к Государственной программе развития
сельского хозяйства и регулирования
рынков сельскохозяйственной продукции,
сырья и продовольствия
Список изменяющих документов
(введены Постановлением Правительства РФ
от 18.04.2022 N 695 (ред. 18.11.2022);
в ред. Постановлений Правительства РФ от 13.06.2023 N 976,
от 24.11.2023 N 1984)
1. Настоящие Правила устанавливают цели, условия и порядок предоставления и распределения субсидий из федерального бюджета бюджетам субъектов Российской Федерации в целях софинансирования расходных обязательств субъектов Российской Федерации, возникающих при реализации мероприятий, направленных на стимулирование увеличения производства картофеля и овощей (далее - субсидии).
(см. текст в предыдущей редакции)
2. Понятия, используемые в настоящих Правилах, означают следующее:
"агротехнологические работы" - комплекс мероприятий по обработке почв, внесению удобрений, подготовке семян и посадочного материала (включая стоимость семян и посадочного материала), посеву и посадке, уходу за посевами, а также по уборке урожая;
абзац утратил силу. - Постановление Правительства РФ от 13.06.2023 N 976;
(см. текст в предыдущей редакции)
"средства" - средства бюджета субъекта Российской Федерации, источником софинансирования которых являются субсидии;
"технология досвечивания" - технология круглогодичного выращивания овощей защищенного грунта с использованием системы электрического досвечивания, соответствующей требованиям к мощности досвечивания и урожайности овощей с 1 гектара производственной площади, определенным Министерством сельского хозяйства Российской Федерации (при этом требования к мощности досвечивания не применяются при использовании светодиодных фитооблучателей);
(в ред. Постановления Правительства РФ от 13.06.2023 N 976)
(см. текст в предыдущей редакции)
"инвестиционный проект" - документация, включающая обоснование экономической целесообразности, объема и сроков осуществления затрат на создание и (или) модернизацию хранилищ, в том числе необходимая проектная документация, разработанная в соответствии с законодательством Российской Федерации, а также описание практических действий по осуществлению таких затрат;
"модернизация" - работы, связанные с повышением технико-экономических показателей оборудования, здания, строения и сооружения;
"подработка" - подработка сельскохозяйственной продукции, включающая технологические операции для создания товарного вида сельскохозяйственной продукции, используемой в дальнейшем для реализации потребителям без последующей промышленной переработки (сортировка, калибровка, мойка, упаковка и дозревание) или в виде сырья для последующей (промышленной) переработки продукции;
"прямые понесенные затраты" - выраженные в денежной форме расходы получателей средств на создание и (или) модернизацию хранилищ, равные фактической и (или) плановой стоимости хранилища;
"создание" - строительство зданий, строений и сооружений (в том числе на месте сносимых объектов капитального строительства) и оснащение их специальной техникой и оборудованием, предусмотренные соответствующим инвестиционным проектом;
"фактическая и (или) плановая стоимость хранилища" - сумма затрат, понесенных и (или) планируемых получателями средств на создание и (или) модернизацию хранилищ;
"хранилище" - здание, строение или сооружение, предназначенные для сбора, хранения, хранения и подработки, первичной переработки и реализации различных видов овощей и картофеля и оснащенные соответствующим технологическим оборудованием.
3. Субсидии предоставляются в целях софинансирования расходных обязательств субъектов Российской Федерации, возникающих при реализации мероприятий государственных программ (подпрограмм) субъектов Российской Федерации, направленных на развитие агропромышленного комплекса, и (или) при предоставлении средств из бюджета субъекта Российской Федерации местным бюджетам в целях софинансирования расходных обязательств муниципальных образований, расположенных на территории субъекта Российской Федерации, при реализации муниципальных программ развития агропромышленного комплекса, связанных с предоставлением средств из бюджета субъекта Российской Федерации (местного бюджета) сельскохозяйственным товаропроизводителям (за исключением граждан, ведущих личное подсобное хозяйство, и сельскохозяйственных кредитных потребительских кооперативов), гражданам, ведущим личное подсобное хозяйство и применяющим специальный налоговый режим "Налог на профессиональный доход", на финансовое обеспечение (возмещение) части затрат (без учета налога на добавленную стоимость), понесенных при реализации направлений, указанных в пункте 4 настоящих Правил, а также российским организациям, осуществляющим создание и (или) модернизацию хранилищ (далее - получатели средств), в пределах лимитов бюджетных обязательств, доведенных до Министерства сельского хозяйства Российской Федерации как получателя средств федерального бюджета на предоставление субсидий на цели, указанные в настоящем пункте.
