постановлением Правительства
Российской Федерации
от 26 февраля 2022 г. N 242
Список изменяющих документов
(в ред. Постановления Правительства РФ от 03.10.2025 N 1539)
1. После наименования дополнить наименованием раздела следующего содержания:
2. Пункт 1 изложить в следующей редакции:
"1. Настоящее Положение устанавливает порядок лицензирования разработки, производства, испытания и ремонта авиационной техники, за исключением беспилотных авиационных систем и (или) их элементов, включающих беспилотные гражданские воздушные суда с максимальной взлетной массой 30 килограммов и менее (далее - авиационная техника), осуществляемых юридическими лицами на территории Российской Федерации, а также порядок организации и осуществления федерального государственного лицензионного контроля (надзора) за деятельностью по разработке, производству, испытанию и ремонту авиационной техники (далее - лицензионный контроль).
Деятельность по разработке, производству, испытанию и ремонту авиационной техники составляют работы и услуги по перечню согласно приложению (далее - перечень).".
3. После пункта 1 дополнить наименованием раздела следующего содержания:
"II. Лицензирование разработки, производства, испытания
и ремонта авиационной техники".
4. В пункте 4 слова "частью 11 статьи 19" заменить словами "частью 10 статьи 19.2".
5. Пункты 6 и 7 изложить в следующей редакции:
"6. При намерении лицензиата осуществлять лицензируемую деятельность по адресу места выполнения работ и оказания услуг и (или) выполнять новые работы и оказывать новые услуги, составляющие лицензируемую деятельность, не предусмотренные реестром лицензий, в заявлении о внесении изменений в реестр лицензий указываются этот адрес и (или) работы (услуги), которые лицензиат намерен выполнять, а также сведения, подтверждающие соответствие лицензиата лицензионным требованиям, предусмотренным пунктом 3 настоящего Положения (далее - лицензионные требования).
Виды работ, указанные в пунктах 18 - 20, 22 - 24, 26, 28 и 29 перечня, могут выполняться по месту нахождения авиационной техники. При выполнении указанных работ по месту нахождения авиационной техники место осуществления лицензируемого вида деятельности, предусмотренное реестром лицензий, не меняется и внесение изменений в реестр лицензий не требуется.
7. При проведении проверки сведений, содержащихся в представленных соискателем лицензии (лицензиатом) заявлении о предоставлении лицензии (внесении изменений в реестр лицензий) и прилагаемых к нему документах, оценки соответствия соискателя лицензии (лицензиата) лицензионным требованиям лицензирующий орган запрашивает необходимые для предоставления государственных услуг в области лицензирования сведения, находящиеся в распоряжении органов, предоставляющих государственные услуги, органов, предоставляющих муниципальные услуги, иных государственных органов, органов местного самоуправления либо подведомственных им организаций, в порядке, установленном Федеральным законом "Об организации предоставления государственных и муниципальных услуг".".
6. В пункте 8 слова "переоформлении лицензии (об отказе в переоформлении лицензии)" заменить словами "внесении изменений в реестр лицензий на основании заявления о внесении изменений в реестр лицензий (об отказе во внесении изменений в реестр лицензий)".
7. Пункты 10 - 12 изложить в следующей редакции:
"10. Представление соискателем лицензии (лицензиатом) заявления о предоставлении лицензии (внесении изменений в реестр лицензий) и необходимых для получения лицензии (внесения изменений в реестр лицензий) документов, их прием лицензирующим органом, принятие решений о предоставлении лицензии (об отказе в предоставлении лицензии), внесении изменений в реестр лицензий (об отказе во внесении изменений в реестр лицензий), приостановлении, возобновлении, прекращении действия лицензии и ее аннулировании, формирование и ведение лицензионного дела, ведение реестра лицензий и предоставление сведений, содержащихся в реестре лицензий, лицензионных делах соискателей лицензий и (или) лицензиатов, осуществляются в порядке, установленном Федеральным законом "О лицензировании отдельных видов деятельности".
