Приложение N 15

к государственной программе

Российской Федерации "Обеспечение

доступным и комфортным жильем

и коммунальными услугами граждан

Российской Федерации"

ПРАВИЛА
ПРЕДОСТАВЛЕНИЯ И РАСПРЕДЕЛЕНИЯ СУБСИДИЙ ИЗ ФЕДЕРАЛЬНОГО
БЮДЖЕТА БЮДЖЕТАМ СУБЪЕКТОВ РОССИЙСКОЙ ФЕДЕРАЦИИ И БЮДЖЕТУ
Г. БАЙКОНУРА НА ПОДДЕРЖКУ ГОСУДАРСТВЕННЫХ ПРОГРАММ
ФОРМИРОВАНИЯ СОВРЕМЕННОЙ ГОРОДСКОЙ СРЕДЫ СУБЪЕКТОВ
РОССИЙСКОЙ ФЕДЕРАЦИИ И Г. БАЙКОНУРА И МУНИЦИПАЛЬНЫХ
ПРОГРАММ ФОРМИРОВАНИЯ СОВРЕМЕННОЙ ГОРОДСКОЙ СРЕДЫ

Список изменяющих документов

(в ред. Постановлений Правительства РФ от 09.02.2019 N 106,

от 07.05.2019 N 567, от 30.11.2019 N 1546, от 26.12.2019 N 1853,

от 31.03.2020 N 399, от 18.09.2020 N 1481,

от 08.10.2020 N 1630 (ред. 29.12.2020), от 05.11.2020 N 1785,

от 29.12.2020 N 2341, от 02.12.2022 N 2214, от 09.12.2022 N 2272,

от 22.03.2023 N 443, от 30.11.2023 N 2034, от 05.08.2024 N 1053,

от 30.11.2024 N 1699, от 24.03.2025 N 350)

1. Настоящие Правила устанавливают цели, порядок и условия предоставления и распределения субсидий из федерального бюджета бюджетам субъектов Российской Федерации и бюджету г. Байконура в целях софинансирования расходных обязательств субъектов Российской Федерации и г. Байконура, возникающих при реализации мероприятий, направленных на поддержку государственных программ (подпрограмм) формирования современной городской среды субъектов Российской Федерации и г. Байконура и муниципальных программ (подпрограмм) формирования современной городской среды в рамках федерального проекта "Формирование комфортной городской среды" в составе государственной программы Российской Федерации "Обеспечение доступным и комфортным жильем и коммунальными услугами граждан Российской Федерации" (далее соответственно - федеральный проект, государственная программа, муниципальная программа, субсидия из федерального бюджета).

(в ред. Постановлений Правительства РФ от 30.11.2023 N 2034, от 30.11.2024 N 1699)

(см. текст в предыдущей редакции)

2. Субсидии из федерального бюджета предоставляются в целях:

а) софинансирования расходных обязательств субъектов Российской Федерации и г. Байконура, связанных с реализацией государственных программ, направленных на реализацию мероприятий по благоустройству территорий соответствующего функционального назначения (площадей, набережных, улиц, пешеходных зон, скверов, парков, иных территорий, частей указанных территорий в случаях, когда реализация мероприятий по благоустройству части территории может быть завершена отдельно от мероприятий по благоустройству других частей этой же территории) (далее - общественные территории), дворовых территорий и мероприятий по строительству, реконструкции (модернизации) объектов капитального строительства в рамках мероприятий по благоустройству общественных территорий (далее - строительство объектов капитального строительства, объекты капитального строительства), а также по осуществлению строительного контроля в процессе строительства объектов капитального строительства;

(в ред. Постановлений Правительства РФ от 30.11.2023 N 2034, от 24.03.2025 N 350)

(см. текст в предыдущей редакции)

б) предоставления субсидий из бюджета субъекта Российской Федерации местным бюджетам на софинансирование реализации муниципальных программ, направленных на реализацию мероприятий по благоустройству общественных территорий, дворовых территорий и мероприятий по строительству объектов капитального строительства, а также по осуществлению строительного контроля в процессе строительства объектов капитального строительства (далее - субсидии из бюджетов субъектов Российской Федерации).

3. Для целей настоящих Правил:

под дворовой территорией понимается совокупность территорий, прилегающих к многоквартирным домам, с расположенными на них объектами, предназначенными для обслуживания и эксплуатации таких домов, и элементами благоустройства этих территорий, в том числе парковками (парковочными местами), тротуарами и автомобильными дорогами, включая автомобильные дороги, образующие проезды к территориям, прилегающим к многоквартирным домам;

абзац утратил силу. - Постановление Правительства РФ от 02.12.2022 N 2214;

(см. текст в предыдущей редакции)

под городским хозяйством понимается комплекс объектов, образующих инфраструктуру города (объекты жилищно-коммунального хозяйства, дорожного хозяйства, транспортного обслуживания, общественной безопасности, услуг связи, места массового отдыха и общественные территории);

(абзац введен Постановлением Правительства РФ от 31.03.2020 N 399)

абзац утратил силу с 1 января 2025 года. - Постановление Правительства РФ от 30.11.2024 N 1699;

(см. текст в предыдущей редакции)

под платформой по голосованию за объекты благоустройства понимается информационная система, предназначенная для проведения голосования граждан в возрасте от 14 лет по отбору общественных территорий, подлежащих благоустройству в рамках реализации государственных программ субъектов Российской Федерации и г. Байконура и муниципальных программ, использование которой согласовано с Министерством строительства и жилищно-коммунального хозяйства Российской Федерации для использования субъектами Российской Федерации и г. Байконуром.

(абзац введен Постановлением Правительства РФ от 02.12.2022 N 2214; в ред. Постановления Правительства РФ от 30.11.2023 N 2034)

(см. текст в предыдущей редакции)

4. Субсидии из федерального бюджета предоставляются в пределах лимитов бюджетных обязательств, доведенных до Министерства строительства и жилищно-коммунального хозяйства Российской Федерации как получателя средств федерального бюджета, на цели, указанные в пункте 2 настоящих Правил.

(в ред. Постановления Правительства РФ от 02.12.2022 N 2214)

(см. текст в предыдущей редакции)

4(1). Критерием отбора субъектов Российской Федерации и г. Байконура для предоставления субсидии из федерального бюджета является реализация на территории субъекта Российской Федерации и г. Байконура регионального проекта, обеспечивающего достижение показателей и результатов федерального проекта, осуществляемая в соответствии с соглашением, предусмотренным пунктом 45 Положения об организации проектной деятельности в Правительстве Российской Федерации, утвержденного постановлением Правительства Российской Федерации от 31 октября 2018 г. N 1288 "Об организации проектной деятельности в Правительстве Российской Федерации".

(п. 4(1) введен Постановлением Правительства РФ от 02.12.2022 N 2214; в ред. Постановления Правительства РФ от 30.11.2023 N 2034)

(см. текст в предыдущей редакции)

5. В целях получения субсидий из федерального бюджета на софинансирование строительства объектов капитального строительства и (или) предоставления субсидий из бюджетов субъектов Российской Федерации на софинансирование строительства объектов капительного строительства субъекты Российской Федерации и г. Байконур дополнительно представляют в Министерство строительства и жилищно-коммунального хозяйства Российской Федерации следующие сведения и документы в отношении каждого объекта капитального строительства:

(в ред. Постановлений Правительства РФ от 02.12.2022 N 2214, от 30.11.2023 N 2034)

(см. текст в предыдущей редакции)

наименование объекта капитального строительства;

мощность объекта капитального строительства, подлежащего вводу в эксплуатацию;

срок ввода в эксплуатацию объекта капитального строительства;

потребность в средствах федерального бюджета;

(в ред. Постановления Правительства РФ от 02.12.2022 N 2214)

(см. текст в предыдущей редакции)

копии положительного заключения государственной экспертизы проектной документации, содержащего оценку достоверности определения сметной стоимости строительства объектов капитального строительства в случаях, установленных частью 2 статьи 8.3 Градостроительного кодекса Российской Федерации, и положительного заключения государственной экспертизы результатов инженерных изысканий, выполненных для подготовки такой проектной документации (в случае если проведение такой экспертизы в соответствии с законодательством Российской Федерации является обязательным). В проектной документации по объектам капитального строительства, реализуемым на территориях Дальневосточного федерального округа и Арктической зоны Российской Федерации, необходимо предусматривать перечень мероприятий и затраты по привлечению студенческих строительных отрядов;

(в ред. Постановлений Правительства РФ от 02.12.2022 N 2214, от 05.08.2024 N 1053)

(см. текст в предыдущей редакции)

документы об утверждении проектной документации в соответствии с законодательством Российской Федерации (в случае если подготовка проектной документации является обязательной в соответствии с законодательством Российской Федерации);

абзацы восьмой - девятый утратили силу. - Постановление Правительства РФ от 02.12.2022 N 2214;

(см. текст в предыдущей редакции)

сведения, необходимые для проведения проверки инвестиционного проекта на предмет эффективности использования средств федерального бюджета, направляемых на капитальные вложения, предусмотренные Правилами проведения проверки инвестиционных проектов на предмет эффективности использования средств федерального бюджета, направляемых на капитальные вложения, утвержденными постановлением Правительства Российской Федерации от 15 марта 2023 г. N 399 "О случаях и порядке проведения проверки инвестиционных проектов на предмет эффективности использования средств федерального бюджета, направляемых на капитальные вложения, о внесении изменений в некоторые акты Правительства Российской Федерации, приостановлении действия постановления Правительства Российской Федерации от 12 августа 2008 г. N 590 и отдельных положений некоторых актов Правительства Российской Федерации, а также признании утратившими силу некоторых актов и отдельных положений некоторых актов Правительства Российской Федерации", - в случаях, определенных указанным постановлением;

(в ред. Постановления Правительства РФ от 05.08.2024 N 1053)

(см. текст в предыдущей редакции)

паспорт инвестиционного проекта по форме, утвержденной Министерством строительства и жилищно-коммунального хозяйства Российской Федерации, в случае строительства объекта капитального строительства в соответствии с инвестиционным проектом;

(в ред. Постановлений Правительства РФ от 05.08.2024 N 1053, от 30.11.2024 N 1699)

(см. текст в предыдущей редакции)

копии правоустанавливающих документов на земельный участок;

копия утвержденного задания на проектирование (в случае, если при реализации мероприятий по строительству объектов капитального строительства на разработку проектной документации предоставляются средства федерального бюджета).

