IV. Методологические основы, алгоритм формирования и формулы расчета
4.1. Концептуальной основой Методологии является практическое инструктивно-методическое пособие по демографической статистике, утвержденное Росстатом 7 декабря 2007 г.
4.2. Расчет ведется методом компонент на основе отчетных данных по демографическим показателям за предшествующий расчету прогноза год и сценарных переменных. В качестве сценарных переменных для рождаемости используются средний возраст матери при рождении ребенка и суммарный коэффициент рождаемости, для смертности - ожидаемая продолжительность жизни при рождении и коэффициент младенческой смертности, для миграции - абсолютные числа прибывших и выбывших. Сценарии уточняются раз в два года. Расчет проводится по всем субъектам Российской Федерации.
4.3. На первом этапе происходит определение младенческой смертности по полу и преобразование сценарных переменных в возрастные коэффициенты рождаемости, смертности и миграции.
4.3.1. Процедура определения коэффициента младенческой смертности по полу на основе коэффициента смертности для двух полов вместе.
t - год, для которого производится расчет, isex - пол, ireg - субъект.
q(0,t,3,ireg) - коэффициент младенческой смертности для обоего пола,
q(iage,t,isex,ireg), iage = 0, isex = 3.
q(0,t,isex,ireg), isex = 1,2 - коэффициент младенческой смертности мужчин и женщин
Q(0,t,isex,ireg) = 1000 · q(0,t,isex,ireg), isex = 3
Q(0,t,1,ireg) = aM + bM · Q(0,t,3,ireg)
Q(0,t,2,ireg) = aF + bF · Q(0,t,3,ireg),
q(0,t,isex,ireg) = Q(0,t,isex,ireg) / 1000, isex = 1,2
4.3.2. Процедура определения возрастных показателей смертности на основе ожидаемой продолжительности жизни и коэффициента младенческой смертности (по полу).
t - год, для которого производится расчет, isex - пол, ireg - субъект.
Возрастные вероятности смерти, взятые в качестве базовой модели q(iage,-,isex,ireg). При прогнозе берутся q(iage,t-1,isex,ireg) - возрастные вероятности смерти в предыдущем году t-1, iage = 0, ..., 100, для возраста 100 лет указывается возрастной коэффициент смертности;
e0(t,isex,ireg), q(0,t,isex,ireg) - прогнозируемые ожидаемая продолжительность жизни по полу isex и коэффициент младенческой смертности в году t;
lgtS(iage,isex) константы для преобразования логитов вероятностей смерти
q(iage,t,isex,ireg) - возрастные вероятности смерти в году t, по полу isex и возрасту iage = 0, ..., 100, для возраста 100 лет указывается возрастной коэффициент смертности;
PP (iage,t,isex,ireg) - возрастные вероятности дожития в году t, по полу isex и возрасту iage = -1, 0, ..., 99, где возраст "-1" означает родившихся в году t;
Для упрощения в формулах опускается признак пола isex и региона ireg.
lgt(iage,t-1) = 0.5 · ln(q(iage,t-1) / (1 - q(iage,t-1))), iage = 0, ..., 100
lgt0 = 0.5 · ln(q0(t) / (1 - q0(t))) (напомним q0(t) - сценарное значение младенческой смертности).
Задача решается подбором параметров Par1 и Par2, таких что ряд
lgt(iage,t) = lgt(iage,t 1) + (Par1V(iage) + Par2(1 - V(iage))) * lgtS(iage)
соответствует сценарным ожидаемой продолжительности жизни и коэффициенту младенческой смертности в году t.
Par1 = (lgt0 - lgt(0,t-1)) / lgtS(0)
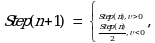
Второй параметр Par2 подбирается с помощью итераций, его значение при итерации Step обозначим Par2(Step)
Первоначально (шаг итераций 0) Step = 0, Par2(Step) = 0
На каждом шаге итерации, соответствующие Par1 и Par2 величины рассчитываются по формулам
q(iage,t) = exp(2 · lgt(iage,t)) / (1 + exp(2 · lgt(iage,t))), iage = 0, ..., 100;
l(iage,t) = l(iage - 1,t) · (1 - q(iage - 1,t)), iage = 1, ..., 100;
Определяется разность D(Step) = eee - e0(t),
Задача считается решенной, если Abs(D(Step))
0.001
На первом шаге итераций,
, на втором и последующем шагах Step = 2, ...