Оценка соответствия соискателя лицензии (лицензиата) лицензионным требованиям осуществляется в соответствии со статьей 19.1 Федерального закона "О лицензировании отдельных видов деятельности".
Оценка соответствия соискателя лицензии и лицензиата лицензионным требованиям осуществляется в форме документарной оценки и (или) выездной оценки.
Выездная оценка соответствия соискателя лицензии (лицензиата) лицензионным требованиям проводится в случаях, если в результате документарной оценки невозможно удостовериться в полноте и достоверности сведений, содержащихся в заявлении о предоставлении лицензии (внесении изменений в реестр лицензий) и прилагаемых к нему документах.
Оценка соответствия лицензионным требованиям в форме выездной оценки может проводиться с использованием средств фотосъемки, аудио- и (или) видеозаписи в случае выполнения работ (оказания услуг), указанных в пунктах 2 и 5 перечня.
Результаты документарной и (или) выездной оценок соответствия соискателя лицензии (лицензиата) лицензионным требованиям оформляются актом оценки лицензирующего органа.
При осуществлении оценки соответствия лицензионным требованиям в форме выездной оценки с использованием средств фотосъемки, аудио- и (или) видеозаписи соответствующая отметка делается в акте оценки соответствия лицензионным требованиям. Результаты проведения фотосъемки, аудио- и (или) видеозаписи являются приложением к указанному акту.
Решение о предоставлении лицензии (об отказе в предоставлении лицензии) принимается уполномоченным должностным лицом лицензирующего органа в срок, не превышающий 15 рабочих дней со дня приема заявления о предоставлении лицензии и прилагаемых к нему документов.
В случае представления соискателем лицензии указанного заявления в отношении работ, указанных в пунктах 1, 3, 4, 10 - 14, 17, 21 - 23, 26 и 28 - 30 перечня, срок предоставления лицензии лицензирующим органом может быть продлен на срок, не превышающий 10 рабочих дней.
Внесение изменений в реестр лицензий осуществляется лицензирующим органом после проведения оценки соответствия лицензиата лицензионным требованиям при намерении лицензиата осуществлять лицензируемый вид деятельности в месте, не предусмотренном реестром лицензий, или при намерении выполнять новые работы, услуги в составе лицензируемого вида деятельности в срок, не превышающий 10 рабочих дней со дня приема заявления о внесении изменений в реестр лицензий и прилагаемых к нему документов (сведений).
При намерении лицензиата внести изменения в реестр лицензий (осуществлять деятельность в новом месте, не предусмотренном реестром лицензий, или выполнять новые работы, услуги в составе лицензируемого вида деятельности) в отношении работ, указанных в пунктах 1, 3, 4, 10 - 14, 17, 21 - 23, 26 и 28 - 30 перечня, срок внесения изменений в реестр лицензий лицензирующим органом может быть продлен на срок, не превышающий 10 рабочих дней.
11. Оценка соблюдения лицензиатом лицензионных требований осуществляется в форме лицензионного контроля в соответствии с настоящим Положением.
12. За предоставление лицензии и внесение изменений в реестр лицензий уплачивается государственная пошлина в порядке и размере, которые установлены законодательством Российской Федерации о налогах и сборах.".
8. После пункта 12 дополнить наименованием раздела следующего содержания:
9. Дополнить пунктами 13 - 74 следующего содержания:
"13. Лицензионный контроль осуществляется Министерством промышленности и торговли Российской Федерации (далее - контрольный орган).
14. Предметом лицензионного контроля является соблюдение лицензиатами лицензионных требований.