(абзац введен Постановлением Правительства РФ от 02.12.2022 N 2214)

КонсультантПлюс: примечание.

Постановлением Правительства РФ от 09.12.2022 N 2272 в абз. 14 п. 5 данного документа вносятся изменения с 01.01.2023. Указанные изменения не могут быть учтены в редакции поскольку данная норма отменена Постановлением Правительства РФ от 02.12.2022 N 2214 с 14.12.2022.

Абзацы тринадцатый - четырнадцатый утратили силу. - Постановление Правительства РФ от 02.12.2022 N 2214.

(см. текст в предыдущей редакции)

5(1) - 5(2). Утратили силу. - Постановление Правительства РФ от 02.12.2022 N 2214.

(см. текст в предыдущей редакции)

6. Субсидии из федерального бюджета предоставляются при соблюдении субъектом Российской Федерации и г. Байконуром следующих условий:

(в ред. Постановления Правительства РФ от 30.11.2023 N 2034)

(см. текст в предыдущей редакции)

а) наличие утвержденной нормативным правовым актом субъекта Российской Федерации и г. Байконура государственной программы, направленной на реализацию мероприятий, указанных в пункте 2 настоящих Правил, при реализации которых возникают расходные обязательства субъекта Российской Федерации и г. Байконура, в целях софинансирования которых предоставляется субсидия из федерального бюджета, содержащей в том числе адресный перечень территорий, нуждающихся в благоустройстве и подлежащих благоустройству в году предоставления субсидии;

(в ред. Постановлений Правительства РФ от 08.10.2020 N 1630, от 02.12.2022 N 2214, от 30.11.2023 N 2034)

(см. текст в предыдущей редакции)

б) наличие в бюджете субъекта Российской Федерации и бюджете г. Байконура бюджетных ассигнований на исполнение расходного обязательства субъекта Российской Федерации и расходного обязательства г. Байконура по финансовому обеспечению мероприятий, указанных в пункте 2 настоящих Правил, софинансирование которых осуществляется из федерального бюджета, в объеме, необходимом для его исполнения, включающем размер планируемой к предоставлению субсидии из федерального бюджета;

(в ред. Постановления Правительства РФ от 30.11.2023 N 2034)

(см. текст в предыдущей редакции)

в) заключение соглашения между Министерством строительства и жилищно-коммунального хозяйства Российской Федерации, высшим исполнительным органом субъекта Российской Федерации и главой администрации г. Байконура о предоставлении субсидии из федерального бюджета в соответствии с пунктом 10 Правил формирования, предоставления и распределения субсидий из федерального бюджета бюджетам субъектов Российской Федерации, утвержденных постановлением Правительства Российской Федерации от 30 сентября 2014 г. N 999 "О формировании, предоставлении и распределении субсидий из федерального бюджета бюджетам субъектов Российской Федерации" (далее соответственно - соглашение о предоставлении субсидии из федерального бюджета, Правила предоставления субсидий).

(в ред. Постановлений Правительства РФ от 07.05.2019 N 567, от 02.12.2022 N 2214, от 09.12.2022 N 2272, от 30.11.2023 N 2034)

(см. текст в предыдущей редакции)

7. Предоставление субсидий из федерального бюджета осуществляется на основании соглашения о предоставлении субсидии из федерального бюджета, заключаемого в государственной интегрированной информационной системе управления общественными финансами "Электронный бюджет" в соответствии с типовой формой, утвержденной Министерством финансов Российской Федерации.

(в ред. Постановления Правительства РФ от 18.09.2020 N 1481)

(см. текст в предыдущей редакции)

Содержание соглашения о предоставлении субсидии из федерального бюджета должно соответствовать требованиям, установленным пунктом 10 Правил предоставления субсидий, а также включать следующие положения:

(в ред. Постановления Правительства РФ от 18.09.2020 N 1481)

(см. текст в предыдущей редакции)

а) обязательства субъекта Российской Федерации (за исключением субъектов Российской Федерации, указанных в подпункте "б" настоящего пункта):

завершить в полном объеме реализацию мероприятий государственной программы, соответствующей в том числе требованиям, предусмотренным пунктом 9 настоящих Правил, в установленные в ней сроки;

осуществлять контроль за реализацией органами местного самоуправления поселений, в состав которых входят населенные пункты с численностью населения свыше 1000 человек, муниципальных программ, утвержденных в соответствии с требованиями, предусмотренными пунктом 11 настоящих Правил;

обеспечить благоустройство дворовых территорий, нуждающихся в благоустройстве (с учетом их физического состояния), исходя из минимального перечня видов работ по благоустройству дворовых территорий (ремонт дворовых проездов, обеспечение освещения дворовых территорий, установка скамеек, урн, иные виды работ, определенные уполномоченным органом государственной власти субъекта Российской Федерации), софинансируемых за счет средств, полученных субъектом Российской Федерации в качестве субсидии из федерального бюджета (далее - минимальный перечень работ по благоустройству), а также общественных территорий, нуждающихся в благоустройстве;

представлять не позднее 1 декабря текущего финансового года в Министерство строительства и жилищно-коммунального хозяйства Российской Федерации на конкурс по отбору лучших практик (проектов) по благоустройству не менее 2 реализованных в таком году проектов по благоустройству общественных территорий;

обеспечить осуществление контроля за ходом выполнения государственной программы и муниципальных программ, в том числе за ходом реализации конкретных мероприятий в рамках указанных программ, а также предварительное рассмотрение и согласование отчетов муниципальных образований о реализации муниципальных программ, отчетов об исполнении государственной программы, направляемых в Министерство строительства и жилищно-коммунального хозяйства Российской Федерации, межведомственной комиссией под руководством высшего должностного лица субъекта Российской Федерации, созданной в соответствии с постановлением Правительства Российской Федерации от 10 февраля 2017 г. N 169 "Об утверждении Правил предоставления и распределения субсидий из федерального бюджета бюджетам субъектов Российской Федерации на поддержку государственных программ субъектов Российской Федерации и муниципальных программ формирования современной городской среды" (далее - постановление Правительства Российской Федерации от 10 февраля 2017 г. N 169, межведомственная комиссия);

обеспечить проведение органами местного самоуправления работ по образованию земельных участков, на которых расположены многоквартирные дома, в целях софинансирования работ по благоустройству дворовых территорий которых бюджету субъекта Российской Федерации предоставляется субсидия из федерального бюджета;

обеспечить размещение в государственной информационной системе жилищно-коммунального хозяйства информации о реализации федерального проекта на территории субъекта Российской Федерации с учетом методических рекомендаций о размещении информации в государственной информационной системе жилищно-коммунального хозяйства, утверждаемых Министерством строительства и жилищно-коммунального хозяйства Российской Федерации;

обеспечить реализацию мероприятий по созданию на территории субъекта Российской Федерации, муниципальных образований - получателей субсидии из бюджетов субъектов Российской Федерации условий для привлечения добровольцев (волонтеров) к участию в реализации мероприятий, предусмотренных пунктом 2 настоящих Правил;

выполнять иные обязательства, связанные с обеспечением реализации мероприятий в рамках государственных программ и муниципальных программ;

обеспечить обязательное размещение органами местного самоуправления в информационно-телекоммуникационной сети "Интернет" государственных, муниципальных программ и иных материалов по вопросам формирования комфортной городской среды, которые выносятся на общественное обсуждение, и результатов этих обсуждений, а также возможность направления гражданами своих предложений в электронной форме;

(абзац введен Постановлением Правительства РФ от 08.10.2020 N 1630)

обеспечить проведение голосования по отбору общественных территорий, подлежащих благоустройству в рамках реализации муниципальных программ (далее - голосование по отбору общественных территорий), в электронной форме в информационно-телекоммуникационной сети "Интернет", в том числе с использованием платформы по голосованию за объекты благоустройства;

(абзац введен Постановлением Правительства РФ от 08.10.2020 N 1630; в ред. Постановления Правительства РФ от 02.12.2022 N 2214)

(см. текст в предыдущей редакции)

обеспечить с начала выполнения работ по благоустройству общественных территорий и дворовых территорий установку информационных конструкций (щитов, стендов), содержащих информацию о том, что работы выполняются (выполнены) в рамках реализации федерального проекта;