После завершения итераций рассчитывается ряд PP(iage,t) - возрастных вероятностей дожития в году t, iage = -1, 0, ..., 99
PP(iage,t) = LL(iage + 1,t) / LL(iage,t), iage = 0, ..., 98
PP(99,t) = LL(100,t) / (LL(99,t) + LL(100,t))
КонсультантПлюс: примечание.
Нумерация подпунктов дана в соответствии с официальным текстом документа.
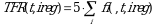
5.3.3. Процедура определения возрастных показателей рождаемости на основе коэффициента суммарной рождаемости и среднего возраста матери при рождении ребенка.
t - год, для которого производится расчет, ireg - регион.
f(i,t-1,ireg) - ряд возрастных коэффициентов в предыдущем году t-1, i = 1, ..., 7, - номер возрастной группы
TFR(t,ireg), Xm(t,ireg) - прогнозируемые суммарный коэффициент рождаемости и средний возраст матери при рождении ребенка в году t;
lgtSF(i) - константы для преобразования логитов коэффициентов рождаемости
f(i,t,ireg) - ряд возрастных коэффициентов в году t, i = 1, ..., 7, - номер возрастной группы.
Для упрощения в формулах признак региона ireg опускается
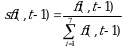
lgtF(i,t-1) = Ln(sf(i,t-1) / (1 - sf(i,t-1)))
Задача решается подбором параметра Par, такого, что ряд
lgtF(i,t) = lgtF(i,t-1) + Par * lgtSF(i)
будет соответствовать TFR(t,ireg), Xm(t,ireg) - прогнозируемые суммарный коэффициент рождаемости и средний возраст матери при рождении ребенка в году t.
Задача решается итерационно. При Step = 0 величина Par = 0.
При заданном Par величина Xm(t) определяется следующим образом:
lgtF(i,t) = lgtF(i,t-1) + Par * lgtSF(i);
sf(i,t) = Exp(lgF(i,t)) / (1 + lgtF(i,t)));
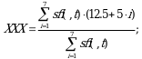
Определяется разность D(Step) = XXX - Xm(t),
Задача считается решенной, если Abs(D(Step))
0.001
На первом шаге итераций,
, на втором и последующем шагах Step = 2, ...
После завершения итераций рассчитывается ряд
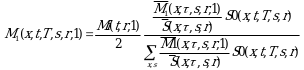
4.3.4. Процедура определения чисел мигрантов по полу и возрасту и расчета населения с учетом миграции.
S0(x,t,T,s,r) - население региона r в момент времени t без учета миграции в году T, (T = 1 - на начало, T = 2 - на конец года) по возрасту x и полу s.
Mi(t,r,y) - сценарное число прибывших в территорию r в году t и типу миграции y, при расчете по России присутствуют два типа миграции, y = 1 миграция из населения с возрастной структурой, похожей на население России, y = 2 миграция из населения с иной (более молодой) возрастной структурой (при расчете по регионам вся миграция относится к первому типу).
M0(t,r) - сценарное число выбывших из территории r в году t;
- население региона r в момент времени
< t по возрасту x и полу s.
- число прибывших в территорию r в году
< t по полу и возрасту. При расчете по России присутствуют два типа миграции, y = 1 миграция из населения с возрастной структуры, похожей на население России, y = 2 миграция из населения с иной (более молодой) возрастной структурой. Считается, что вся миграция базового года относится к первому типу.
- число выбывших из территории r в году
< t по полу и возрасту.
При расчете по России SM(x,s,r) - структура миграции второго типа.
SM0(x,s) - стандартная структура прибывших;
OM(x,s) - стандартная интенсивность выбытия.
S1(x,t0,T,s,r) - население региона r в момент времени t0 с учетом миграции в году T, (T = 1 - на начало, T = 2 - на конец года) по возрасту x и полу s.