15. Объектом лицензионного контроля является осуществляемая лицензиатами деятельность по:
разработке авиационной техники;
проведению научно-исследовательских работ в области авиационной техники, в том числе с применением методов натурного и математического моделирования;
проведению опытно-конструкторских работ по созданию, модернизации, модификации авиационной техники;
проведению опытно-технологических работ по созданию авиационных материалов и технологических процессов;
разработке технических предложений по созданию авиационной техники;
разработке макетного образца авиационной техники;
разработке конструкторской документации авиационной техники;
разработке технологической документации авиационной техники;
разработке ремонтной документации авиационной техники;
изготовлению и проведению испытаний опытного образца авиационной техники;
проведению технического контроля (надзора) при производстве и ремонте авиационной техники;
разработке программно-математического обеспечения функционирования авиационной техники;
производству авиационной техники;
модернизации, модификации изделий при производстве авиационной техники;
сборке, настройке и установке изделий авиационной техники при производстве авиационной техники;
подготовке комплектов запасных частей (материалов, полуфабрикатов) авиационной техники, входному контролю, хранению, упаковке, расконсервации, консервации;
производству авиационных материалов для основных силовых элементов конструкции и особо ответственных деталей авиационной техники;
проведению рекламационных работ в отношении авиационной техники;
проведению работ по установлению и продлению ресурсов (сроков службы) авиационной техники;
доработке по бюллетеням разработчика (изготовителя) авиационной техники;
капитальному ремонту авиационной техники;
среднему ремонту и текущему ремонту авиационной техники;
разборке, сборке, настройке, установке и испытанию изделий авиационной техники при ремонте авиационной техники;
оценке технического состояния и дефектации изделий авиационной техники;
испытанию авиационной техники;
разработке программ и методик испытаний авиационной техники;
летным испытаниям авиационной техники, подготовке к летным испытаниям, а также подготовке и освидетельствованию летного и технического состава;
летным испытаниям авиационной техники с использованием летающих лабораторий;
наземным испытаниям, подготовке и проведению стендовых и лабораторных испытаний, в том числе аэродинамических, прочностных, акустических, на стойкость и устойчивость к внешним воздействующим факторам, испытаниям на надежность авиационной техники;
обработке и анализу результатов испытаний авиационной техники.
16. Должностными лицами, уполномоченными на принятие решений о проведении контрольных (надзорных) мероприятий (далее - контрольные мероприятия), являются руководитель контрольного органа, а также уполномоченные заместители руководителя контрольного органа.
17. Должностными лицами, уполномоченными на осуществление лицензионного контроля, являются:
а) руководитель контрольного органа, а также уполномоченные заместители руководителя контрольного органа;
б) руководитель структурного подразделения контрольного органа, его заместители, начальники отделов контрольного органа, их заместители, ведущие советники контрольного органа, советники контрольного органа, ведущие консультанты контрольного органа и консультанты контрольного органа, в должностные обязанности которых входит осуществление лицензионного контроля (далее - инспектора).
18. Должностные лица, осуществляющие лицензионный контроль, при проведении контрольного мероприятия в пределах своих полномочий и в объеме проводимых контрольных (надзорных) действий (далее - контрольные действия) пользуются правами, установленными частью 2 статьи 29 Федерального закона "О государственном контроле (надзоре) и муниципальном контроле в Российской Федерации".
19. Контрольным органом обеспечивается учет объектов контроля в соответствии с Федеральным законом "О государственном контроле (надзоре) и муниципальном контроле в Российской Федерации" путем ведения реестра объектов контроля с использованием информационной системы контрольного органа.
При сборе, обработке и анализе сведений об объектах контроля для целей их учета контрольный орган использует информацию, представляемую ему в соответствии с нормативными правовыми актами Российской Федерации, информацию, получаемую в рамках межведомственного взаимодействия, а также общедоступную информацию.
20. При осуществлении учета объектов контроля на контролируемых лиц не может возлагаться обязанность по представлению сведений и документов, если иное не предусмотрено федеральными законами, а также если соответствующие сведения и документы содержатся в государственных или муниципальных информационных ресурсах.
21. Программа профилактики рисков причинения вреда (ущерба) охраняемым законом ценностям ежегодно утверждается до 20 декабря года, предшествующего году проведения профилактических мероприятий, и размещается на официальном сайте контрольного органа в информационно-телекоммуникационной сети "Интернет" (далее - официальный сайт) в течение 5 дней со дня утверждения.