(абзац введен Постановлением Правительства РФ от 02.12.2022 N 2214)

б) обязательства субъекта Российской Федерации (в отношении г. Севастополя, а также субъектов Российской Федерации, уровень расчетной бюджетной обеспеченности которых более 1 и которые в рамках государственных программ полностью или частично осуществляют реализацию мероприятий по благоустройству без предоставления субсидий из бюджетов субъектов Российской Федерации на реализацию муниципальных программ):

завершить в полном объеме реализацию мероприятий государственной программы, соответствующей в том числе требованиям, предусмотренным пунктом 9 настоящих Правил, в установленные в ней сроки;

обеспечить благоустройство дворовых территорий, нуждающихся в благоустройстве (с учетом их физического состояния), исходя из минимального перечня работ по благоустройству, а также общественных территорий, нуждающихся в благоустройстве;

представлять не позднее 1 декабря текущего финансового года в Министерство строительства и жилищно-коммунального хозяйства Российской Федерации на конкурс по отбору лучших практик (проектов) по благоустройству не менее 2 реализованных в таком году проектов по благоустройству общественных территорий;

обеспечить проведение органами местного самоуправления работ по образованию земельных участков, на которых расположены многоквартирные дома, в целях софинансирования дворовых территорий работ по благоустройству которых бюджету субъекта Российской Федерации предоставляется субсидия из федерального бюджета;

обеспечить размещение в государственной информационной системе жилищно-коммунального хозяйства информации о реализации федерального проекта на территории субъекта Российской Федерации с учетом методических рекомендаций о размещении информации в государственной информационной системе жилищно-коммунального хозяйства, утверждаемых Министерством строительства и жилищно-коммунального хозяйства Российской Федерации;

обеспечить осуществление контроля за ходом выполнения государственной программы, в том числе за ходом реализации конкретных мероприятий в рамках государственной программы, а также предварительного рассмотрения и согласования межведомственной комиссией отчетов об исполнении государственной программы, направляемых в Министерство строительства и жилищно-коммунального хозяйства Российской Федерации;

обеспечить реализацию мероприятий по созданию на территории субъекта Российской Федерации условий для привлечения добровольцев (волонтеров) к участию в реализации мероприятий, предусмотренных пунктом 2 настоящих Правил;

выполнять иные обязательства, связанные с обеспечением реализации мероприятий по благоустройству в рамках государственных программ;

обеспечить обязательное размещение органами местного самоуправления в информационно-телекоммуникационной сети "Интернет" государственных муниципальных программ и иных материалов по вопросам формирования комфортной городской среды, которые выносятся на общественное обсуждение, и результатов этих обсуждений, а также возможность направления гражданами своих предложений в электронной форме;

(абзац введен Постановлением Правительства РФ от 08.10.2020 N 1630)

обеспечить проведение голосования по отбору общественных территорий в электронной форме в информационно-телекоммуникационной сети "Интернет", в том числе с использованием платформы по голосованию за объекты благоустройства;

(абзац введен Постановлением Правительства РФ от 08.10.2020 N 1630; в ред. Постановления Правительства РФ от 02.12.2022 N 2214)

(см. текст в предыдущей редакции)

обеспечить с начала выполнения работ по благоустройству общественных территорий и дворовых территорий установку информационных конструкций (щитов, стендов), содержащих информацию о том, что работы выполняются (выполнены) в рамках реализации федерального проекта;

(абзац введен Постановлением Правительства РФ от 02.12.2022 N 2214)

в) обязательства г. Байконура:

принять не позднее 1 марта 2024 г. нормативный правовой акт г. Байконура о создании межведомственной комиссии под руководством главы администрации г. Байконура, в состав которой включаются представители заинтересованных структурных подразделений администрации г. Байконура, общественных организаций и иные лица (далее - межведомственная комиссия г. Байконура), в целях осуществления контроля за ходом выполнения государственной программы и ее координации, в том числе за ходом реализации конкретных мероприятий в рамках государственной программы, а также предварительного рассмотрения и согласования отчетов об исполнении государственной программы, направляемых в Министерство строительства и жилищно-коммунального хозяйства Российской Федерации;

обеспечить осуществление контроля за ходом выполнения государственной программы, в том числе за ходом реализации конкретных мероприятий в рамках государственной программы, а также предварительное рассмотрение и согласование межведомственной комиссией г. Байконура отчетов об исполнении государственной программы, направляемых в Министерство строительства и жилищно-коммунального хозяйства Российской Федерации;

завершить в полном объеме реализацию мероприятий государственной программы, соответствующей в том числе требованиям, предусмотренным пунктом 9(2) настоящих Правил, в установленные в ней сроки;

представлять не позднее 1 декабря текущего финансового года в Министерство строительства и жилищно-коммунального хозяйства Российской Федерации на конкурс по отбору лучших практик (проектов) по благоустройству не менее 2 реализованных в таком году проектов по благоустройству общественных территорий;

обеспечить реализацию мероприятий по созданию на территории г. Байконура условий для привлечения добровольцев (волонтеров) к участию в реализации мероприятий, предусмотренных пунктом 2 настоящих Правил;

выполнять иные обязательства, связанные с обеспечением реализации мероприятий в рамках государственной программы;

обеспечить обязательное размещение в информационно-телекоммуникационной сети "Интернет" государственной программы и иных материалов по вопросам формирования комфортной городской среды, которые выносятся на общественное обсуждение, и результатов этих обсуждений, а также возможность направления гражданами своих предложений в электронной форме;

обеспечить проведение голосования по отбору общественных территорий в электронной форме в информационно-телекоммуникационной сети "Интернет", в том числе с использованием платформы по голосованию за объекты благоустройства;

обеспечить с начала выполнения работ по благоустройству общественных территорий установку информационных конструкций (щитов, стендов), содержащих информацию о том, что работы выполняются (выполнены) в рамках реализации федерального проекта.

(пп. "в" введен Постановлением Правительства РФ от 30.11.2023 N 2034)

8. Правила предоставления и распределения субсидий из бюджета субъекта Российской Федерации местным бюджетам, включаемые в государственную программу, должны предусматривать в том числе:

а) распределение или методику распределения субсидии из бюджета субъекта Российской Федерации всем или отдельным муниципальным образованиям исходя из установленных субъектом Российской Федерации критериев, в том числе с учетом предоставления приоритета муниципальным образованиям, реализующим мероприятия по благоустройству общественных территорий, дворовых территорий в опорных населенных пунктах, на базе которых обеспечивается ускоренное развитие инфраструктуры, обеспечивающей реализацию гарантий в сфере образования, доступность медицинской помощи, услуг в сфере культуры и реализацию иных потребностей населения территории одного или нескольких муниципальных образований, и муниципальным образованиям, в муниципальные программы которых включены комплексные проекты благоустройства общественных территорий, предусматривающие использование различных элементов благоустройства, а также функциональное разнообразие объекта благоустройства в целях обеспечения привлекательности общественной территории для разных групп населения;

(пп. "а" в ред. Постановления Правительства РФ от 30.11.2024 N 1699)

(см. текст в предыдущей редакции)

б) ежегодное включение в перечень муниципальных образований - получателей субсидии из бюджета субъекта Российской Федерации в обязательном порядке муниципальных образований - административных центров субъектов Российской Федерации, а в случае наличия таковых на территории субъекта Российской Федерации - муниципальных образований, имеющих статус наукограда Российской Федерации, муниципальных образований, на территории которых реализуются предусмотренные пунктом 1 настоящих Правил мероприятия, направленные на исполнение поручений Президента Российской Федерации и Председателя Правительства Российской Федерации;

(в ред. Постановлений Правительства РФ от 30.11.2024 N 1699, от 24.03.2025 N 350)

(см. текст в предыдущей редакции)

б(1)) утратил силу. - Постановление Правительства РФ от 02.12.2022 N 2214;

(см. текст в предыдущей редакции)

в) минимальный перечень работ по благоустройству. При этом расходные обязательства субъекта Российской Федерации по предоставлению субсидий из бюджета субъекта Российской Федерации в целях софинансирования работ по благоустройству дворовых территорий софинансируются из федерального бюджета при наличии решения собственников помещений в многоквартирном доме, дворовая территория которого благоустраивается, о принятии созданного в результате благоустройства имущества в состав общего имущества многоквартирного дома;

г) перечень дополнительных видов работ по благоустройству дворовых территорий, в целях софинансирования которых бюджету субъекта Российской Федерации предоставляются субсидии из федерального бюджета (далее - дополнительный перечень работ по благоустройству), в случае принятия субъектом Российской Федерации решения об установлении такого перечня. При этом расходные обязательства субъекта Российской Федерации по предоставлению субсидий из бюджета субъекта Российской Федерации в целях софинансирования работ по благоустройству дворовых территорий в соответствии с дополнительным перечнем работ по благоустройству софинансируются из федерального бюджета:

при наличии решения собственников помещений в многоквартирном доме, дворовая территория которого благоустраивается, о принятии созданного в результате благоустройства имущества в состав общего имущества многоквартирного дома;

при софинансировании собственниками помещений многоквартирного дома работ по благоустройству дворовых территорий в размере не менее 20 процентов стоимости выполнения таких работ. Такое условие распространяется на дворовые территории, включенные в соответствующую программу после вступления в силу постановления Правительства Российской Федерации от 9 февраля 2019 г. N 106 "О внесении изменений в приложение N 15 к государственной программе Российской Федерации "Обеспечение доступным и комфортным жильем и коммунальными услугами граждан Российской Федерации";