M1(x,t,T,s,r,y) - число прибывших в территорию r в году T, (T = 1 - на начало, T = 2 - на конец года) по возрасту x и полу s.
M2(x,t,T,s,r) - число выбывших из территории r в году T (T = 1 - на начало, T = 2 - на конец года) по возрасту x и полу s.
Алгоритм расчета включает в себя следующие этапы:
a) Определяются числа выбывших по полу и возрасту:
Выбирается такое максимальное
,
, что
,
Для года
рассчитывается среднегодовое население
и числа выбывших мигрантов по возрасту на момент переезда
b. Определяются числа прибывших (по России - миграция первого типа y = 1) по полу и возрасту:
Выбирается такое максимальное
,
, что
,
Для года
рассчитывается среднегодовое население
и числа прибывших мигрантов по возрасту на момент переезда
c. Определяются числа прибывших второго типа y = 2 только по России по полу и возрасту
По регионам предполагается, что M1(x,t,T,s,r,2) = 0. Содержательно это означает, что миграция второго типа объединена с миграцией первого типа.
d. Расчет населения с учетом миграции
S1(x,t0,T,s,r) = S0(x,t0,T,s,r) + M1(x,t,T,s,r,1) + M1(x,t,T,s,r,2) - M2(x,t,T,s,r)
e. На втором этапе происходит расчет демографического прогноза на основе процедуры "передвижка по возрастам".
КонсультантПлюс: примечание.
Нумерация подпунктов дана в соответствии с официальным текстом документа.
4.4.1. Процедура прогноза населения одного субъекта на один год
t - год, для которого производится расчет, isex - пол, ireg - субъект.
TFR(t,ireg), Xm(t,ireg) - суммарный коэффициент рождаемости и средний возраст матери при рождении ребенка в году t;
e0(t,isex,ireg), q(0,t,isex,ireg) - ожидаемая продолжительность жизни и коэффициент младенческой смертности в году t;
InMigrTot(t,ireg,Type) - число прибывших в территорию ireg в году t и типу Type, при расчете по России присутствуют два типа миграции, Type = 1 миграция из населения с возрастной структуры, похожей на население России, Type = 2 миграция из населения с иной (более молодой) возрастной структурой, при расчете по регионам вся миграция относится к первому типу.
OutMigrTot(t,ireg) - сценарное число выбывших в территорию ireg в году t;
- доля девочек среди новорожденных.
Результаты прогноза на начало года t или данные базового года:
Popul(iage,t,isex,ireg) - население региона ireg на начало года t по возрасту iage и полу isex.
f(i,t-1,ireg) - ряд возрастных коэффициентов в предыдущем году t-1, i = 1, ..., 7, - номер возрастной группы.
q(iage,t-1,isex,ireg) - возрастные вероятности смерти в предыдущем году t-1, по полу isex, и возрасту iage = 0, ..., 100, для возраста 100 лет указывается возрастной коэффициент смертности;
InMigr(iage,t-1,isex,ireg,Type) - число прибывших в территорию ireg в году t-1 по полу и возрасту и типу.
OutMigr(iage,t-1,isex,ireg) - число выбывших из территории ireg в году t-1 по полу и возрасту.
Данные предыдущих расчетов от базового года до года t-1
Popul(iage,
,isex,ireg) - население региона ireg в момент времени
< t-1 по возрасту iage и полу isex.
InMigr(iage,
,isex,ireg,Type) - число прибывших в территорию ireg в году
< t-1 по полу и возрасту и типу.
OutMigr(iage,
,isex,ireg) - число выбывших из территории ireg в году
< t-1 по полу и возрасту.
lgtSF(i) - константы для преобразования логитов коэффициентов рождаемости,
lgtS(iage,isex) - константы для преобразования логитов вероятностей смерти,
lgtSl(iage,isex), iage = 1, ..., 120 - логиты стандартных чисел живущих таблицы смертности.
[при расчете по России] StrInMigr2(iage,isex,ireg) - структура миграции второго типа.
StrInMigr0(iage,isex) - стандартная структура прибывших;
IntOutMigr0(iage,isex) - стандартная интенсивность выбытия.