22. В рамках осуществления лицензионного контроля контрольный орган проводит следующие профилактические мероприятия:
в) объявление предостережения;
г) обобщение правоприменительной практики;
23. Контрольный орган осуществляет информирование лицензиата и иных заинтересованных лиц по вопросам соблюдения лицензионных требований к деятельности по разработке, производству, испытанию и ремонту авиационной техники.
24. Информирование лицензиатов осуществляется посредством размещения соответствующих сведений на официальном сайте и в средствах массовой информации.
25. Должностные лица контрольного органа, уполномоченные на осуществление лицензионного контроля, осуществляют консультирование лицензиатов и их представителей, в том числе письменное консультирование, по следующим вопросам:
а) предмет лицензионного контроля;
б) виды и порядок осуществления профилактических мероприятий;
в) виды и порядок проведения контрольных мероприятий;
г) порядок обжалования решений лицензирующего органа и действий (бездействия) его должностных лиц;
д) порядок подачи возражения на предостережение о недопустимости нарушения лицензионных требований (далее соответственно - возражение, предостережение).
26. Консультирование осуществляется:
а) при личном обращении - по телефону, посредством видео-конференц-связи либо на личном приеме;
б) при получении письменного запроса - посредством ответа в письменном виде;
в) в случаях если в рамках консультирования при личном обращении ответы на поставленные вопросы требуют получения дополнительных сведений и информации, - посредством ответа в письменном виде в срок, не превышающий 30 календарных дней со дня, следующего за днем осуществления консультирования при личном обращении;
г) в ходе проведения профилактического мероприятия, контрольного мероприятия.
27. Консультирование при личном обращении осуществляется в порядке очереди. Время консультирования при личном обращении одного лицензиата (его представителя) не может превышать 15 минут.
28. При поступлении 10 однотипных обращений по вопросам, указанным в пункте 25 настоящего Положения, консультирование по ним осуществляется посредством размещения на официальном сайте письменного разъяснения, подписанного уполномоченным должностным лицом контрольного органа.
Консультирование лицензиатов (их представителей) осуществляется с учетом требований о соблюдении норм законодательства Российской Федерации о защите государственной, коммерческой, служебной и иной охраняемой законом тайны и запретов, установленных для должностных лиц лицензирующих органов Федеральным законом "О государственном контроле (надзоре) и муниципальном контроле в Российской Федерации".
29. При наличии у контрольного органа сведений о готовящихся нарушениях лицензионных требований или признаках нарушений лицензионных требований и (или) в случае отсутствия подтвержденных данных о том, что нарушение лицензионных требований причинило вред (ущерб) охраняемым законом ценностям либо создало угрозу причинения вреда (ущерба) охраняемым законом ценностям контрольный орган в соответствии со статьей 49 Федерального закона "О государственном контроле (надзоре) и муниципальном контроле в Российской Федерации" объявляет лицензиату предостережение и предлагает принять меры по обеспечению соблюдения лицензионных требований.
30. Решение об объявлении предостережения принимает:
а) руководитель контрольного органа;
б) заместитель руководителя контрольного органа;
в) руководитель структурного подразделения контрольного органа;
г) заместитель руководителя структурного подразделения контрольного органа.
31. Лицензиат вправе в течение 10 рабочих дней со дня получения предостережения подать в контрольный орган возражение.
а) наименование контрольного органа или наименование структурного подразделения контрольного органа, в который подается возражение;
б) информация о юридическом лице (наименование, организационно-правовая форма, адрес с почтовым индексом, телефон, факс, адрес электронной почты) либо данные представителя юридического лица (если возражение подается представителем);
в) основной государственный регистрационный номер;
г) идентификационный номер налогоплательщика;
д) дата и номер предостережения;
е) обоснование несогласия с доводами, изложенными в предостережении.
33. Лицензиат вправе приложить к возражению документы, подтверждающие незаконность и необоснованность предостережения.