(п. 3 в ред. Постановления Правительства РФ от 13.06.2023 N 976)
(см. текст в предыдущей редакции)
а) сельскохозяйственным товаропроизводителям (за исключением граждан, ведущих личное подсобное хозяйство, и сельскохозяйственных кредитных потребительских кооперативов), включенным в единый реестр субъектов малого и среднего предпринимательства, отвечающим критериям отнесения к субъектам малого предпринимательства в соответствии с Федеральным законом "О развитии малого и среднего предпринимательства в Российской Федерации", на финансовое обеспечение (возмещение) части затрат на проведение агротехнологических работ, повышение уровня экологической безопасности сельскохозяйственного производства, а также на повышение плодородия и качества почв - по ставке на 1 гектар посевной площади, занятой картофелем и овощными культурами открытого грунта;
б) сельскохозяйственным товаропроизводителям (за исключением граждан, ведущих личное подсобное хозяйство, и сельскохозяйственных кредитных потребительских кооперативов):
на финансовое обеспечение (возмещение) части затрат на поддержку элитного семеноводства - по ставке на 1 тонну элитных и (или) оригинальных семян картофеля и (или) овощных культур, включая гибриды овощных культур;
на финансовое обеспечение (возмещение) части затрат на производство овощей защищенного грунта, произведенных с применением технологии досвечивания, - по ставке на 1 тонну произведенных овощей защищенного грунта собственного производства;
на финансовое обеспечение (возмещение) части затрат на поддержку производства картофеля и овощей открытого грунта - по ставке на 1 тонну произведенных картофеля и овощей открытого грунта;
в) гражданам, ведущим личное подсобное хозяйство и применяющим специальный налоговый режим "Налог на профессиональный доход":
на финансовое обеспечение (возмещение) части затрат на поддержку элитного семеноводства - по ставке на 1 гектар посевной площади, засеянной элитными семенами картофеля и овощных культур, включая гибриды овощных культур;
на финансовое обеспечение (возмещение части затрат) на поддержку производства картофеля и овощей открытого грунта - по ставке на 1 тонну реализованных картофеля и овощей открытого грунта;
г) сельскохозяйственным товаропроизводителям (за исключением граждан, ведущих личное подсобное хозяйство) и российским организациям, осуществляющим создание и (или) модернизацию хранилищ, на финансовое обеспечение (возмещение) части прямых понесенных затрат на создание и (или) модернизацию хранилищ по инвестиционным проектам, отобранным в соответствии с порядком, указанным в пункте 5 настоящих Правил, за исключением затрат, на возмещение которых предоставлены средства в соответствии с постановлением Правительства Российской Федерации от 24 ноября 2018 г. N 1413 "Об утверждении Правил предоставления и распределения иных межбюджетных трансфертов из федерального бюджета бюджетам субъектов Российской Федерации в целях софинансирования расходных обязательств субъектов Российской Федерации по возмещению части прямых понесенных затрат на создание и (или) модернизацию объектов агропромышленного комплекса, а также на приобретение и ввод в промышленную эксплуатацию маркировочного оборудования для внедрения обязательной маркировки отдельных видов молочной продукции", а также в соответствии с иными нормативными правовыми актами Российской Федерации, - в 2024 году и в последующие годы.
(в ред. Постановления Правительства РФ от 24.11.2023 N 1984)
(см. текст в предыдущей редакции)
5. Порядок конкурсного отбора инвестиционных проектов, представленных получателями средств на возмещение части прямых понесенных затрат на создание и (или) модернизацию хранилищ (далее - отбор), процедура ранжирования и распределения инвестиционных проектов по федеральным округам Российской Федерации, по результатам которой комиссией по проведению отбора инвестиционных проектов, образуемой Министерством сельского хозяйства Российской Федерации (далее - комиссия), принимается решение об отборе инвестиционных проектов, критерии балльной оценки, а также требования к хранилищам и составу заявочной документации, представляемой сельскохозяйственными товаропроизводителями (за исключением граждан, ведущих личное подсобное хозяйство) и российскими организациями, осуществляющими создание и (или) модернизацию хранилищ, в исполнительный орган субъекта Российской Федерации, уполномоченный высшим исполнительным органом субъекта Российской Федерации (далее соответственно - заявочная документация, уполномоченный орган), устанавливаются Министерством сельского хозяйства Российской Федерации.
6. Для получателей средств, использующих право на освобождение от исполнения обязанностей налогоплательщика, связанных с исчислением и уплатой налога на добавленную стоимость, финансовое обеспечение (возмещение) части затрат осуществляется исходя из суммы расходов на приобретение товаров (работ, услуг), включая сумму налога на добавленную стоимость.
7. Средства предоставляются получателям средств:
а) по направлению, указанному в подпункте "а" пункта 4 настоящих Правил, при условии, что на посев при проведении агротехнологических работ получателями средств использовались семена сельскохозяйственных культур, сорта или гибриды которых включены в Государственный реестр селекционных достижений, допущенных к использованию, а также при условии, что сортовые и посевные качества таких семян соответствуют для овощных культур ГОСТ 32592-2013, ГОСТ Р 30106-94, ГОСТ 32917-2014, для картофеля - ГОСТ 33996-2016;
(в ред. Постановления Правительства РФ от 13.06.2023 N 976)
(см. текст в предыдущей редакции)
б) по направлению, указанному в абзаце четвертом подпункта "б" пункта 4 настоящих Правил, с учетом следующих условий:
внесение удобрений, используемых при производстве картофеля и овощей открытого грунта, в объеме, установленном уполномоченным органом;
использование семян и посадочного материала сельскохозяйственных культур, сорта или гибриды которых внесены в Государственный реестр селекционных достижений, допущенных к использованию, при условии, что сортовые и посевные качества таких семян и посадочного материала соответствуют для овощных культур ГОСТ 32592-2013, ГОСТ Р 30106-94, ГОСТ 32917-2014, для картофеля - ГОСТ 33996-2016;
(в ред. Постановления Правительства РФ от 24.11.2023 N 1984)
(см. текст в предыдущей редакции)
в) по направлениям, указанным в подпункте "в" пункта 4 настоящих Правил, с учетом следующих условий:
применение налогового режима должно подтверждаться справкой о постановке на учет (снятии с учета) физического лица в качестве плательщика налога на профессиональный доход;
гражданин, ведущий личное подсобное хозяйство и применяющий специальный налоговый режим "Налог на профессиональный доход", должен:
представить выписку из похозяйственной книги, подтверждающую ведение производственной деятельности не менее чем в течение 12 месяцев, предшествующих году предоставления субсидии;
г) по направлению, указанному в подпункте "г" пункта 4 настоящих Правил, с учетом следующих условий:
если создание и (или) модернизация хранилищ начаты не ранее чем за 3 года до начала предоставления субсидии и хранилища введены в эксплуатацию не позднее 1 июля года предоставления субсидии (требование к сроку начала создания и (или) модернизации хранилищ не распространяется в течение 3 лет со дня подачи заявки на участие в отборе в отношении хранилищ по инвестиционным проектам, которые отобраны комиссией, но субсидия по которым не предоставлена в связи с отсутствием лимитов бюджетных обязательств, доведенных до Министерства сельского хозяйства Российской Федерации, на предоставление субсидии на соответствующий финансовый год на создание и (или) модернизацию хранилищ);
(в ред. Постановления Правительства РФ от 13.06.2023 N 976)
(см. текст в предыдущей редакции)
средства из бюджета субъекта Российской Федерации на возмещение получателям средств части прямых понесенных затрат не могут служить источником финансового обеспечения расходов, связанных с разработкой проектной документации и проведением инженерных изысканий, выполняемых для подготовки такой проектной документации, проведением государственной экспертизы проектной документации и результатов инженерных изысканий и проведением проверки достоверности определения сметной стоимости хранилищ;
доля средств в общем размере прямых понесенных затрат составляет в отношении хранилищ 25 процентов фактической стоимости хранилища (но не выше предельной стоимости хранилища, определяемой исходя из предельного значения стоимости единицы мощности хранилища, устанавливаемого Министерством сельского хозяйства Российской Федерации).