Popul(iage,t+1,isex,ireg) - население региона ireg на начало года t+1 по возрасту iage и полу isex.
f(i,t,ireg) - ряд возрастных коэффициентов в году t, i = 1, ..., 7, - номер возрастной группы.
q(iage,t,isex,ireg) - ряд возрастных вероятностей смерти в году t по полу isex и возрасту iage = 0, ..., 100, для возраста 100 лет указывается возрастной коэффициент смертности;
B(i,t,3,ireg) - число родившихся обоих полов у женщин в возрастной группе i в году t;
B(·,t,isex,ireg) - общее число родившихся по полу в году t;
Death(iage,t,isex,ireg) - число умерших в году t по возрасту на начало года и полу;
InMigr(iage,t,isex,ireg,Type) - число прибывших в территорию ireg в году t по полу, возрасту и типу.
OutMigr(iage,t,isex,ireg) - число выбывших из территории ireg в году t по полу и возрасту.
a. С помощью процедуры определения чисел мигрантов по полу и возрасту в момент (начало или конец года) и процедуры расчета населения с учетом миграции определяется население на начало года
b. С помощью процедуры определения коэффициента младенческой смертности по полу на основе коэффициента смертности для двух полов вместе (пункт 5.3.1) переходим от сценарного коэффициента младенческой смертности для двух полов к показателям по полу.
С помощью процедур определения возрастных показателей смертности на основе ожидаемой продолжительности жизни и коэффициента младенческой смертности (по полу) и определения возрастных показателей рождаемости на основе коэффициента суммарной рождаемости и среднего возраста матери при рождении ребенка (пункты 5.3.2 и 5.3.3) на основе соответствующих сценарных переменных рассчитываются:
f(i,t,ireg) - ряд возрастных коэффициентов в году t, i = 1, ..., 7, - номер возрастной группы;
q(iage,t,isex,ireg) - ряд возрастных вероятностей смерти в году t, по полу isex и возрасту iage = 0, ..., 100 для возраста 100 лет указывается возрастной коэффициент смертности;
PP(iage,t,isex,ireg) - ряд возрастных вероятностей дожития в году t, по полу isex, и возрасту iage = -1, 0, ..., 99, где возраст "-1" означает родившихся в году t;
c. Население на конец года без учета миграции Popul0(iage,t,2,isex,ireg) определяется по формулам:
Popul0(iage,t,2,isex,ireg) = Popul1(iage-1,t,1,isex,ireg) · PP(iage-1,t,isex,ireg),
Popul0(100,t,2,isex,ireg) = (Popul1(99,t,1,isex,ireg) + Popul1(100,t,1,isex,ireg)) · PP(99,t,isex,ireg)
Число родившихся обоих полов у женщин в возрастной группе i в году t определяется по формуле:
Общее число родившихся по полу в году t равно:
для девочек B(·,t,2,ireg) = B(·,t,3,ireg) · 
и для мальчиков B(·,t,1,ireg) = B(·,t,3,ireg) - B(·,t,2,ireg).
Popul0(0,t,2,isex,ireg) = B(·,t,isex,ireg) · PP(-1,t,isex,ireg)
d. Окончательное население на начало года t+1 определяется с помощью процедуры "Процедура определения чисел мигрантов по полу и возрасту в момент (начало или конец года) и расчет населения с учетом миграции":
Popul(iage,t+1,isex,ireg) = Popul1(iage,t,2,isex,ireg)
Число мигрантов в году t по возрасту на начало года и полу определяется как
InMigr(-1,t,isex,ireg,Type) = InMigr(-1,t,2,isex,ireg,Type)
InMigr(iage,t,isex,ireg,Type) = InMigr(iage,t,1,isex,ireg,Type) + InMigr(iage,t,2,isex,ireg,Type),
InMigr(99,t,isex,ireg,Type) = InMigr(99,t,1,isex,ireg,Type) + InMigr(100,t,1,isex,ireg,Type) + InMigr(99,t,2,isex,ireg,Type)
OutMigr(-1,t,isex,ireg,Type) = OutMigr(-1,t,2,isex,ireg,Type),
OutMigr(iage,t,isex,ireg,Type) = OutMigr(iage,t,1,isex,ireg,Type) + OutMigr(iage,t,2,isex,ireg,Type),
OutMigr(99,t,isex,ireg,Type) = OutMigr(99,t,1,isex,ireg,Type) + OutMigr(100,t,1,isex,ireg,Type) + OutMigr(99,t,2,isex,ireg,Type)
Число умерших в году t по возрасту на начало года и полу определяется как
Death(-1,t,isex,ireg) = B(·,t,isex,ireg) · (1 - PP(-1,t,isex,ireg)
Death(iage,t,isex,ireg) = Popul1(iage,t,1,isex,ireg) · (1 - PP(iage,t,isex,ireg)),
Death(99,t,isex,ireg) = (Popul1(99,t,1,isex,ireg) + Popul1(100,t,1,isex,ireg)) · (1 - PP(iage,t,isex,ireg))
4.4.2. Процедура балансировки результатов региональных прогнозов к ранее рассчитанному прогнозу по России.