д) ежегодное проведение органами местного самоуправления муниципальных образований с численностью населения свыше 20 тыс. человек голосования по отбору общественных территорий, подлежащих благоустройству в рамках реализации муниципальных программ в год, следующий за годом проведения такого голосования, в порядке, установленном правовым актом субъекта Российской Федерации, принятым не позднее 12 февраля 2019 г.:

(в ред. Постановления Правительства РФ от 08.10.2020 N 1630 (ред. 29.12.2020))

(см. текст в предыдущей редакции)

с учетом завершения мероприятий по благоустройству общественных территорий, включенных в муниципальные программы в 2019 году по результатам голосования по отбору общественных территорий, проведенного в 2018 году;

с учетом завершения мероприятий по благоустройству общественных территорий, включенных в муниципальные программы, отобранных по результатам голосования по отбору общественных территорий, проведенного в году, предшествующем году реализации указанных мероприятий;

е) условия о форме участия (финансовое и (или) трудовое) собственников помещений в многоквартирных домах, собственников иных зданий и сооружений, расположенных в границах дворовой территории, подлежащей благоустройству (далее - заинтересованные лица), в реализации мероприятий по благоустройству дворовой территории в рамках минимального перечня работ по благоустройству, в том числе о доле такого участия, в отношении муниципальных образований - получателей субсидий из бюджета субъекта Российской Федерации, определенные с учетом методических рекомендаций по подготовке государственных и муниципальных программ, утверждаемых Министерством строительства и жилищно-коммунального хозяйства Российской Федерации, в случае принятия субъектом Российской Федерации решения об определении указанных условий либо принятия уполномоченным исполнительным органом субъекта Российской Федерации решения о предоставлении полномочий органам местного самоуправления по определению таких условий в муниципальных программах. При этом при выборе формы финансового участия заинтересованных лиц в реализации мероприятий по благоустройству дворовой территории в рамках минимального перечня работ по благоустройству доля участия определяется как процент стоимости мероприятий по благоустройству дворовой территории;

(в ред. Постановления Правительства РФ от 02.12.2022 N 2214)

(см. текст в предыдущей редакции)

ж) условия о финансовом участии заинтересованных лиц в реализации мероприятий по благоустройству дворовых территорий в рамках дополнительного перечня работ по благоустройству в случае принятия субъектом Российской Федерации решения об определении указанного перечня, в том числе о доле такого участия, в отношении муниципальных образований - получателей субсидий из бюджета субъекта Российской Федерации, определенные с учетом методических рекомендаций по подготовке государственных и муниципальных программ, утверждаемых Министерством строительства и жилищно-коммунального хозяйства Российской Федерации, либо о принятии решения о предоставлении полномочий органам местного самоуправления по определению таких условий в муниципальных программах. При этом при выборе формы финансового участия заинтересованных лиц в реализации мероприятий по благоустройству дворовых территорий в рамках дополнительного перечня работ по благоустройству доля участия определяется как процент стоимости мероприятий по благоустройству дворовой территории;

з) обязательства муниципальных образований - получателей субсидий из бюджета субъекта Российской Федерации, предусмотренные в том числе пунктом 10 настоящих Правил;

и) включение в соглашение между субъектом Российской Федерации и органом местного самоуправления муниципального образования о предоставлении субсидии из бюджета субъекта Российской Федерации рекомендации главе местной администрации обеспечить привлечение к выполнению работ по благоустройству дворовых территорий студенческих строительных отрядов;

к) включение в соглашение между субъектом Российской Федерации и органом местного самоуправления муниципального образования о предоставлении субсидии из бюджета субъекта Российской Федерации условия об обязательном установлении минимального 3-летнего гарантийного срока на результаты выполненных работ по благоустройству дворовых и общественных территорий, софинансируемых за счет средств субсидии из бюджета субъекта Российской Федерации, а также условия о предельной дате заключения соглашений по результатам закупки товаров, работ и услуг для обеспечения муниципальных нужд в целях реализации муниципальных программ - 1 апреля года предоставления субсидии, за исключением:

(в ред. Постановления Правительства РФ от 29.12.2020 N 2341)

(см. текст в предыдущей редакции)

случаев обжалования действий (бездействия) заказчика и (или) комиссии по осуществлению закупок и (или) оператора электронной площадки при осуществлении закупки товаров, работ, услуг в порядке, установленном законодательством Российской Федерации, при которых срок заключения таких соглашений продлевается на срок указанного обжалования;

случаев проведения повторного конкурса или новой закупки, если конкурс признан не состоявшимся по основаниям, предусмотренным законодательством Российской Федерации, при которых срок заключения таких соглашений продлевается на срок проведения конкурсных процедур;

случаев заключения таких соглашений в пределах экономии средств при расходовании субсидии в целях реализации муниципальных программ, при которых срок заключения таких соглашений продлевается на срок до 15 декабря года предоставления субсидии);

(в ред. Постановления Правительства РФ от 30.11.2024 N 1699)

(см. текст в предыдущей редакции)

(пп. "к" в ред. Постановления Правительства РФ от 30.11.2019 N 1546)

(см. текст в предыдущей редакции)

л) порядок осуществления расходов местных бюджетов, связанных с выполнением работ по благоустройству дворовых территорий, софинансирование которых осуществляется из бюджетов субъектов Российской Федерации. При этом указанный порядок должен предусматривать возможность осуществления расходов местного бюджета, софинансируемых из бюджета субъекта Российской Федерации:

путем предоставления субсидий из бюджета субъекта Российской Федерации бюджетным и автономным учреждениям, в том числе субсидии на финансовое обеспечение выполнения ими государственного (муниципального) задания;

путем закупки товаров, работ и услуг для обеспечения государственных (муниципальных) нужд (за исключением бюджетных ассигнований для обеспечения выполнения функций казенного учреждения и бюджетных ассигнований на осуществление бюджетных инвестиций в объекты государственной (муниципальной) собственности казенных учреждений);

путем предоставления субсидий юридическим лицам (за исключением субсидий государственным (муниципальным) учреждениям), индивидуальным предпринимателям, физическим лицам на возмещение затрат на выполнение работ по благоустройству дворовых территорий (в случае если дворовая территория образована земельными участками, находящимися полностью или частично в частной собственности);

м) порядок и условия возврата субсидии из бюджета субъекта Российской Федерации муниципальным образованием - получателем субсидии из бюджета субъекта Российской Федерации;

н) актуализацию государственных программ и муниципальных программ по результатам проведения голосования по отбору общественных территорий, а также продление срока их действия на срок реализации федерального проекта.

9. Государственная программа (за исключением случая, указанного в пункте 9(2) настоящих Правил) должна предусматривать в том числе:

(в ред. Постановления Правительства РФ от 30.11.2023 N 2034)

(см. текст в предыдущей редакции)

а) реализацию мероприятий по благоустройству в обязательном порядке территорий муниципальных образований - обязательных получателей субсидий из бюджета субъекта Российской Федерации;

б) минимальный перечень работ по благоустройству. При этом расходные обязательства субъекта Российской Федерации по предоставлению субсидий из бюджета субъекта Российской Федерации в целях софинансирования работ по благоустройству дворовых территорий софинансируются из федерального бюджета при наличии решения собственников помещений в многоквартирном доме, дворовая территория которого благоустраивается, о принятии созданного в результате благоустройства имущества в состав общего имущества многоквартирного дома;

в) дополнительный перечень работ по благоустройству в случае принятия субъектом Российской Федерации решения об установлении такого перечня. При этом расходные обязательства субъекта Российской Федерации по предоставлению субсидий из бюджета субъекта Российской Федерации в целях софинансирования работ по благоустройству дворовых территорий в соответствии с дополнительным перечнем работ по благоустройству софинансируются из федерального бюджета:

при наличии решения собственников помещений в многоквартирном доме, дворовая территория которого благоустраивается, о принятии созданного в результате благоустройства имущества в состав общего имущества многоквартирного дома;

при софинансировании собственниками помещений многоквартирного дома работ по благоустройству дворовых территорий в размере не менее 20 процентов стоимости выполнения работ. Данное условие распространяется на дворовые территории, включенные в соответствующую программу после вступления в силу постановления Правительства Российской Федерации от 9 февраля 2019 г. N 106 "О внесении изменений в приложение N 15 к государственной программе Российской Федерации "Обеспечение доступным и комфортным жильем и коммунальными услугами граждан Российской Федерации";

г) условия о форме участия (финансовое и (или) трудовое) заинтересованных лиц в реализации мероприятий по благоустройству дворовой территории в рамках минимального перечня работ по благоустройству, в том числе о доле такого участия, в отношении муниципальных образований - получателей субсидий из бюджета субъекта Российской Федерации, определенные с учетом методических рекомендаций по подготовке государственных и муниципальных программ, утверждаемых Министерством строительства и жилищно-коммунального хозяйства Российской Федерации, в случае принятия субъектом Российской Федерации решения об определении указанных условий. При этом при выборе формы финансового участия заинтересованных лиц в реализации мероприятий по благоустройству дворовой территории в рамках минимального перечня работ по благоустройству доля участия определяется как процент стоимости мероприятий по благоустройству дворовой территории;