Подтверждением факта ввода в эксплуатацию хранилища является наличие разрешения на ввод хранилища в эксплуатацию, при модернизации - наличие акта приемки хранилища и (или) документов, подтверждающих приобретение техники и (или) оборудования.
(в ред. Постановления Правительства РФ от 13.06.2023 N 976)
(см. текст в предыдущей редакции)
8. По направлениям, указанным в подпунктах "а" - "в" пункта 4 настоящих Правил, ставки определяются высшим исполнительным органом субъекта Российской Федерации или уполномоченным органом.
Субъекты Российской Федерации, в которых в 2023 году в соответствии с Указом Президента Российской Федерации от 19 октября 2022 г. N 757 "О мерах, осуществляемых в субъектах Российской Федерации в связи с Указом Президента Российской Федерации от 19 октября 2022 г. N 756" введен средний уровень реагирования, вправе устанавливать повышающий коэффициент, применяемый к ставкам, указанным в абзаце первом настоящего пункта, в отношении получателей средств, пострадавших в результате действий вооруженных формирований Украины, в пределах размера субсидии, предусмотренной субъекту Российской Федерации на текущий финансовый год, не выше 1,5.
По направлению, указанному в абзаце втором подпункта "б" пункта 4 настоящих Правил, в случае возмещения части затрат на приобретение семян картофеля и (или) овощных культур, включая гибриды овощных культур, произведенных в рамках Федеральной научно-технической программы развития сельского хозяйства на 2017 - 2030 годы, утвержденной постановлением Правительства Российской Федерации от 25 августа 2017 г. N 996 "Об утверждении Федеральной научно-технической программы развития сельского хозяйства на 2017 - 2030 годы", установленный субъектом Российской Федерации размер ставки не может превышать 70 процентов затрат (исходя из стоимости, не превышающей установленную высшим исполнительным органом субъекта Российской Федерации или уполномоченным органом предельную стоимость реализации таких семян).
(п. 8 в ред. Постановления Правительства РФ от 24.11.2023 N 1984)
(см. текст в предыдущей редакции)
9. Критериями отбора субъектов Российской Федерации для предоставления субсидии являются:
наличие нормативного правового акта субъекта Российской Федерации, содержащего положения, указанные в пункте 7 настоящих Правил.
10. Предоставление субсидии осуществляется на основании соглашения о предоставлении субсидии, подготавливаемого (формируемого) и заключаемого с использованием государственной интегрированной информационной системы управления общественными финансами "Электронный бюджет" в соответствии с типовой формой соглашения, утвержденной Министерством финансов Российской Федерации (далее - соглашение о предоставлении субсидии).
11. Условиями предоставления субсидии являются:
а) наличие правового акта субъекта Российской Федерации, предусматривающего мероприятия, при реализации которых возникают расходные обязательства субъекта Российской Федерации, в целях софинансирования которых предоставляется субсидия, в соответствии с требованиями нормативных правовых актов Российской Федерации;
б) наличие в бюджете субъекта Российской Федерации бюджетных ассигнований на исполнение расходного обязательства субъекта Российской Федерации, софинансирование которого осуществляется из федерального бюджета, в объеме, необходимом для его исполнения;
в) заключение соглашения о предоставлении субсидии между Министерством сельского хозяйства Российской Федерации и высшим исполнительным органом субъекта Российской Федерации в соответствии с пунктом 10 Правил формирования, предоставления и распределения субсидий из федерального бюджета бюджетам субъектов Российской Федерации, утвержденных постановлением Правительства Российской Федерации от 30 сентября 2014 г. N 999 "О формировании, предоставлении и распределении субсидий из федерального бюджета бюджетам субъектов Российской Федерации" (далее - Правила формирования субсидий).
11(1). В соглашение о предоставлении субсидии подлежат включению обязательство субъекта Российской Федерации по перечислению не позднее 1 мая текущего финансового года получателям средств не менее 50 процентов размера субсидии, предусмотренного этому субъекту Российской Федерации в федеральном бюджете на текущий финансовый год (для субъектов Российской Федерации, входящих в состав Дальневосточного федерального округа, - не менее 20 процентов), а также обязательство по заключению в соответствии с пунктом 20(1) настоящих Правил дополнительного соглашения к соглашению о предоставлении субсидии об уменьшении размера субсидии, подлежащей предоставлению из федерального бюджета бюджету субъекта Российской Федерации в текущем финансовом году, в случае нарушения обязательства по перечислению средств, указанного в настоящем пункте.