4.4.2.1. Балансировке подлежат следующие показатели:
1) B(·,t,3,r) - общее число родившихся обоего пола в году t;
2) B(·,t,s,r) - общее число родившихся по полу в году t;
3) B(i,t,3,r) - число родившихся обоих полов у женщин в возрастной группе i в году t;
4) M1(x,t,s,r,y) - число прибывших в территорию r в году t по полу, возрасту и типу;
5) D(x,t,s,r) - число умерших в году t по возрасту на начало года и полу;
6) M2(x,t,s,r) - число выбывших из территории r в году t по полу и возрасту.
Пусть r = 1, ..., Nr - основной перечень регионов. Допустим, что Nk регионов rk, k = 1, ..., Nk содержат внутри себя другие субъекты Российской Федерации. Необходимо пересчитать возрастные численности населения на начало года t S(x,t,s,r) и все подлежащие балансировке ряды с тем, чтобы все регионы стали независимы друг от друга, т.е. вычтем из данных по регионам rk, k = 1, ..., Nk данные по входящим в них регионам, где таковые данные имеются - по возрастам (возрастным группам) и полу. Если в процессе вычитания получается отрицательное число, то оно заменяется на 0.
Новый список регионов -
= 1,..., Nr.
= 0 - Россия.
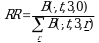
4.4.2.2. Общее число родившихся обоего пола балансируется следующим образом:
BB(·,t,3,
) = B(·,t,3,
) · RR, где индекс B отличает сбалансированный ряд от несбалансированного, а 
4.4.2.3. B(·,t,s,
) - общее число родившихся по полу балансируется с помощью процедуры "Процедура балансировки прямоугольных таблиц при возможном верхнем ограничении на элементы". Строка балансируемой матрицы - пол, столбец - регион. В качестве новой суммы матрицы по строкам берутся числа родившихся в России по полу, в качестве новой суммы матрицы по столбцам берутся числа родившихся в регионах обоих полов вместе. Верхнее ограничение отсутствует.
4.4.2.4. B(i,t,3,
) - число родившихся обоих полов у женщин в возрастной группе i балансируется с помощью вышеназванной процедуры. Строка балансируемой матрицы соответствует возрастной группе, столбец - региону. В качестве новой суммы матрицы по строкам берутся числа родившихся в России по возрастным группам матери, в качестве новой суммы матрицы по столбцам берутся общие числа родившихся в регионах обоих полов вместе. Верхнее ограничение отсутствует.
4.4.2.5. M1(x,t,s,
,1) - число прибывших в территорию
в году t по полу, возрасту и типу.
Для каждого пола подсчитывается сумма
. Если эта сумма больше или равна M1(x,t,s,0) = M1(x,t,s,0,1) + M1(x,t,s,0,2), то балансировка не требуется.
Ряд M1(·,t,s,
,1) следующим образом балансируется к итогу по России
, где
.