34. Полномочия представителя лицензиата, направившего возражение, должны быть подтверждены в порядке, установленном гражданским законодательством Российской Федерации.
35. Возражение направляется уполномоченным лицом лицензиата в виде электронного документа на указанный в предостережении адрес электронной почты в соответствии со статьей 21 Федерального закона "О государственном контроле (надзоре) и муниципальном контроле в Российской Федерации".
36. Контрольный орган рассматривает возражение и по итогам рассмотрения направляет ответ лицензиату в течение 20 рабочих дней со дня получения возражения.
37. Доклад о правоприменительной практике по осуществлению лицензионного контроля готовится контрольным органом один раз в год, утверждается приказом руководителя контрольного органа до 10 марта и размещается на официальном сайте до 15 марта года, следующего за отчетным годом.
38. Профилактический визит проводится инспектором в форме профилактической беседы по месту осуществления деятельности лицензиата либо путем использования видео-конференц-связи. В ходе профилактического визита контролируемое лицо информируется о лицензионных требованиях, предъявляемых к его деятельности, а также о видах, содержании и об интенсивности контрольных мероприятий, проводимых в отношении лицензиата.
Обязательный профилактический визит проводится в отношении лицензиата, приступающего к осуществлению лицензируемого вида деятельности, в соответствии с положениями статьи 52 Федерального закона "О государственном контроле (надзоре) и муниципальном контроле в Российской Федерации".
39 - 40. Утратили силу. - Постановление Правительства РФ от 03.10.2025 N 1539.
(см. текст в предыдущей редакции)
41. В ходе обязательного профилактического визита инспектор доводит до лицензиата информацию о лицензионных требованиях, соблюдение которых является обязательным при осуществлении им лицензируемой деятельности.
42. В ходе обязательного профилактического визита инспектором может осуществляться консультирование лицензиата, осуществляемое в порядке, предусмотренном Федеральным законом "О государственном контроле (надзоре) и муниципальном контроле в Российской Федерации" и настоящим Положением.
43. Контрольный орган уведомляет лицензиата о проведении обязательного профилактического визита не позднее чем за 5 рабочих дней до даты его проведения путем направления уведомления о проведении обязательного профилактического визита на адрес электронной почты лицензиата в виде электронного документа, подписанного усиленной квалифицированной электронной подписью, или заказным почтовым отправлением с уведомлением о вручении.
44. В уведомлении о проведении обязательного профилактического визита указываются следующие сведения:
а) полное и сокращенное наименования лицензирующего органа, в том числе адрес места нахождения и официальный адрес электронной почты;
б) полное и (если имеется) сокращенное наименования лицензиата, в отношении которого будет проводиться обязательный профилактический визит;
в) основание проведения обязательного профилактического визита;
г) дата и способ проведения обязательного профилактического визита;
д) способ направления лицензиатом уведомления об отказе от проведения обязательного профилактического визита.
45. Утратил силу. - Постановление Правительства РФ от 03.10.2025 N 1539.
(см. текст в предыдущей редакции)
46. Проведение обязательного профилактического визита осуществляется инспектором с учетом требований о соблюдении норм законодательства Российской Федерации о защите государственной, коммерческой, служебной и иной охраняемой законом тайны и запретов, установленных для должностных лиц лицензирующих органов Федеральным законом "О государственном контроле (надзоре) и муниципальном контроле в Российской Федерации".
47. Утратил силу. - Постановление Правительства РФ от 03.10.2025 N 1539.
(см. текст в предыдущей редакции)
48. Лицензионный контроль осуществляется посредством проведения следующих внеплановых контрольных мероприятий:
49. В случае проведения выездной проверки для фиксации инспектором доказательств нарушений лицензионных требований могут быть использованы любые технические средства, имеющие функции фотосъемки, аудио- и (или) видеозаписи.
Лицензиат в обязательном порядке уведомляется о проведении фотосъемки, аудио- и видеозаписи для фиксации доказательств нарушений лицензионных требований.