д) условия о форме участия (финансовое и (или) трудовое) заинтересованных лиц в реализации мероприятий по благоустройству дворовых территорий в рамках дополнительного перечня работ по благоустройству в отношении муниципальных образований - получателей субсидий из бюджета субъекта Российской Федерации, определенные с учетом методических рекомендаций по подготовке государственных и муниципальных программ, утверждаемых Министерством строительства и жилищно-коммунального хозяйства Российской Федерации. При этом при выборе формы финансового участия заинтересованных лиц в реализации мероприятий по благоустройству дворовой территории в рамках дополнительного перечня работ по благоустройству доля участия определяется как процент стоимости мероприятий по благоустройству дворовой территории;

е) адресный перечень дворовых территорий, нуждающихся в благоустройстве (с учетом их физического состояния) и подлежащих благоустройству в указанный период исходя из минимального перечня работ по благоустройству (очередность благоустройства определяется в порядке поступления предложений заинтересованных лиц об их участии в выполнении указанных работ). Физическое состояние дворовой территории и необходимость ее благоустройства определяются по результатам инвентаризации дворовой территории, проведенной в порядке, установленном нормативным правовым актом субъекта Российской Федерации. В указанный адресный перечень включаются дворовые территории, благоустройство которых планируется осуществлять за счет средств субсидии из федерального бюджета, а также за счет средств бюджета субъекта Российской Федерации, местных бюджетов и внебюджетных источников, отобранные в том числе в рамках поддержки инициатив по внесению в местную администрацию направленных на благоустройство территории муниципального образования инициативных проектов в соответствии со статьей 26(1) Федерального закона "Об общих принципах организации местного самоуправления в Российской Федерации" (далее - инициативный проект);

(в ред. Постановления Правительства РФ от 24.03.2025 N 350)

(см. текст в предыдущей редакции)

ж) адресный перечень общественных территорий, нуждающихся в благоустройстве (с учетом их физического состояния) и подлежащих благоустройству в указанный период. Физическое состояние общественной территории и необходимость ее благоустройства определяются по результатам инвентаризации общественной территории, проведенной в порядке, установленном нормативным правовым актом субъекта Российской Федерации. В указанный адресный перечень включаются общественные территории, благоустройство которых планируется осуществлять за счет средств субсидии из федерального бюджета, а также за счет средств бюджета субъекта Российской Федерации, местных бюджетов и внебюджетных источников, отобранные в том числе по результатам голосования по отбору общественных территорий и в рамках реализации инициативных проектов;

(в ред. Постановления Правительства РФ от 24.03.2025 N 350)

(см. текст в предыдущей редакции)

з) адресный перечень объектов недвижимого имущества (включая объекты незавершенного строительства) и земельных участков, находящихся в собственности (пользовании) юридических лиц и индивидуальных предпринимателей, которые подлежат благоустройству не позднее последнего года реализации федерального проекта за счет средств указанных лиц в соответствии с требованиями утвержденных в муниципальном образовании правил благоустройства территории;

и) мероприятия по инвентаризации уровня благоустройства индивидуальных жилых домов и земельных участков, предоставленных для их размещения, с заключением по результатам инвентаризации соглашений с собственниками (пользователями) указанных домов (собственниками (пользователями) земельных участков) об их благоустройстве не позднее последнего года реализации федерального проекта в соответствии с требованиями утвержденных в муниципальном образовании правил благоустройства территории и порядок проведения такой инвентаризации;

к) порядок осуществления расходов, связанных с выполнением работ по благоустройству дворовых территорий. При этом указанный порядок должен предусматривать возможность осуществления расходов бюджетов субъектов Российской Федерации, софинансирование которых осуществляется из федерального бюджета:

путем предоставления субсидий из бюджета субъекта Российской Федерации бюджетным и автономным учреждениям, включая субсидии на финансовое обеспечение выполнения ими государственного (муниципального) задания;

путем закупки товаров, работ и услуг для обеспечения государственных (муниципальных) нужд (за исключением бюджетных ассигнований для обеспечения выполнения функций казенного учреждения и бюджетных ассигнований на осуществление бюджетных инвестиций в объекты государственной (муниципальной) собственности казенных учреждений);

путем предоставления субсидий юридическим лицам (за исключением субсидий государственным (муниципальным) учреждениям), индивидуальным предпринимателям, физическим лицам на возмещение затрат по выполнению работ по благоустройству дворовых территорий (в случае если дворовая территория образована земельными участками, находящимися полностью или частично в частной собственности);

л) порядок информирования граждан о ходе выполнения государственной программы и муниципальных программ, в том числе о ходе реализации конкретных мероприятий по благоустройству общественных территорий и дворовых территорий в рамках указанных программ.

(пп. "л" введен Постановлением Правительства РФ от 02.12.2022 N 2214)

9(1). Утратил силу с 1 января 2025 года. - Постановление Правительства РФ от 30.11.2024 N 1699.

(см. текст в предыдущей редакции)

9(2). Государственная программа, направленная на формирование современной городской среды г. Байконура, должна предусматривать в том числе:

а) реализацию мероприятий по благоустройству общественных территорий;

б) адресный перечень общественных территорий, нуждающихся в благоустройстве (с учетом их физического состояния) и подлежащих благоустройству в указанный период. Физическое состояние общественной территории и необходимость ее благоустройства определяются по результатам инвентаризации общественной территории, проведенной в порядке, установленном нормативным правовым актом г. Байконура. В указанный адресный перечень включаются общественные территории, благоустройство которых планируется осуществлять за счет средств субсидии из федерального бюджета, а также за счет средств бюджета г. Байконура и внебюджетных источников, отобранные в том числе по результатам голосования по отбору общественных территорий и в рамках реализации инициативных проектов;

(в ред. Постановления Правительства РФ от 24.03.2025 N 350)

(см. текст в предыдущей редакции)

в) порядок информирования граждан о ходе выполнения государственной программы, в том числе о ходе реализации конкретных мероприятий по благоустройству общественных территорий в рамках государственной программы.

(п. 9(2) введен Постановлением Правительства РФ от 30.11.2023 N 2034)

10. В правила предоставления и распределения субсидий из бюджета субъекта Российской Федерации, предусмотренные пунктом 8 настоящих Правил, включаются в том числе обязательства муниципальных образований - получателей субсидий из бюджета субъекта Российской Федерации по обеспечению:

а) проведения общественных обсуждений проектов муниципальных программ, в том числе при внесении в них изменений, в части определения перечня общественных территорий и дворовых территорий, нуждающихся в благоустройстве и подлежащих благоустройству в рамках реализации муниципальной программы, в том числе в электронной форме в информационно-телекоммуникационной сети "Интернет" (срок обсуждения - не менее 30 календарных дней со дня опубликования таких проектов муниципальных программ), а также с использованием платформы по голосованию за объекты благоустройства;

(пп. "а" в ред. Постановления Правительства РФ от 02.12.2022 N 2214)

(см. текст в предыдущей редакции)

б) учета предложений заинтересованных лиц о включении дворовой территории, общественной территории в муниципальную программу, в том числе предложений таких лиц о включении в муниципальную программу инициативных проектов;

(в ред. Постановления Правительства РФ от 24.03.2025 N 350)

(см. текст в предыдущей редакции)

в) осуществления контроля за ходом выполнения муниципальной программы общественной комиссией, созданной в соответствии с постановлением Правительства Российской Федерации от 10 февраля 2017 г. N 169, включая проведение оценки предложений заинтересованных лиц;

в(1)) размещения в информационно-телекоммуникационной сети "Интернет" документов о составе общественной комиссии, созданной в соответствии с постановлением Правительства Российской Федерации от 10 февраля 2017 г. N 169, протоколов и графиков заседаний указанной общественной комиссии;

(пп. "в(1)" введен Постановлением Правительства РФ от 08.10.2020 N 1630)

г) включения в соглашение, заключаемое субъектом Российской Федерации и органом местного самоуправления муниципального образования, о предоставлении субсидии из бюджета субъекта Российской Федерации условия об обязательном установлении минимального 3-летнего гарантийного срока на результаты выполненных работ по благоустройству дворовых и общественных территорий, софинансируемых за счет средств субсидии из бюджета субъекта Российской Федерации, а также условия о предельной дате заключения соглашений по результатам закупки товаров, работ и услуг для обеспечения муниципальных нужд в целях реализации муниципальных программ - 1 апреля года предоставления субсидии, за исключением:

(в ред. Постановления Правительства РФ от 29.12.2020 N 2341)

(см. текст в предыдущей редакции)

случаев обжалования действий (бездействия) заказчика и (или) комиссии по осуществлению закупок и (или) оператора электронной площадки при осуществлении закупки товаров, работ, услуг в порядке, установленном законодательством Российской Федерации, при которых срок заключения таких соглашений продлевается на срок указанного обжалования;

случаев проведения повторного конкурса или новой закупки, если конкурс признан не состоявшимся по основаниям, предусмотренным законодательством Российской Федерации, при которых срок заключения таких соглашений продлевается на срок проведения конкурсных процедур;

случаев заключения таких соглашений в пределах экономии средств при расходовании субсидии в целях реализации муниципальных программ, при которых срок заключения таких соглашений продлевается на срок до 15 декабря года предоставления субсидии);

(в ред. Постановления Правительства РФ от 30.11.2024 N 1699)

(см. текст в предыдущей редакции)