(п. 11(1) введен Постановлением Правительства РФ от 13.06.2023 N 976; в ред. Постановления Правительства РФ от 24.11.2023 N 1984)
(см. текст в предыдущей редакции)
12. Размер субсидии, предоставляемой бюджету i-го субъекта Российской Федерации (Wi), определяется по формуле:
Wi = a1i + a2i + a3i + a4i + a5i + a6i + a7i + Wki,
a1i - размер субсидии, предоставляемой бюджету i-го субъекта Российской Федерации по направлению, указанному в абзаце четвертом подпункта "б" пункта 4 настоящих Правил, в части поддержки производства овощей открытого грунта;
a2i - размер субсидии, предоставляемой бюджету i-го субъекта Российской Федерации по направлению, указанному в абзаце третьем подпункта "б" пункта 4 настоящих Правил;
a3i - размер субсидии, предоставляемой бюджету i-го субъекта Российской Федерации по направлению, указанному в абзаце четвертом подпункта "б" пункта 4 настоящих Правил, в части поддержки производства картофеля;
a4i - размер субсидии, предоставляемой бюджету i-го субъекта Российской Федерации по направлению, указанному в абзаце втором подпункта "б" пункта 4 настоящих Правил;
a5i - размер субсидии, предоставляемой бюджету i-го субъекта Российской Федерации по направлению, указанному в подпункте "а" пункта 4 настоящих Правил;
a6i - размер субсидии, предоставляемой бюджету i-го субъекта Российской Федерации по направлению, указанному в подпункте "в" пункта 4 настоящих Правил, в части производства картофеля;
a7i - размер субсидии, предоставляемой бюджету i-го субъекта Российской Федерации по направлению, указанному в подпункте "в" пункта 4 настоящих Правил, в части производства овощей открытого грунта;
Wki - объем бюджетных ассигнований, предусмотренных на предоставление субсидии на соответствующий финансовый год на создание и (или) модернизацию хранилищ в i-м субъекте Российской Федерации.
(п. 12 в ред. Постановления Правительства РФ от 24.11.2023 N 1984)
(см. текст в предыдущей редакции)
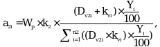
13. Размер субсидии, предоставляемой бюджету i-го субъекта Российской Федерации по направлению, указанному в абзаце четвертом подпункта "б" пункта 4 настоящих Правил, в части поддержки производства овощей открытого грунта (a1i), определяется по формуле:
Wp - объем бюджетных ассигнований, предусмотренных в федеральном бюджете на предоставление субсидии на соответствующий финансовый год, за исключением субсидии на создание и (или) модернизацию хранилищ;
k1 - коэффициент, устанавливаемый Министерством сельского хозяйства Российской Федерации для определения размера субсидии, предоставляемой в целях софинансирования расходных обязательств субъекта Российской Федерации по финансовому обеспечению (возмещению) части затрат на поддержку производства овощей открытого грунта;
Dv1i - объем производства овощей открытого грунта в сельскохозяйственных организациях, крестьянских (фермерских) хозяйствах и у индивидуальных предпринимателей в i-м субъекте Российской Федерации за отчетный финансовый год на основании данных Федеральной службы государственной статистики;
Dvпр1i - прирост объема производства овощей открытого грунта в сельскохозяйственных организациях, крестьянских (фермерских) хозяйствах и у индивидуальных предпринимателей за отчетный финансовый год к среднему объему производства овощей открытого грунта в сельскохозяйственных организациях, крестьянских (фермерских) хозяйствах и у индивидуальных предпринимателей за 3 года, предшествующие отчетному финансовому году, в i-м субъекте Российской Федерации, определяемый по формуле:
где SPRv1i - средний за 3 года, предшествующие отчетному финансовому году, объем производства овощей открытого грунта в сельскохозяйственных организациях, крестьянских (фермерских) хозяйствах и у индивидуальных предпринимателей в i-м субъекте Российской Федерации, определяемый на основании данных Федеральной службы государственной статистики.
В случае если Dvпр1i имеет отрицательное значение, применяется значение, равное нулю;
kvi - коэффициент увеличения показателя i-го субъекта Российской Федерации. Для субъектов Российской Федерации, входящих в состав Дальневосточного федерального округа, значение коэффициента равно 2, для Калининградской области - 1,2, для других субъектов Российской Федерации - 1;
Yi - предельный уровень софинансирования расходного обязательства i-го субъекта Российской Федерации из федерального бюджета на очередной финансовый год (процентов), определяемый в соответствии с пунктом 13 Правил формирования субсидий;
n1 - количество субъектов Российской Федерации, являющихся участниками федерального проекта "Развитие отраслей овощеводства и картофелеводства" на очередной финансовый год по направлению, указанному в абзаце четвертом подпункта "б" пункта 4 настоящих Правил, в части поддержки производства овощей открытого грунта.
(п. 13 в ред. Постановления Правительства РФ от 24.11.2023 N 1984)
(см. текст в предыдущей редакции)
14. Размер субсидии, предоставляемой бюджету i-го субъекта Российской Федерации по направлению, указанному в абзаце третьем подпункта "б" пункта 4 настоящих Правил (a2i), определяется по формуле:
k2 - коэффициент, устанавливаемый Министерством сельского хозяйства Российской Федерации для определения размера субсидии, предоставляемой в целях софинансирования расходных обязательств субъекта Российской Федерации по финансовому обеспечению (возмещению) части затрат на производство овощей защищенного грунта, произведенных с применением технологии досвечивания;
Dv2i - плановый объем производства на очередной финансовый год овощей защищенного грунта, произведенных с применением технологии досвечивания, в i-м субъекте Российской Федерации на основании данных, представленных субъектом Российской Федерации в Министерство сельского хозяйства Российской Федерации по форме и в срок, которые устанавливаются Министерством;
n2 - количество субъектов Российской Федерации, являющихся участниками федерального проекта "Развитие отраслей овощеводства и картофелеводства" на очередной финансовый год по направлению, указанному в абзаце третьем подпункта "б" пункта 4 настоящих Правил.