Ряд M1(x,t,s,
,1) - число прибывших в территорию
балансируется с помощью вышеназванной процедуры "Процедура балансировки прямоугольных таблиц при возможном верхнем ограничении на элементы" для каждого пола отдельно. Строка балансируемой матрицы соответствует возрасту, столбец - региону. В качестве новой суммы матрицы по строкам берутся возрастные численности прибывших в Россию, в качестве новой суммы матрицы по столбцам берутся сбалансированные общие числа прибывших
. Верхнее ограничение отсутствует.
4.4.2.6. Подсчитывается население регионов на конец года t без учета смертности и эмиграции:
КонсультантПлюс: примечание.
Нумерация подпунктов дана в соответствии с официальным текстом документа.
5.4.2.7. Ряды D(x,t,s,r) - число умерших в году t по возрасту на начало года и полу подлежат балансировке при всех условиях.
Ряд D(·,t,s,
,1) следующим образом балансируется к итогу по России DB(·,t,s,
,1) = D(·,t,s,
,1) · RR, где
.
Ряды D(x,t,s,r) - число умерших в году t по возрасту на начало года балансируются с помощью вышеназванной процедуры "Процедура балансировки прямоугольных таблиц при возможном верхнем ограничении на элементы" для каждого пола отдельно. Строка балансируемой матрицы соответствует возрасту, столбец - региону. В качестве новой суммы матрицы по строкам берутся возрастные численности умерших по России D(x,t,s,0), в качестве новой суммы матрицы по столбцам берутся сбалансированные общие числа умерших DB(·,t,s,
). Верхнее ограничение равно S1(x+1,t+1,s,
). Результат балансировки DB(x,t,s,
)
4.4.2.8. Подсчитывается население регионов на конец года t без учета эмиграции
S2(x+1,t+1,s,
) = S1(x+1,t+1,s,
) - DB(x,t,s,
)
4.4.2.9. Ряды M2(x,t,s,r) чисел выбывших из территории r в году t по полу и возрасту подлежат балансировке при всех условиях. Сумма выбывших из всех регионов России по каждой возрастно-половой группе должна равняться числу прибывших во все регионы России плюс число прибывших в Россию минус число выбывших из России по данным общероссийского расчета. Соответствующий ряд обозначим
Ряд M2(·,t,s,
,1) следующим образом балансируется к итогу по России M2(
,t,s,0):
Ряды M2(x,t,s,r) - числа выбывших из территории r в году t по полу и возрасту на начало года балансируются с помощью "Процедуры балансировки прямоугольных таблиц при возможном верхнем ограничении на элементы" для каждого пола отдельно. Строка балансируемой матрицы соответствует возрасту, столбец - региону. В качестве новой суммы матрицы по строкам берутся возрастные численности M2(x,t,s,0), в качестве новой суммы матрицы по столбцам берутся сбалансированные общие числа выбывших
. Верхнее ограничение равно S2(x+1,t+1,s,
). Результат балансировки 
4.4.2.10. Окончательное увязанное население на конец года
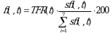
4.5. На третьем этапе на данных прогноза населения происходит расчет таблиц рождаемости и смертности для всего прогнозного периода.
4.5.1. Процедура расчета показателей таблиц смертности в году t
Данная процедура используется при региональном прогнозе, главное ее назначение - рассчитывать таблицы смертности по регионам после увязки прогнозных чисел умерших по регионам и России.
Она может быть применена для расчета таблиц смертности в базовом году по регионам и по России в целом, но надо учитывать, что этот расчет сопряжен с очень сильным выравниванием.
Popul(iage,t,isex,ireg), Popul(iage,t+1,isex,ireg) - население региона ireg по полу и возрасту на начало лет t, t+1.
Death(iage,t,isex,ireg) - числа умерших в году t в регионе ireg по полу и возрасту на начало года t.
lgtS1(iage,isex), iage = 1, ..., 120 - логиты стандартных чисел живущих таблицы смертности.
lgtS(iage,isex) - константы для преобразования логитов вероятностей смерти
q(iage,t,isex,ireg) - ранее рассчитанные вероятности смертности за год t по другим регионам. Предполагается вертикальная организация расчета от больших территорий к меньшим: Россия в целом, федеральные округа, республики, края, области, автономные округа.