(пп. "г" в ред. Постановления Правительства РФ от 30.11.2019 N 1546)

(см. текст в предыдущей редакции)

д) синхронизации реализации мероприятий в рамках муниципальной программы с реализуемыми в муниципальных образованиях мероприятиями в сфере обеспечения доступности городской среды для маломобильных групп населения, цифровизации городского хозяйства, а также мероприятиями в рамках национальных проектов "Демография", "Образование", "Экология", "Безопасные и качественные автомобильные дороги", "Культура", "Малое и среднее предпринимательство и поддержка индивидуальной предпринимательской инициативы" в соответствии с перечнем таких мероприятий и методическими рекомендациями по синхронизации мероприятий в рамках государственных и муниципальных программ, утверждаемыми Министерством строительства и жилищно-коммунального хозяйства Российской Федерации;

е) синхронизации выполнения работ в рамках муниципальной программы с реализуемыми в муниципальных образованиях федеральными, региональными и муниципальными программами (планами) строительства (реконструкции, ремонта) объектов недвижимого имущества, программами по ремонту и модернизации инженерных сетей и иных объектов, расположенных на соответствующей территории;

ж) проведения мероприятий по благоустройству дворовых территорий, общественных территорий с учетом необходимости обеспечения физической, пространственной и информационной доступности зданий, сооружений, дворовых и общественных территорий для инвалидов и других маломобильных групп населения;

з) актуализации муниципальных программ по результатам рассмотрения в соответствии с законодательством Российской Федерации инициативных проектов, проведения голосования по отбору общественных территорий и продления срока их действия на срок реализации федерального проекта;

(в ред. Постановления Правительства РФ от 24.03.2025 N 350)

(см. текст в предыдущей редакции)

и) проведения голосования по отбору общественных территорий с учетом положений настоящих Правил;

к) с начала выполнения работ по благоустройству общественных территорий и дворовых территорий, установки информационных конструкций (щитов, стендов), содержащих информацию о том, что работы выполняются (выполнены) в рамках реализации федерального проекта.

(пп. "к" введен Постановлением Правительства РФ от 02.12.2022 N 2214)

11. Муниципальная программа должна предусматривать:

а) адресный перечень дворовых территорий, нуждающихся в благоустройстве (с учетом их физического состояния) и подлежащих благоустройству в указанный период исходя из минимального перечня работ по благоустройству (очередность благоустройства определяется в порядке поступления предложений заинтересованных лиц об их участии в выполнении указанных работ). Физическое состояние дворовой территории и необходимость ее благоустройства определяются по результатам инвентаризации дворовой территории, проведенной в порядке, установленном нормативным правовым актом субъекта Российской Федерации. В указанный адресный перечень включаются дворовые территории, благоустройство которых планируется осуществлять за счет средств субсидии из федерального бюджета, а также за счет средств бюджета субъекта Российской Федерации, местного бюджета и внебюджетных источников, отобранные в том числе в рамках реализации инициативных проектов;

(в ред. Постановления Правительства РФ от 24.03.2025 N 350)

(см. текст в предыдущей редакции)

б) адресный перечень всех общественных территорий, нуждающихся в благоустройстве (с учетом их физического состояния общественной территории) и подлежащих благоустройству в указанный период. Физическое состояние общественной территории и необходимость ее благоустройства определяются по результатам инвентаризации общественной территории, проведенной в порядке, установленном нормативным правовым актом субъекта Российской Федерации. В указанный адресный перечень включаются общественные территории, благоустройство которых планируется осуществлять за счет средств субсидии из федерального бюджета, а также за счет средств бюджета субъекта Российской Федерации, местного бюджета и внебюджетных источников, отобранные в том числе по результатам голосования по отбору общественных территорий и в рамках реализации инициативных проектов;

(в ред. Постановления Правительства РФ от 24.03.2025 N 350)

(см. текст в предыдущей редакции)

в) адресный перечень объектов недвижимого имущества (включая объекты незавершенного строительства) и земельных участков, находящихся в собственности (пользовании) юридических лиц и индивидуальных предпринимателей, которые подлежат благоустройству не позднее последнего года реализации федерального проекта за счет средств указанных лиц в соответствии с требованиями утвержденных в муниципальном образовании правил благоустройства территории;

г) мероприятия по инвентаризации уровня благоустройства индивидуальных жилых домов и земельных участков, предоставленных для их размещения, с заключением по результатам инвентаризации соглашений с собственниками (пользователями) указанных домов (собственниками (пользователями) земельных участков) об их благоустройстве не позднее последнего года реализации федерального проекта в соответствии с требованиями утвержденных в муниципальном образовании правил благоустройства;

д) иные мероприятия по благоустройству, определенные органом местного самоуправления;

е) информацию о форме участия (финансовое и (или) трудовое) и доле участия заинтересованных лиц в выполнении минимального перечня работ по благоустройству дворовых территорий (в случае если субъектом Российской Федерации принято решение об определении условий такого участия);

ж) информацию о форме участия (финансовое и (или) трудовое) и доле участия заинтересованных лиц в выполнении дополнительного перечня работ по благоустройству дворовых территорий, которые установлены субъектом Российской Федерации;

з) право муниципального образования исключать из адресного перечня дворовых и общественных территорий, подлежащих благоустройству в рамках реализации муниципальной программы, территории, расположенные вблизи многоквартирных домов, физический износ основных конструктивных элементов (крыша, стены, фундамент) которых превышает 70 процентов, а также территории, которые планируются к изъятию для муниципальных или государственных нужд в соответствии с генеральным планом соответствующего поселения при условии одобрения решения об исключении указанных территорий из адресного перечня дворовых территорий и общественных территорий межведомственной комиссией в порядке, установленном такой комиссией;

и) право муниципального образования исключать из адресного перечня дворовых территорий, подлежащих благоустройству в рамках реализации муниципальной программы, дворовые территории, собственники помещений многоквартирных домов которых приняли решение об отказе от благоустройства дворовой территории в рамках реализации соответствующей программы или не приняли решения о благоустройстве дворовой территории в сроки, установленные соответствующей программой. При этом исключение дворовой территории из перечня дворовых территорий, подлежащих благоустройству в рамках реализации муниципальной программы, возможно только при условии одобрения соответствующего решения муниципального образования межведомственной комиссией в порядке, установленном такой комиссией;

к) мероприятия по проведению работ по образованию земельных участков, на которых расположены многоквартирные дома, работы по благоустройству дворовых территорий которых софинансируются из бюджета субъекта Российской Федерации;

л) условие о предельной дате заключения соглашений по результатам закупки товаров, работ и услуг для обеспечения муниципальных нужд в целях реализации муниципальных программ - 1 апреля года предоставления субсидии, за исключением:

(в ред. Постановления Правительства РФ от 29.12.2020 N 2341)

(см. текст в предыдущей редакции)

случаев обжалования действий (бездействия) заказчика и (или) комиссии по осуществлению закупок и (или) оператора электронной площадки при осуществлении закупки товаров, работ, услуг в порядке, установленном законодательством Российской Федерации, при которых срок заключения таких соглашений продлевается на срок указанного обжалования;

случаев проведения повторного конкурса или новой закупки, если конкурс признан не состоявшимся по основаниям, предусмотренным законодательством Российской Федерации, при которых срок заключения таких соглашений продлевается на срок проведения конкурсных процедур;

случаев заключения таких соглашений в пределах экономии средств при расходовании субсидии в целях реализации муниципальных программ, при которых срок заключения таких соглашений продлевается на срок до 15 декабря года предоставления субсидии).

(в ред. Постановления Правительства РФ от 30.11.2024 N 1699)

(см. текст в предыдущей редакции)

(пп. "л" в ред. Постановления Правительства РФ от 30.11.2019 N 1546)

(см. текст в предыдущей редакции)

11(1). Утратил силу с 1 января 2025 года. - Постановление Правительства РФ от 30.11.2024 N 1699.

(см. текст в предыдущей редакции)

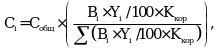
12. Размер субсидии из федерального бюджета i-му субъекту Российской Федерации (Сi) в 2019 - 2020 годах определяется по формуле:

(в ред. Постановления Правительства РФ от 30.11.2019 N 1546)

(см. текст в предыдущей редакции)

Рисунок 8

где:

Собщ - объем бюджетных ассигнований федерального бюджета на текущий финансовый год, предусмотренных Министерству строительства и жилищно-коммунального хозяйства Российской Федерации, для предоставления субсидий из федерального бюджета, распределяемых на соответствующий год;

Bi - численность населения, проживающего на территории i-го субъекта Российской Федерации;

Yi - предельный уровень софинансирования расходного обязательства субъекта Российской Федерации из федерального бюджета, утверждаемый Правительством Российской Федерации в соответствии с пунктом 13(1.1) Правил предоставления субсидий из федерального бюджета;

Kкор - коэффициент корректировки, определяемый в соответствии с пунктом 14 настоящих Правил.

КонсультантПлюс: примечание.

Постановлением Правительства РФ от 09.12.2022 N 2272 в п. 13 данного документа вносятся изменения с 01.01.2023. Указанные изменения не могут быть учтены в редакции поскольку данная норма отменена Постановлением Правительства РФ от 02.12.2022 N 2214 с 14.12.2022.

13. Утратил силу. - Постановление Правительства РФ от 02.12.2022 N 2214.