(п. 14 в ред. Постановления Правительства РФ от 24.11.2023 N 1984)
(см. текст в предыдущей редакции)
15. Размер субсидии, предоставляемой бюджету i-го субъекта Российской Федерации по направлению, указанному в абзаце четвертом подпункта "б" пункта 4 настоящих Правил, в части поддержки производства картофеля (a3i), определяется по формуле:
k3 - коэффициент, устанавливаемый Министерством сельского хозяйства Российской Федерации для определения размера субсидии, предоставляемой в целях софинансирования расходных обязательств субъекта Российской Федерации по финансовому обеспечению (возмещению) части затрат на поддержку производства картофеля;
Dv3i - объем производства картофеля в сельскохозяйственных организациях, крестьянских (фермерских) хозяйствах и у индивидуальных предпринимателей в i-м субъекте Российской Федерации за отчетный финансовый год на основании данных Федеральной службы государственной статистики;
Dvпр3i - прирост объема производства картофеля в сельскохозяйственных организациях, крестьянских (фермерских) хозяйствах и у индивидуальных предпринимателей за отчетный финансовый год к среднему объему производства картофеля в сельскохозяйственных организациях, крестьянских (фермерских) хозяйствах и у индивидуальных предпринимателей за 3 года, предшествующие отчетному финансовому году, в i-м субъекте Российской Федерации, определяемый по формуле:
где SPRv3i - средний за 3 года, предшествующие отчетному финансовому году, объем производства картофеля в сельскохозяйственных организациях, крестьянских (фермерских) хозяйствах и у индивидуальных предпринимателей в i-м субъекте Российской Федерации, определяемый на основании данных Федеральной службы государственной статистики.
В случае если Dvпр3i имеет отрицательное значение, применяется значение, равное нулю;
n3 - количество субъектов Российской Федерации, являющихся участниками федерального проекта "Развитие отраслей овощеводства и картофелеводства" на очередной финансовый год по направлению, указанному в абзаце четвертом подпункта "б" пункта 4 настоящих Правил, в части поддержки производства картофеля.
(п. 15 в ред. Постановления Правительства РФ от 24.11.2023 N 1984)
(см. текст в предыдущей редакции)
16. Размер субсидии, предоставляемой бюджету i-го субъекта Российской Федерации по направлению, указанному в абзаце втором подпункта "б" пункта 4 настоящих Правил (a4i), определяется по формуле:
k4 - коэффициент, устанавливаемый Министерством сельского хозяйства Российской Федерации для определения размера субсидии, предоставляемой в целях софинансирования расходных обязательств субъекта Российской Федерации по финансовому обеспечению (возмещению) части затрат на поддержку элитного семеноводства картофеля и овощных культур, включая гибриды овощных культур;
S4элитi - площадь, засеваемая элитными семенами картофеля и овощных культур, включая гибриды овощных культур, в i-м субъекте Российской Федерации за отчетный финансовый год на основании данных, представленных субъектом Российской Федерации в Министерство сельского хозяйства Российской Федерации по форме и в срок, которые устанавливаются Министерством;
n4 - количество субъектов Российской Федерации, являющихся участниками федерального проекта "Развитие отраслей овощеводства и картофелеводства" на очередной финансовый год по направлению, указанному в абзаце втором подпункта "б" пункта 4 настоящих Правил.
(п. 16 в ред. Постановления Правительства РФ от 24.11.2023 N 1984)
(см. текст в предыдущей редакции)
17. Размер субсидии, предоставляемой бюджету i-го субъекта Российской Федерации по направлению, указанному в подпункте "а" пункта 4 настоящих Правил (a5i), определяется по формуле:
k5 - коэффициент, устанавливаемый Министерством сельского хозяйства Российской Федерации для определения размера субсидии, предоставляемой в целях софинансирования расходных обязательств субъекта Российской Федерации по финансовому обеспечению (возмещению) части затрат на проведение агротехнологических работ, повышение уровня экологической безопасности сельскохозяйственного производства, а также на повышение плодородия и качества почв, занятых картофелем и овощными культурами открытого грунта;
Dsплi - размер посевной площади, занятой картофелем и овощными культурами открытого грунта в сельскохозяйственных организациях, крестьянских (фермерских) хозяйствах и у индивидуальных предпринимателей в i-м субъекте Российской Федерации в среднем за 3 года, предшествующие году, в котором осуществляется расчет размера субсидий на очередной финансовый год, определяемый на основании данных Федеральной службы государственной статистики;
n5 - количество субъектов Российской Федерации, являющихся участниками федерального проекта "Развитие отраслей овощеводства и картофелеводства" на очередной финансовый год по направлению, указанному в подпункте "а" пункта 4 настоящих Правил.
(п. 17 в ред. Постановления Правительства РФ от 24.11.2023 N 1984)
(см. текст в предыдущей редакции)
18. Размер субсидии, предоставляемой бюджету i-го субъекта Российской Федерации по направлению, указанному в подпункте "в" пункта 4 настоящих Правил, в части производства картофеля (a6i), определяется по формуле:
k6 - коэффициент, устанавливаемый Министерством сельского хозяйства Российской Федерации для определения размера субсидии, предоставляемой в целях софинансирования расходных обязательств субъекта Российской Федерации по финансовому обеспечению (возмещению) части затрат на поддержку производства картофеля, произведенного гражданами, ведущими личное подсобное хозяйство и применяющими специальный налоговый режим "Налог на профессиональный доход";
DV6фпрi - доля среднего объема производства картофеля в хозяйствах населения в i-м субъекте Российской Федерации за 3 года, предшествующие году, в котором осуществляется расчет размера субсидий на очередной финансовый год, в среднем объеме производства картофеля в хозяйствах всех категорий в i-м субъекте Российской Федерации за 3 года, предшествующие году, в котором осуществляется расчет размера субсидий на очередной финансовый год, определяемая по формуле:
Vфкартвалi - средний объем производства картофеля в хозяйствах населения в i-м субъекте Российской Федерации за 3 года, предшествующие году, в котором осуществляется расчет размера субсидий на очередной финансовый год, определяемый на основании данных Федеральной службы государственной статистики;
Hфкартвалi - средний объем производства картофеля в хозяйствах всех категорий в i-м субъекте Российской Федерации за 3 года, предшествующие году, в котором осуществляется расчет размера субсидий на очередной финансовый год, определяемый на основании данных Федеральной службы государственной статистики;
DV6плпрi - плановый объем реализации на очередной финансовый год картофеля, произведенного гражданами, ведущими личное подсобное хозяйство и применяющими специальный налоговый режим "Налог на профессиональный доход", в i-м субъекте Российской Федерации на основании данных, представленных субъектом Российской Федерации в Министерство сельского хозяйства Российской Федерации по форме и в срок, которые устанавливаются Министерством;
n6 - количество субъектов Российской Федерации, являющихся участниками федерального проекта "Развитие отраслей овощеводства и картофелеводства" на очередной финансовый год по направлению, указанному в подпункте "в" пункта 4 настоящих Правил, в части производства картофеля.