q(iage,t,isex,ireg) - [окончательные] возрастные вероятности смерти в году t; iage = 0, ..., 100, для возраста 100 лет указывается возрастной коэффициент смертности;
PP(iage,t,isex,ireg) - [окончательные] возрастные вероятности дожития в году t, iage = -1, 0, ..., 99, где возраст "-1" означает родившихся в году t;
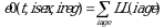
e0(t,isex,ireg) - ожидаемая продолжительность жизни при рождении в году t
Определение [окончательные] относится к ситуации собственно расчета прогноза по субъектам.
a. Осуществляется переход от показателей по возрасту на начало года к показателям по возрасту на момент наступления событии:
А также подсчитывается общее число умерших данного пола 
и численность населения обоего пола
Далее используются два разных алгоритма для случаев
PopSex > 20000 и PopSex
20000.
Суммированием по соответствующим возрастам осуществляется переход к возрастным группам iA = 0, 1 - 4, 5 - 9, ..., 80 - 84, 85+ как в числах умерших, так и в данных о населении.
Рассчитываются коэффициенты смертности.
Для возраста 0 лет, если
(iA,t,isex,ireg) > 0.1 и
(iA,isex,iY,ireg) > 0.1
для других возрастов, если
(iA,t,isex,ireg) > 0 и
(iA,isex,iY,ireg) > 0.1,
mx(iA,t,isex,ireg) = 0.0000001
iA = 0, 1 - 4, 5 - 9, ..., 80 - 84.
Если iA = 85+, то используется та же формула, но при этом если mx(iA,t,isex,ireg) < 0.294118, то он принимается равным 0.294118.
c. Рассчитываются вероятности смерти
Если mx(iA,t,isex,ireg) < 0.4, то
qx(1-4,t,isex,ireg) = 4 · mx(1-4,t,isex,ireg) / (1 + 2.4 · mx(1-4,t,isex,ireg)),
qx(iA,t,isex,ireg) = 5 · mx(iA,t,isex,ireg) / (1 + 2.5 · mx(iA,t,isex,ireg)),
Если mx(iA,t,isex,ireg)
0.4, то соответствующая вероятность
qx(1-4,t,isex,ireg) = 1 - exp(-4·mx(1-4,t,isex,ireg)),
qx(iA,t,isex,ireg) = 1 - exp(-5·mx(iA,t,isex,ireg)), iA = 5 - 9, ..., 80 - 84
d. Для каждого возраста рассчитываются основные функции таблицы смертности: числа доживающих l(iA,t,isex,ireg) и числа живущих LL(iA,t,isex,ireg).
В дальнейшем в формулах этого пункта символы t, isex, ireg опускаются.
LL(1) = 4 * l(5) + (l(1) - l(5)) * 1.6
l(iA + 5) = l(iA) * (1 - qx(iA))
LL(iA) = 2.5 * (l(iA) + l(iA + 5))
Продолжительность жизни при рождении рассчитывается как
lgtl(iage) = ln((1 - l(iage)) / l(iage)), iage = 1, 5, 10, ..., 85.
Далее для выравнивания показателей рассчитываются
и определяются параметры Par1 и Par2
Выровненные числа доживающих для возрастов 0, ..., 120 определяются по формулам:
Вероятности смерти рассчитываются как
Если ранее рассчитанная лежит в интервале 0.002
qx(0)
0.09, то
, иначе
, причем если
окажется меньше 0.0005, то оно заменяется на 0.0005
Вместо вероятности смерти в возрасте 100 лет указывается коэффициент смертности.
e. Далее с помощью вышеописанной процедуры определения возрастных показателей смертности на основе ожидаемой продолжительности жизни и коэффициента младенческой смертности (по полу) вероятности
несколько уточняются с тем, чтобы вероятность смерти и ожидаемая продолжительность жизни при рождении, соответствующие выходному ряду q(iage,t,isex,ireg), iage = 0, 1, ..., 100, в точности равнялись q(0,t,isex,ireg), e(0,t,isex,ireg), определенным в формулах (А) и (Б). Одновременно в процедуре рассчитывается PP(iage,t,isex,ireg) - возрастные вероятности дожития в году t, iage = -1, 0, ..., 99, где возраст "-1" означает родившихся в году t.