(см. текст в предыдущей редакции)

14. Коэффициент корректировки (Kкор) определяется по формуле:

Kкор = Kмкд x Kип x Kмг,

где:

Kмкд - величина:

равная 1, - если количество многоквартирных домов, включенных в утвержденную региональную программу капитального ремонта общего имущества в многоквартирных домах субъекта Российской Федерации - получателя субсидии из федерального бюджета, меньше среднего количества многоквартирных домов, включенных в региональные программы капитального ремонта общего имущества в многоквартирных домах всех субъектов Российской Федерации;

равная 1,05, - если количество многоквартирных домов, включенных в утвержденную региональную программу капитального ремонта общего имущества в многоквартирных домах субъекта Российской Федерации - получателя субсидии из федерального бюджета, находится в диапазоне от одного до двух средних значений количества многоквартирных домов, включенных в региональные программы капитального ремонта общего имущества в многоквартирных домах всех субъектов Российской Федерации;

равная 1,1, - если количество многоквартирных домов, включенных в утвержденную региональную программу капитального ремонта общего имущества в многоквартирных домах субъекта Российской Федерации - получателя субсидии из федерального бюджета, находится в диапазоне от двух до трех средних значений количества многоквартирных домов, включенных в региональные программы капитального ремонта общего имущества в многоквартирных домах всех субъектов Российской Федерации;

равная 1,15, - если количество многоквартирных домов, включенных в утвержденную региональную программу капитального ремонта общего имущества в многоквартирных домах субъекта Российской Федерации - получателя субсидии из федерального бюджета, находится в диапазоне от трех до четырех средних значений количества многоквартирных домов, включенных в региональные программы капитального ремонта общего имущества в многоквартирных домах всех субъектов Российской Федерации;

равная 1,2, - если количество многоквартирных домов, включенных в утвержденную региональную программу капитального ремонта общего имущества в многоквартирных домах субъекта Российской Федерации - получателя субсидии из федерального бюджета, находится в диапазоне от четырех до пяти средних значений количества многоквартирных домов, включенных в региональные программы капитального ремонта общего имущества в многоквартирных домах всех субъектов Российской Федерации;

равная 1,25, - если количество многоквартирных домов, включенных в утвержденную региональную программу капитального ремонта общего имущества в многоквартирных домах субъекта Российской Федерации - получателя субсидии из федерального бюджета, находится в диапазоне от пяти до шести средних значений количества многоквартирных домов, включенных в региональные программы капитального ремонта общего имущества в многоквартирных домах всех субъектов Российской Федерации;

Kип - величина равная 1, - если количество жителей в исторических поселениях федерального значения, расположенных на территории соответствующего субъекта Российской Федерации, составляет менее 20000 человек или исторические поселения федерального значения на указанной территории отсутствуют (если количество жителей в исторических поселениях федерального значения, расположенных на территории соответствующего субъекта Российской Федерации, составляет более 20000 человек, коэффициент рассчитывается как 1 + 0,1 за каждые следующие 20000 человек);

Kмг - величина равная 1, - если количество жителей в монопрофильных муниципальных образованиях, расположенных на территории соответствующего субъекта Российской Федерации, составляет менее 50000 человек или монопрофильные муниципальные образования на указанной территории отсутствуют (если количество жителей в монопрофильных муниципальных образованиях, расположенных на территории соответствующего субъекта Российской Федерации, составляет более 50000 человек, коэффициент рассчитывается как 1 + 0,1 за каждые следующие 50000 человек).

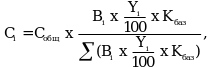
15. Размер субсидии из федерального бюджета i-му субъекту Российской Федерации (Сi) в 2021 - 2024 годах и г. Байконуру (Ci) в 2024 году определяется по формуле:

(в ред. Постановления Правительства РФ от 30.11.2024 N 1699)

(см. текст в предыдущей редакции)

Рисунок 9

где:

Собщ - объем бюджетных ассигнований федерального бюджета на текущий финансовый год, предусмотренных Министерству строительства и жилищно-коммунального хозяйства Российской Федерации, для предоставления субсидий из федерального бюджета, распределяемых на соответствующий год;

Вi - численность населения, проживающего на территории i-го субъекта Российской Федерации и г. Байконура;

Yi - предельный уровень софинансирования расходного обязательства субъекта Российской Федерации и г. Байконура из федерального бюджета, утверждаемый Правительством Российской Федерации в соответствии с пунктом 13(1.1) Правил предоставления субсидий;

Кбаз - коэффициент корректировки, который принимается равным 1 - при определении размера субсидии из федерального бюджета г. Байконуру и определяется с учетом базовых коэффициентов в соответствии с пунктом 17 настоящих Правил - при определении размера субсидии из федерального бюджета i-му субъекту Российской Федерации.

(п. 15 в ред. Постановления Правительства РФ от 30.11.2023 N 2034)

(см. текст в предыдущей редакции)

15(1). Размер субсидии из федерального бюджета i-му субъекту Российской Федерации (Ci) и г. Байконуру (Ci) в 2025 году определяется по формуле:

Рисунок 10

где:

Cобщ. - объем бюджетных ассигнований федерального бюджета на текущий финансовый год, предусмотренных Министерству строительства и жилищно-коммунального хозяйства Российской Федерации, для предоставления субсидий из федерального бюджета, распределяемых на соответствующий год;

Bi - численность населения, проживающего на территории i-го субъекта Российской Федерации и территории г. Байконура;

Yi - предельный уровень софинансирования расходного обязательства субъекта Российской Федерации и г. Байконура из федерального бюджета, утверждаемый Правительством Российской Федерации в соответствии с пунктом 13(1.1) Правил предоставления субсидий.

(п. 15(1) введен Постановлением Правительства РФ от 30.11.2024 N 1699)

15(2). Размер субсидии из федерального бюджета i-му субъекту Российской Федерации (Ci) и г. Байконуру (Ci) в 2026 году и последующие годы определяется по формуле:

Рисунок 11

где:

Cобщ. - объем бюджетных ассигнований федерального бюджета на текущий финансовый год, предусмотренных Министерству строительства и жилищно-коммунального хозяйства Российской Федерации, для предоставления субсидий из федерального бюджета, распределяемых на соответствующий год;

Cпр - определенный на основании решения президиума (штаба) Правительственной комиссии по региональному развитию в Российской Федерации на текущий финансовый год объем бюджетных ассигнований федерального бюджета, предусмотренных Министерству строительства и жилищно-коммунального хозяйства Российской Федерации, для предоставления субсидий из федерального бюджета на реализацию предусмотренных пунктом 1 настоящих Правил мероприятий, направленных на исполнение поручений Президента Российской Федерации и Председателя Правительства Российской Федерации, с учетом предельного уровня софинансирования расходного обязательства субъекта Российской Федерации и г. Байконура из федерального бюджета, утверждаемого Правительством Российской Федерации в соответствии с пунктом 13(1.1) Правил предоставления субсидий;

Bi - численность населения, проживающего на территории i-го субъекта Российской Федерации и территории г. Байконура;

Yi - предельный уровень софинансирования расходного обязательства субъекта Российской Федерации и г. Байконура из федерального бюджета, утверждаемый Правительством Российской Федерации в соответствии с пунктом 13(1.1) Правил предоставления субсидий.

(п. 15(2) введен Постановлением Правительства РФ от 30.11.2024 N 1699)

16. В случае отказа субъекта Российской Федерации и г. Байконура от получения субсидии из федерального бюджета, поступившего в Министерство строительства и жилищно-коммунального хозяйства Российской Федерации в официальном порядке за подписью высшего должностного лица (председателя высшего исполнительного органа) субъекта Российской Федерации и главы администрации г. Байконура в период проведения расчета размера субсидии из федерального бюджета, сумма такой субсидии перераспределяется в соответствии с положениями настоящих Правил между субъектами Российской Федерации, входящими в состав Дальневосточного федерального округа, за исключением субъектов Российской Федерации, указанных в абзаце втором настоящего пункта, в дополнение к размеру субсидии из федерального бюджета, определенной после распределения, в целях создания условий выполнения поручений Президента Российской Федерации, направленных на усиление поддержки субъектов Российской Федерации, входящих в состав Дальневосточного федерального округа.

(в ред. Постановлений Правительства РФ от 02.12.2022 N 2214, от 09.12.2022 N 2272, от 30.11.2023 N 2034)

(см. текст в предыдущей редакции)

Положения абзаца первого настоящего пункта в части перераспределения суммы субсидии не распространяются на входящие в состав Дальневосточного федерального округа субъекты Российской Федерации, для которых размер субсидии из федерального бюджета определен в соответствии с пунктом 17(1) настоящих Правил.