(п. 18 в ред. Постановления Правительства РФ от 24.11.2023 N 1984)
(см. текст в предыдущей редакции)
19. Размер субсидии, предоставляемой бюджету i-го субъекта Российской Федерации по направлению, указанному в подпункте "в" пункта 4 настоящих Правил, в части производства овощей открытого грунта (a7i), определяется по формуле:
k7 - коэффициент, устанавливаемый Министерством сельского хозяйства Российской Федерации для определения размера субсидии, предоставляемой в целях софинансирования расходных обязательств субъекта Российской Федерации по финансовому обеспечению (возмещению) части затрат на поддержку производства овощей открытого грунта, произведенных гражданами, ведущими личное подсобное хозяйство и применяющими специальный налоговый режим "Налог на профессиональный доход";
DV7фпрi - доля среднего объема производства овощей открытого грунта в хозяйствах населения в i-м субъекте Российской Федерации за 3 года, предшествующие году, в котором осуществляется расчет размера субсидий на очередной финансовый год, в среднем объеме производства овощей открытого грунта в хозяйствах всех категорий за 3 года, предшествующие году, в котором осуществляется расчет размера субсидий на очередной финансовый год, определяемая по формуле:
Vфоввалi - средний объем производства овощей открытого грунта в хозяйствах населения в i-м субъекте Российской Федерации за 3 года, предшествующие году, в котором осуществляется расчет размера субсидий на очередной финансовый год, определяемый на основании данных Федеральной службы государственной статистики;
Hфоввалi - средний объем производства овощей открытого грунта в хозяйствах всех категорий в i-м субъекте Российской Федерации за 3 года, предшествующие году, в котором осуществляется расчет размера субсидий на очередной финансовый год, определяемый на основании данных Федеральной службы государственной статистики;
DV7плпрi - плановый объем реализации на очередной финансовый год овощей открытого грунта, произведенных гражданами, ведущими личное подсобное хозяйство и применяющими специальный налоговый режим "Налог на профессиональный доход", в i-м субъекте Российской Федерации на основании данных, представленных субъектом Российской Федерации в Министерство сельского хозяйства Российской Федерации по форме и в срок, которые устанавливаются Министерством;
n7 - количество субъектов Российской Федерации, являющихся участниками федерального проекта "Развитие отраслей овощеводства и картофелеводства" на очередной финансовый год по направлению, указанному в подпункте "в" пункта 4 настоящих Правил, в части производства овощей открытого грунта.
(п. 19 в ред. Постановления Правительства РФ от 24.11.2023 N 1984)
(см. текст в предыдущей редакции)
20. Объем бюджетных ассигнований, предусмотренных на предоставление субсидии в соответствующем финансовом году на создание и (или) модернизацию хранилищ в i-м субъекте Российской Федерации (Wki), определяется по формуле:
где Bi - размер субсидии, необходимой для возмещения части прямых понесенных затрат по инвестиционным проектам, отобранным комиссией и предусматривающим создание и (или) модернизацию хранилищ, введенных в эксплуатацию или планируемых к вводу в эксплуатацию не позднее 1 июля года предоставления субсидии в i-м субъекте Российской Федерации, определяемый по формуле:
(в ред. Постановления Правительства РФ от 13.06.2023 N 976)
(см. текст в предыдущей редакции)
Cj - фактическая и (или) плановая стоимость j-го хранилища;
k - процент возмещения части прямых понесенных затрат в соответствии с абзацем четвертым подпункта "г" пункта 7 настоящих Правил.
20(1). Если по состоянию на 1 мая текущего финансового года субъектом Российской Федерации перечислено получателям средств менее 50 процентов размера субсидии, предусмотренного этому субъекту Российской Федерации в федеральном бюджете на текущий финансовый год (для субъектов Российской Федерации, входящих в состав Дальневосточного федерального округа, - менее 20 процентов), размер субсидии, предусмотренный этому субъекту Российской Федерации в федеральном бюджете на текущий финансовый год, подлежит уменьшению на 10 процентов.
Если по состоянию на 15 июня 2023 г. субъектом Российской Федерации перечислено получателям средств менее 50 процентов размера субсидии, предусмотренного этому субъекту Российской Федерации в федеральном бюджете на 2023 год (для субъектов Российской Федерации, входящих в состав Дальневосточного федерального округа, - менее 20 процентов), размер субсидии, предусмотренный этому субъекту Российской Федерации в федеральном бюджете на 2023 год, подлежит уменьшению на 15 процентов.
Субъект Российской Федерации, допустивший нарушение обязательства по перечислению средств, указанного в пункте 11(1) настоящих Правил, в течение 30 календарных дней обязан обеспечить заключение дополнительного соглашения к соглашению о предоставлении субсидии об уменьшении размера субсидии, подлежащей предоставлению из федерального бюджета бюджету субъекта Российской Федерации в текущем финансовом году, в размере, установленном настоящим пунктом.
Высвобождающиеся бюджетные ассигнования перераспределяются на реализацию мероприятий, предусмотренных Правилами предоставления и распределения иных межбюджетных трансфертов из федерального бюджета бюджетам субъектов Российской Федерации в целях софинансирования расходных обязательств субъектов Российской Федерации по возмещению части прямых понесенных затрат на создание и (или) модернизацию объектов агропромышленного комплекса, а также на приобретение и ввод в промышленную эксплуатацию маркировочного оборудования для внедрения обязательной маркировки отдельных видов молочной продукции, утвержденными постановлением Правительства Российской Федерации от 24 ноября 2018 г. N 1413 "Об утверждении Правил предоставления и распределения иных межбюджетных трансфертов из федерального бюджета бюджетам субъектов Российской Федерации в целях софинансирования расходных обязательств субъектов Российской Федерации по возмещению части прямых понесенных затрат на создание и (или) модернизацию объектов агропромышленного комплекса, а также на приобретение и ввод в промышленную эксплуатацию маркировочного оборудования для внедрения обязательной маркировки отдельных видов молочной продукции", а также иных мероприятий по поручению Правительства Российской Федерации.