Выбирается объемлющая территория ireg0(PopSex > 20000), по которой расчет проведен.
lgt(iage,t,isex,ireg0) = (1 - q(iage,t,isex,ireg0)) / ln(q(iage,t,isex,ireg0),
Далее с помощью итераций подбирается такой параметр par, что таблица смертности, соответствующая логит-преобразованию ряда вероятностей смерти, равному
lgt(iage,par) = lgt(iage,t,isex,ireg0) - Par * lgtS(iage)
соответствовала общему числу умерших в населении, равному Death(·,t,isex,ireg)
Число умерших DDD(par), соответствующее данному значению параметра par определяется следующим образом
q(iage,par) = 1 / (1 + exp(2 · lgt(iage,par))), iage = 0, ..., 100;
l(iage,par) = l(age-1,par) · (1 - q(iage-1,par)), iage = 1, ..., 100;
LL(iage,par) = (l(iage,par) + l(iage+1,par)) / 2, iage = 1, ..., 99
Итерации организуются следующим образом.
Первоначально par(0) = 0 и Step(0) = 0
Сравнивается Death(·,t,isex,ireg) и DDD(0). Если абсолютная величина их разности больше 0.5, то
Следующий шаг итераций проводится при значении параметра par(1) = par(0) + Step(1).
В общем случае итерации продолжаются до тех пор, пока Abs(Death(·,t,isex,ireg) - DDD(par(n))) > 0.5
Следующий par(n+1) = par(n) + Step(n+1) и
= (Death(·,t,isex,ireg) - DDD(par(n))) · (Death(·,t,isex,ireg) - DDD(par(n-1)))
Ожидаемая продолжительность жизни при рождении в году t есть 
4.5.2. Процедура расчета показателей рождаемости в году t
Данная процедура используется при региональном прогнозе, главное ее назначение - рассчитывать показатели рождаемости по регионам после увязки прогнозных чисел родившихся субъектам и России.
Popul(iage,t,isex,ireg), Popul(iage,t+1,isex,ireg) - население региона ireg по полу и возрасту на начало лет t, t+1.
B(i,t,3,ireg) - числа родившихся обоих полов в году t в регионе ireg по возрастным группам матери.
При работе с данными статистики рождения до 15 лет следует включить в группу 15 - 19 лет, а после 50 - в группу 45 - 49 лет.
f(i,t,ireg) - ряд возрастных коэффициентов в году t, i = 1, ..., 7, - номер возрастной группы
TFR(t,ireg), Xm(t,ireg) - суммарный коэффициент рождаемости и средний возраст матери при рождении ребенка в году t в регионе ireg;
Суммированием по соответствующим возрастам осуществляется переход в данных о населении к возрастным группам 1 - 7.
- Гражданский кодекс (ГК РФ)
- Жилищный кодекс (ЖК РФ)
- Налоговый кодекс (НК РФ)
- Трудовой кодекс (ТК РФ)
- Уголовный кодекс (УК РФ)
- Бюджетный кодекс (БК РФ)
- Арбитражный процессуальный кодекс
- Конституция РФ
- Земельный кодекс (ЗК РФ)
- Лесной кодекс (ЛК РФ)
- Семейный кодекс (СК РФ)
- Уголовно-исполнительный кодекс
- Уголовно-процессуальный кодекс
- Производственный календарь на 2025 год
- МРОТ 2025
- ФЗ «О банкротстве»
- О защите прав потребителей (ЗОЗПП)
- Об исполнительном производстве
- О персональных данных
- О налогах на имущество физических лиц
- О средствах массовой информации
- Производственный календарь на 2026 год
- Федеральный закон "О полиции" N 3-ФЗ
- Расходы организации ПБУ 10/99
- Минимальный размер оплаты труда (МРОТ)
- Календарь бухгалтера на 2025 год
- Частичная мобилизация: обзор новостей
- Постановление Правительства РФ N 1875
- вспомогательный ряд

















- вспомогательный ряд
.


.
.
, где
.