50. Фиксация нарушений лицензионных требований при помощи фотосъемки проводится не менее чем 2 снимками каждого из выявленных нарушений лицензионных требований. Аудио- и видеозапись осуществляются в ходе проведения контрольного мероприятия непрерывно (с уведомлением в начале записи и конце записи о дате, месте, времени начала и окончания осуществления записи). В ходе записи подробно фиксируются и указываются место и характер выявленного нарушения лицензионных требований. Результаты проведения фотосъемки, аудио- и видеозаписи являются приложением к акту контрольного (надзорного) мероприятия. Использование фотосъемки и видеозаписи для фиксации доказательств нарушений лицензионных требований осуществляется с учетом требований законодательства Российской Федерации.
51. Если в ходе контрольных (надзорных) действий для фиксации доказательств нарушений лицензионных требований осуществлялись фотосъемка, аудио- и (или) видеозапись, об этом делается отметка в протоколах соответствующих контрольных действий (в случае их составления), а также в акте контрольного мероприятия.
Материалы, являющиеся доказательствами нарушений лицензионных требований, полученные с применением фотосъемки, аудио- и (или) видеозаписи, приобщаются к акту контрольного мероприятия.
52. При проведении документарных проверок могут совершаться следующие контрольные (надзорные) действия:
а) получение письменных объяснений;
53. При проведении выездных проверок могут совершаться следующие контрольные (надзорные) действия:
в) получение письменных объяснений;
54. При осуществлении лицензионного контроля плановые контрольные мероприятия не проводятся.
55. В решении о проведении контрольного мероприятия указываются сведения, установленные частью 1 статьи 64 Федерального закона "О государственном контроле (надзоре) и муниципальном контроле в Российской Федерации".
56. Срок проведения выездной проверки не может превышать 10 рабочих дней. В отношении одного субъекта малого предпринимательства общий срок взаимодействия в ходе проведения выездной проверки не может превышать 50 часов для малого предприятия и 15 часов для микропредприятия. Срок проведения выездной проверки в отношении организации, осуществляющей свою деятельность на территориях нескольких субъектов Российской Федерации, устанавливается отдельно по каждому филиалу, представительству, обособленному структурному подразделению организации или производственному объекту.
57. По окончании проведения контрольного мероприятия составляется акт контрольного мероприятия в порядке, установленном статьей 87 Федерального закона "О государственном контроле (надзоре) и муниципальном контроле в Российской Федерации".
58. Внеплановая выездная проверка может проводиться только по согласованию с органами прокуратуры, за исключением случаев ее проведения в соответствии с пунктами 3 - 6 части 1, частью 3 статьи 57 и частью 12 статьи 66 Федерального закона "О государственном контроле (надзоре) и муниципальном контроле в Российской Федерации".
59. Внеплановая документарная проверка проводится без согласования с органами прокуратуры.
60. Если основанием для проведения выездной проверки являются сведения о непосредственной угрозе причинения вреда (ущерба) охраняемым законом ценностям, контрольный орган для принятия неотложных мер по ее предотвращению и устранению приступает к проведению выездной проверки незамедлительно (в течение 24 часов после получения соответствующих сведений) с извещением об этом органа прокуратуры по месту нахождения объекта лицензионного контроля в порядке, определенном Федеральным законом "О государственном контроле (надзоре) и муниципальном контроле в Российской Федерации".
61. В случае несогласия с фактами и выводами, изложенными в акте контрольного мероприятия, лицензиат вправе направить жалобу в порядке, предусмотренном статьями 39 - 43 Федерального закона "О государственном контроле (надзоре) и муниципальном контроле в Российской Федерации".
62. Лицензиат, права и законные интересы которого, по его мнению, были непосредственно нарушены в рамках осуществления лицензионного контроля, имеет право на досудебное обжалование решений о проведении контрольных мероприятий, актов контрольных мероприятий и предписаний об устранении выявленных нарушений действий (бездействия) должностных лиц контрольного органа в рамках контрольных мероприятий в порядке, установленном главой 9 Федерального закона "О государственном контроле (надзоре) и муниципальном контроле в Российской Федерации".