Положения абзаца первого настоящего пункта не применяются в отношении средств, предоставляемых на реализацию мероприятий, указанных в подпунктах "в" и "г" пункта 4 настоящих Правил.
(п. 20(1) введен Постановлением Правительства РФ от 13.06.2023 N 976)
21. В случае выделения в текущем финансовом году из федерального бюджета дополнительных бюджетных ассигнований на предоставление субсидий в соответствии с настоящими Правилами их распределение осуществляется между субъектами Российской Федерации, имеющими дополнительную потребность в субсидиях, пропорционально удельному весу дополнительной потребности субъекта Российской Федерации в субсидии в общем объеме дополнительной потребности субъектов Российской Федерации в субсидиях сверх размеров субсидии, рассчитанных в соответствии с пунктами 12 - 20 настоящих Правил, с установлением результатов их использования.
Информация о дополнительной потребности в субсидиях формируется на основании письменных обращений уполномоченных органов в Министерство сельского хозяйства Российской Федерации.
Размер предоставляемой в соответствии с абзацем первым настоящего пункта бюджету субъекта Российской Федерации субсидии не может быть больше заявленной субъектом Российской Федерации дополнительной потребности в такой субсидии.
21(1). В соглашении о предоставлении субсидии объем финансового обеспечения расходных обязательств субъекта Российской Федерации, в целях софинансирования которых предоставляется субсидия по направлениям, указанным в подпунктах "а" - "в" пункта 4 настоящих Правил, не может быть меньше расчетного размера предоставляемой бюджету соответствующего субъекта Российской Федерации субсидии, рассчитанного по соответствующему направлению в соответствии с пунктами 13 - 19 настоящих Правил.
Субъект Российской Федерации вправе не более 2 раз в год по согласованию с Министерством сельского хозяйства Российской Федерации без увеличения общего размера субсидии, предоставляемой бюджету субъекта Российской Федерации на соответствующий финансовый год, перераспределить средства, источником софинансирования которых является субсидия, между направлениями, указанными в подпунктах "а" - "в" пункта 4 настоящих Правил и определенными в соглашении о предоставлении субсидии, без уменьшения значений результатов использования субсидии, установленных в пункте 24 настоящих Правил.
(п. 21(1) введен Постановлением Правительства РФ от 24.11.2023 N 1984)
22. Перечисление субсидий осуществляется в установленном порядке на единые счета бюджетов, открытые финансовым органам субъектов Российской Федерации в территориальных органах Федерального казначейства.
23. Уполномоченный орган представляет в Министерство сельского хозяйства Российской Федерации следующие документы:
а) выписка из закона субъекта Российской Федерации о бюджете субъекта Российской Федерации (сводной бюджетной росписи бюджета субъекта Российской Федерации) и (или) муниципального правового акта представительного органа муниципального образования о местном бюджете (сводной бюджетной росписи местного бюджета), подтверждающая наличие утвержденных в бюджете субъекта Российской Федерации (местном бюджете) бюджетных ассигнований на финансовое обеспечение указанных в пункте 4 настоящих Правил расходных обязательств субъекта Российской Федерации (расходных обязательств муниципальных образований, в целях софинансирования которых бюджету субъекта Российской Федерации предоставляется субсидия), - не позднее 30 дней со дня заключения соглашения о предоставлении субсидии;
(пп. "а" в ред. Постановления Правительства РФ от 13.06.2023 N 976)
(см. текст в предыдущей редакции)
б) документ, содержащий информацию об использовании средств бюджетов субъектов Российской Федерации, в целях софинансирования расходных обязательств которых предоставляются субсидии, с приложением перечня получателей средств по форме и в срок, которые устанавливаются Министерством сельского хозяйства Российской Федерации;
в) отчет о финансово-экономическом состоянии товаропроизводителей агропромышленного комплекса по форме и в срок, которые устанавливаются Министерством сельского хозяйства Российской Федерации;
г) отчет о достижении значений результатов использования субсидии и обязательствах, принятых в целях их достижения, подготавливаемый (формируемый) с использованием государственной интегрированной информационной системы управления общественными финансами "Электронный бюджет", - в порядке и сроки, которые установлены соглашением о предоставлении субсидии;
д) значения плановых показателей деятельности, необходимых для расчета размера субсидии в соответствии с пунктами 12 - 19 настоящих Правил, по форме и в срок, которые устанавливаются Министерством сельского хозяйства Российской Федерации;
е) заявочную документацию по форме и в срок, которые устанавливаются Министерством сельского хозяйства Российской Федерации;
ж) информацию о соответствии инвестиционного проекта условиям, указанным в подпункте "г" пункта 7 настоящих Правил, по форме и в срок, которые устанавливаются Министерством сельского хозяйства Российской Федерации.
