соглашении значений результата предоставления иного межбюджетного трансферта с фактически достигнутыми значениями этого результата в отчетном периоде.
7. Иной межбюджетный трансферт предоставляется на основании соглашения, содержащего в том числе обязательство Белгородской области включить в нормативные правовые акты, на основании которых фонду будут предоставлены субсидии, положения, закрепляющие обязательство фонда по использованию средств из бюджета Белгородской области, источником софинансирования которых является иной межбюджетный трансферт, предоставленный в соответствии с настоящими Правилами в полном размере до 31 декабря 2023 г., а также обязательство по использованию фондом средств, полученных при возврате займов, процентов по ним и иных доходов в форме штрафов и пеней, источником финансового обеспечения которых являлись средства иного межбюджетного трансферта, исключительно на цели оказания финансовой поддержки субъектов деятельности в сфере промышленности в соответствии со статьей 11 Федерального закона "О промышленной политике в Российской Федерации" и уставом фонда.
8. Внесение в соглашение изменений, предусматривающих ухудшение значений результата предоставления иного межбюджетного трансферта, не допускается в течение всего периода действия соглашения, за исключением следующих случаев:
если выполнение условий предоставления иного межбюджетного трансферта оказалось невозможным вследствие наступления обстоятельств непреодолимой силы;
если произошло существенное (более чем на 20 процентов) сокращение размера иного межбюджетного трансферта в связи с уменьшением лимитов бюджетных обязательств, доведенных до Министерства промышленности и торговли Российской Федерации как получателя средств федерального бюджета, приводящим к невозможности предоставления иного межбюджетного трансферта в размере, определенном в соглашении.
9. Перечисление иного межбюджетного трансферта осуществляется в установленном порядке на единый счет бюджета Белгородской области, открытый финансовому органу Белгородской области в территориальном органе Федерального казначейства.
10. Орган исполнительной власти Белгородской области, уполномоченный высшим исполнительным органом Белгородской области, размещает в соответствии с соглашением в государственной интегрированной информационной системе управления общественными финансами "Электронный бюджет":
отчет об осуществлении расходов бюджета Белгородской области, в целях софинансирования которых предоставляется иной межбюджетный трансферт, - ежеквартально, не позднее 15-го числа месяца, следующего за отчетным кварталом;
отчет о достижении значений результата предоставления иного межбюджетного трансферта - в сроки, установленные соглашением.
11. В случае если Белгородской областью по состоянию на 31 декабря года предоставления иного межбюджетного трансферта допущено нарушение обязательств по достижению значений результата предоставления иного межбюджетного трансферта, установленного соглашением, размер средств, подлежащих возврату из бюджета Белгородской области в федеральный бюджет до 1 июня года, следующего за годом предоставления иного межбюджетного трансферта (Vвозврата), определяется по формуле:
Vмбт - размер иного межбюджетного трансферта, предоставленного Белгородской области;
Di - индекс, отражающий уровень недостижения значения результата предоставления иного межбюджетного трансферта (при расчете используются только Di > 0).
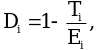
12. Индекс, отражающий уровень недостижения значения результата предоставления иного межбюджетного трансферта (Di), определяется по формуле:
Ti - фактически достигнутое значение результата предоставления иного межбюджетного трансферта на отчетную дату;
Ei - плановое значение результата предоставления иного межбюджетного трансферта, установленное соглашением.
13. Основанием для освобождения Белгородской области от применения мер ответственности, предусмотренных пунктом 11 настоящих Правил, является документально подтвержденное наступление следующих обстоятельств непреодолимой силы, препятствующих исполнению соответствующих обязательств:
а) установление регионального (межмуниципального) и (или) местного уровня реагирования на чрезвычайную ситуацию, подтвержденное правовым актом органа Белгородской области и (или) органа местного самоуправления;
б) факт установления карантина и (или) иных ограничений, направленных на предотвращение распространения и ликвидацию очагов заразных и иных болезней животных, подтвержденное правовым актом органа Белгородской области;
в) аномальные погодные условия, подтвержденные справкой территориального органа Федеральной службы по гидрометеорологии и мониторингу окружающей среды;
г) наличие вступившего в законную силу в году предоставления иного межбюджетного трансферта решения арбитражного суда о признании несостоятельной (банкротом) организации, деятельность которой оказывала влияние на исполнение обязательств, предусмотренных соглашением.
14. В случае нарушения Белгородской областью целей, установленных при предоставлении иного межбюджетного трансферта, применяются бюджетные меры принуждения в соответствии с бюджетным законодательством Российской Федерации.
15. Ответственность за достоверность представляемых в Министерство промышленности и торговли Российской Федерации информации и документов, которые предусмотрены настоящими Правилами, возлагается на высший исполнительный орган Белгородской области.
16. Контроль за соблюдением Белгородской областью условий предоставления иного межбюджетного трансферта осуществляется Министерством промышленности и торговли Российской Федерации и органами государственного финансового контроля.
- Гражданский кодекс (ГК РФ)
- Жилищный кодекс (ЖК РФ)
- Налоговый кодекс (НК РФ)
- Трудовой кодекс (ТК РФ)
- Уголовный кодекс (УК РФ)
- Бюджетный кодекс (БК РФ)
- Арбитражный процессуальный кодекс
- Конституция РФ
- Земельный кодекс (ЗК РФ)
- Лесной кодекс (ЛК РФ)
- Семейный кодекс (СК РФ)
- Уголовно-исполнительный кодекс
- Уголовно-процессуальный кодекс
- Производственный календарь на 2025 год
- МРОТ 2025
- ФЗ «О банкротстве»
- О защите прав потребителей (ЗОЗПП)
- Об исполнительном производстве
- О персональных данных
- О налогах на имущество физических лиц
- О средствах массовой информации
- Производственный календарь на 2026 год
- Федеральный закон "О полиции" N 3-ФЗ
- Расходы организации ПБУ 10/99
- Минимальный размер оплаты труда (МРОТ)
- Календарь бухгалтера на 2025 год
- Частичная мобилизация: обзор новостей
- Постановление Правительства РФ N 1875