(абзац введен Постановлением Правительства РФ от 02.12.2022 N 2214)

17. Коэффициент корректировки с учетом базовых коэффициентов (Кбаз) определяется по формуле:

Кбаз = Кмкд x Кип x Кмг x Кфкгс x Кпок x Кцф,

где:

Кмкд, Кип, Кмг - величины, определяемые в соответствии с пунктом 14 настоящих Правил;

Кфкгс - величина:

равная 1, - для субъектов Российской Федерации, достигших показатель "индекс качества городской среды", установленный для субъекта Российской Федерации в соответствии с паспортом федерального проекта;

(в ред. Постановления Правительства РФ от 02.12.2022 N 2214)

(см. текст в предыдущей редакции)

равная 0,95, - для субъектов Российской Федерации, не достигших показатель "индекс качества городской среды", установленный для субъекта Российской Федерации в соответствии с паспортом федерального проекта;

(в ред. Постановления Правительства РФ от 02.12.2022 N 2214)

(см. текст в предыдущей редакции)

Кпок - величина:

равная 1, - для субъектов Российской Федерации, в которых на 100 и более процентов достигнуто значение показателя "доля городов с благоприятной городской средой от общего количества городов" в соответствии с показателями, установленными для субъекта Российской Федерации в соответствии с паспортом федерального проекта;

(в ред. Постановления Правительства РФ от 02.12.2022 N 2214)

(см. текст в предыдущей редакции)

равная 0,95, - для субъектов Российской Федерации, в которых менее чем на 100 процентов достигнуто значение показателя "доля городов с благоприятной городской средой от общего количества городов" в соответствии с показателями, установленными для субъекта Российской Федерации в соответствии с паспортом федерального проекта;

(в ред. Постановления Правительства РФ от 02.12.2022 N 2214)

(см. текст в предыдущей редакции)

Кцф - величина:

равная 1, - для субъектов Российской Федерации, выполнивших 100 процентов мероприятий по цифровизации городского хозяйства в соответствии с перечнем мероприятий по цифровизации городского хозяйства, предусмотренных методическими рекомендациями по цифровизации городского хозяйства, утвержденными Министерством строительства и жилищно-коммунального хозяйства Российской Федерации;

равная 0,95, - для субъектов Российской Федерации, выполнивших менее 100 процентов мероприятий по цифровизации городского хозяйства в соответствии с перечнем мероприятий по цифровизации городского хозяйства, предусмотренных методическими рекомендациями по цифровизации городского хозяйства, утвержденными Министерством строительства и жилищно-коммунального хозяйства Российской Федерации.

(п. 17 в ред. Постановления Правительства РФ от 18.09.2020 N 1481)

(см. текст в предыдущей редакции)

17(1). Размер субсидии из федерального бюджета i-му субъекту Российской Федерации (Ci), определенный в соответствии с пунктом 15 настоящих Правил, в 2023 - 2024 годах не может быть менее 100 млн. рублей, в случае если величины Кфкгс, Кпок и Кцф, предусмотренные пунктом 17 настоящих Правил, равны 1.

(в ред. Постановления Правительства РФ от 30.11.2024 N 1699)

(см. текст в предыдущей редакции)

В случае если определенный в соответствии с пунктом 15 настоящих Правил размер субсидии из федерального бюджета i-му субъекту Российской Федерации (Ci) в 2023 - 2024 годах окажется менее 100 млн. рублей, в соответствующем году размер субсидии определяется по формуле:

(в ред. Постановления Правительства РФ от 30.11.2024 N 1699)

(см. текст в предыдущей редакции)

Рисунок 12

Размер субсидии из федерального бюджета г. Байконуру (Сi), определенный в соответствии с пунктом 15 настоящих Правил, в 2024 году не может быть менее 100 млн. рублей.

(абзац введен Постановлением Правительства РФ от 30.11.2023 N 2034; в ред. Постановления Правительства РФ от 30.11.2024 N 1699)

(см. текст в предыдущей редакции)

Размер субсидии из федерального бюджета субъектам Российской Федерации, определенный в соответствии с пунктом 15 настоящих Правил, подлежит пропорциональному уменьшению на сумму увеличения субсидии из федерального бюджета субъектам Российской Федерации и г. Байконуру, для которых размер субсидии из федерального бюджета определен в соответствии с абзацами вторым - четвертым настоящего пункта.

(в ред. Постановления Правительства РФ от 30.11.2023 N 2034)

(см. текст в предыдущей редакции)

Размер субсидии из федерального бюджета i-му субъекту Российской Федерации (Ci) и г. Байконуру (Ci), определенный в соответствии с пунктами 15(1) и 15(2) настоящих Правил, в 2025 году и последующие годы не может быть менее 100 млн. рублей.

(абзац введен Постановлением Правительства РФ от 30.11.2024 N 1699)

(п. 17(1) введен Постановлением Правительства РФ от 02.12.2022 N 2214)

18. Утратил силу с 1 января 2024 года. - Постановление Правительства РФ от 30.11.2023 N 2034.

(см. текст в предыдущей редакции)

18(1). Утратил силу. - Постановление Правительства РФ от 02.12.2022 N 2214.

(см. текст в предыдущей редакции)

19. Увеличение размера средств бюджетов субъектов Российской Федерации, бюджета г. Байконура и местных бюджетов, направляемых на реализацию государственных программ и муниципальных программ, не влечет обязательств по увеличению размера предоставляемой субсидии из федерального бюджета.

(в ред. Постановления Правительства РФ от 30.11.2023 N 2034)

(см. текст в предыдущей редакции)

20. Оценка эффективности использования i-м субъектом Российской Федерации и г. Байконуром субсидии из федерального бюджета осуществляется путем сравнения фактически достигнутого в отчетном году и установленного соглашением о предоставлении субсидии из федерального бюджета значения результата использования субсидии из федерального бюджета - количество реализованных мероприятий по благоустройству общественных территорий и иных мероприятий, предусмотренных государственными программами и муниципальными программами.

(п. 20 в ред. Постановления Правительства РФ от 30.11.2024 N 1699)

(см. текст в предыдущей редакции)

20(1). Утратил силу с 1 января 2025 года. - Постановление Правительства РФ от 30.11.2024 N 1699.

(см. текст в предыдущей редакции)

21. Уполномоченные высшим исполнительным органом субъекта Российской Федерации исполнительные органы субъекта Российской Федерации и уполномоченное главой администрации г. Байконура структурное подразделение администрации г. Байконура размещают в сроки, установленные соглашением о предоставлении субсидии из федерального бюджета, в государственной интегрированной информационной системе управления общественными финансами "Электронный бюджет" отчетность об осуществлении расходов, в целях софинансирования которых предоставляется субсидия, а также о достижении значения результата использования субсидии.

(п. 21 в ред. Постановления Правительства РФ от 30.11.2024 N 1699)

(см. текст в предыдущей редакции)

21(1). Высший исполнительный орган субъекта Российской Федерации и глава администрации г. Байконура несут ответственность за полноту и достоверность сведений, содержащихся в отчетности о достижении значений результатов использования субсидии из федерального бюджета, а также в отчетности об осуществлении расходов бюджета субъекта Российской Федерации, в целях софинансирования которых предоставляется субсидия из федерального бюджета.

(пп. 21(1) введен Постановлением Правительства РФ от 02.12.2022 N 2214; в ред. Постановления Правительства РФ от 30.11.2023 N 2034)

(см. текст в предыдущей редакции)

22. Основания и порядок применения мер финансовой ответственности к субъекту Российской Федерации и г. Байконуру при невыполнении ими условий соглашения (включая обязательства субъекта Российской Федерации и г. Байконура), в том числе порядок и условия возврата средств из бюджета субъекта Российской Федерации и бюджета г. Байконура в федеральный бюджет, установлены пунктами 16 - 19 Правил предоставления субсидий. Основания и порядок освобождения субъекта Российской Федерации и г. Байконура от применения указанных мер финансовой ответственности установлены пунктом 20 Правил предоставления субсидий.

(п. 22 в ред. Постановления Правительства РФ от 05.08.2024 N 1053)

(см. текст в предыдущей редакции)

23. В случае нарушения целей, установленных при предоставлении субсидии, применяются бюджетные меры принуждения, предусмотренные бюджетным законодательством Российской Федерации.

(п. 23 в ред. Постановления Правительства РФ от 05.08.2024 N 1053)

(см. текст в предыдущей редакции)

23(1). Средства субсидий, не востребованные субъектами Российской Федерации и г. Байконуром в связи с невозможностью освоения в текущем финансовом году бюджетных средств, источником финансового обеспечения которых являются субсидии, и по иным причинам, подлежат перераспределению бюджетам субъектов Российской Федерации и бюджету г. Байконура на реализацию мероприятий, направленных на поддержку государственных программ и муниципальных программ, на основании решений президиума (штаба) Правительственной комиссии по региональному развитию в Российской Федерации в порядке, предусмотренном бюджетным законодательством Российской Федерации.

(п. 23(1) в ред. Постановления Правительства РФ от 30.11.2024 N 1699)

(см. текст в предыдущей редакции)

24. Контроль за соблюдением субъектами Российской Федерации и г. Байконуром условий предоставления субсидий из федерального бюджета осуществляется Министерством строительства и жилищно-коммунального хозяйства Российской Федерации и уполномоченными органами государственного финансового контроля.

(в ред. Постановлений Правительства РФ от 31.03.2020 N 399, от 02.12.2022 N 2214, от 30.11.2023 N 2034)

(см. текст в предыдущей редакции)

25. Перечисление субсидий из федерального бюджета осуществляется в установленном порядке на единые счета бюджетов, открытые финансовым органам субъектов Российской Федерации в территориальных органах Федерального казначейства.

Перечисление субсидий из федерального бюджета бюджету г. Байконура осуществляется в установленном порядке на счет, открытый финансовому органу администрации г. Байконура.

(абзац введен Постановлением Правительства РФ от 30.11.2023 N 2034)

(п. 25 введен Постановлением Правительства РФ от 02.12.2022 N 2214)