24. Для оценки эффективности использования субсидии и в соответствии с показателями, установленными субъекту Российской Федерации федеральным проектом "Развитие отраслей овощеводства и картофелеводства", применяются следующие результаты использования субсидии:
а) произведено овощей открытого грунта в сельскохозяйственных организациях, крестьянских (фермерских) хозяйствах и у индивидуальных предпринимателей (тыс. тонн);
б) произведено продукции овощеводства защищенного грунта собственного производства, выращенной с применением технологии досвечивания (тыс. тонн);
в) произведено картофеля в сельскохозяйственных организациях, крестьянских (фермерских) хозяйствах и у индивидуальных предпринимателей (тыс. тонн);
г) реализовано картофеля, произведенного гражданами, ведущими личное подсобное хозяйство и применяющими специальный налоговый режим "Налог на профессиональный доход", получившими государственную поддержку (тыс. тонн);
д) реализовано овощей открытого грунта, произведенных гражданами, ведущими личное подсобное хозяйство и применяющими специальный налоговый режим "Налог на профессиональный доход", получившими государственную поддержку (тыс. тонн);
е) достигнут объем высева элитного и (или) оригинального семенного картофеля и овощных культур (тыс. тонн);
ж) посевная площадь под овощами открытого грунта в сельскохозяйственных организациях, крестьянских (фермерских) хозяйствах, включая индивидуальных предпринимателей, составила (тыс. гектаров);
з) посевная площадь под картофелем в сельскохозяйственных организациях, крестьянских (фермерских) хозяйствах, включая индивидуальных предпринимателей, составила (тыс. гектаров);
и) обеспечено увеличение мощностей по хранению картофеля и овощей (тыс. тонн).
(пп. "и" в ред. Постановления Правительства РФ от 24.11.2023 N 1984)
(см. текст в предыдущей редакции)
(п. 24 в ред. Постановления Правительства РФ от 13.06.2023 N 976)
(см. текст в предыдущей редакции)
25. В случае отсутствия в текущем финансовом году у субъекта Российской Федерации потребности в субсидии невостребованные бюджетные ассигнования на предоставление субсидии на основании письменного обращения уполномоченного органа перераспределяются между другими субъектами Российской Федерации с учетом пунктов 12 - 20 настоящих Правил.
26. Эффективность использования субсидии оценивается ежегодно Министерством сельского хозяйства Российской Федерации на основании интегральной оценки достижения значений результатов использования субсидии, предусмотренных соглашением о предоставлении субсидии, в соответствии с методикой, утверждаемой Министерством сельского хозяйства Российской Федерации.
26(1). Оценка эффективности использования субсидий по результатам, предусмотренным подпунктами "г" и "д" пункта 24 настоящих Правил, осуществляется на основании представленных уполномоченным органом в Министерство сельского хозяйства Российской Федерации отчетов об эффективности использования средств, предоставленных гражданам, ведущим личное подсобное хозяйство и применяющим специальный налоговый режим "Налог на профессиональный доход", форма и срок представления которых устанавливаются Министерством сельского хозяйства Российской Федерации.
27. Оценка соответствия инвестиционного проекта, предусматривающего создание и (или) модернизацию хранилищ, планируемых к введению в эксплуатацию не позднее 1 июля года предоставления субсидии, условиям, указанным в подпункте "г" пункта 7 настоящих Правил, и подтверждение факта ввода в эксплуатацию хранилища осуществляются комиссией на основании документов, представляемых уполномоченным органом в соответствии с подпунктами "е" и "ж" пункта 23 настоящих Правил.
(в ред. Постановления Правительства РФ от 13.06.2023 N 976)
(см. текст в предыдущей редакции)
Порядок проведения комиссией оценки соответствия инвестиционного проекта условиям, указанным в подпункте "г" пункта 7 настоящих Правил, утверждается Министерством сельского хозяйства Российской Федерации.
28. В случае если при формировании проекта федерального закона о федеральном бюджете на очередной финансовый год и плановый период субъектом Российской Федерации до 10 сентября текущего финансового года представлено в Министерство сельского хозяйства Российской Федерации обращение, содержащее информацию об отсутствии частичной или полной потребности в субсидии, бюджетные ассигнования на предоставление субсидии такому субъекту Российской Федерации распределяются между другими субъектами Российской Федерации, имеющими право на получение субсидии в соответствии с настоящими Правилами.
28(1). В случае нарушения субъектом Российской Федерации целей, установленных при предоставлении субсидии, применяются бюджетные меры принуждения, предусмотренные бюджетным законодательством Российской Федерации.
(п. 28(1) введен Постановлением Правительства РФ от 24.11.2023 N 1984)
29. Порядок и условия возврата средств из бюджета субъекта Российской Федерации в федеральный бюджет в случае нарушения субъектом Российской Федерации обязательств, предусмотренных соглашением о предоставлении субсидии, а также основания для освобождения субъекта Российской Федерации от применения мер финансовой ответственности установлены пунктами 16 - 18 и 20 Правил формирования субсидий.
(п. 29 в ред. Постановления Правительства РФ от 24.11.2023 N 1984)
(см. текст в предыдущей редакции)
30. Ответственность за достоверность представляемых Министерству сельского хозяйства Российской Федерации сведений возлагается на уполномоченный орган и высший исполнительный орган субъекта Российской Федерации.
31. Контроль за соблюдением субъектами Российской Федерации условий предоставления субсидий осуществляется Министерством сельского хозяйства Российской Федерации и уполномоченными органами государственного финансового контроля.
- Гражданский кодекс (ГК РФ)
- Жилищный кодекс (ЖК РФ)
- Налоговый кодекс (НК РФ)
- Трудовой кодекс (ТК РФ)
- Уголовный кодекс (УК РФ)
- Бюджетный кодекс (БК РФ)
- Арбитражный процессуальный кодекс
- Конституция РФ
- Земельный кодекс (ЗК РФ)
- Лесной кодекс (ЛК РФ)
- Семейный кодекс (СК РФ)
- Уголовно-исполнительный кодекс
- Уголовно-процессуальный кодекс
- Производственный календарь на 2025 год
- МРОТ 2025
- ФЗ «О банкротстве»
- О защите прав потребителей (ЗОЗПП)
- Об исполнительном производстве
- О персональных данных
- О налогах на имущество физических лиц
- О средствах массовой информации
- Производственный календарь на 2026 год
- Федеральный закон "О полиции" N 3-ФЗ
- Расходы организации ПБУ 10/99
- Минимальный размер оплаты труда (МРОТ)
- Календарь бухгалтера на 2025 год
- Частичная мобилизация: обзор новостей
- Постановление Правительства РФ N 1875