63. Жалоба подается лицензиатом в контрольный орган и рассматривается должностными лицами контрольного органа, уполномоченными на рассмотрение жалоб.
Жалоба, содержащая сведения и документы, составляющие государственную или иную охраняемую законом тайну, подается лицензиатом в контрольный орган без использования федеральной государственной информационной системы "Единый портал государственных и муниципальных услуг (функций)" и (или) региональных порталов государственных и муниципальных услуг с учетом требований законодательства Российской Федерации о государственной и иной охраняемой законом тайне.
64. Жалобы рассматриваются в порядке, установленном статьей 43 Федерального закона "О государственном контроле (надзоре) и муниципальном контроле в Российской Федерации".
65. В случае обжалования решений контрольного органа и действий (бездействия) должностных лиц контрольного органа жалоба рассматривается руководителем контрольного органа.
66. Жалоба подлежит рассмотрению в срок, не превышающий 20 рабочих дней со дня ее регистрации.
67. При осуществлении оценки результативности и эффективности осуществления лицензионного контроля используются ключевые показатели результативности и эффективности осуществления лицензионного контроля.
68. Ключевыми показателями результативности и эффективности осуществления лицензионного контроля являются:
а) количество авиационных происшествий с экспериментальными воздушными судами;
б) количество авиационных инцидентов с экспериментальными воздушными судами.
69. Значение ключевого показателя "количество авиационных происшествий с экспериментальными воздушными судами" (ПА) определяется по формуле:
П1 - количество авиационных происшествий с экспериментальными воздушными судами за отчетный год;
Псга - среднегодовое количество авиационных происшествий с экспериментальными воздушными судами.
Целевым значением ключевого показателя "количество авиационных происшествий с экспериментальными воздушными судами" является положительное значение указанного показателя.
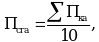
70. Среднегодовое количество авиационных происшествий с экспериментальными воздушными судами (Псга) определяется по формуле:
где
- общее количество авиационных происшествий с экспериментальными воздушными суднами за 10-летний период, предшествующий отчетному году.
71. Сбор данных о количестве авиационных происшествий осуществляется контрольным органом.
72. Ключевой показатель "количество авиационных инцидентов с экспериментальными воздушными судами" (Псм) определяется по формуле:
П2 - количество авиационных инцидентов с экспериментальными воздушными судами за отчетный год;
Псгс - среднегодовое количество авиационных инцидентов с экспериментальными воздушными судами.
Целевым значением ключевого показателя "количество авиационных инцидентов с экспериментальными воздушными судами" является положительное значение указанного показателя.
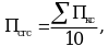
73. Среднегодовое количество авиационных инцидентов с экспериментальными воздушными судами (Псгс) определяется по формуле:
где
- общее количество авиационных инцидентов с экспериментальными воздушными судами за 10-летний период, предшествующий отчетному году.
74. Сбор данных о количестве авиационных инцидентов с экспериментальными воздушными судами осуществляется контрольным органом на основании материалов о состоянии безопасности полетов в экспериментальной авиации.".
- Гражданский кодекс (ГК РФ)
- Жилищный кодекс (ЖК РФ)
- Налоговый кодекс (НК РФ)
- Трудовой кодекс (ТК РФ)
- Уголовный кодекс (УК РФ)
- Бюджетный кодекс (БК РФ)
- Арбитражный процессуальный кодекс
- Конституция РФ
- Земельный кодекс (ЗК РФ)
- Лесной кодекс (ЛК РФ)
- Семейный кодекс (СК РФ)
- Уголовно-исполнительный кодекс
- Уголовно-процессуальный кодекс
- Производственный календарь на 2025 год
- МРОТ 2025
- ФЗ «О банкротстве»
- О защите прав потребителей (ЗОЗПП)
- Об исполнительном производстве
- О персональных данных
- О налогах на имущество физических лиц
- О средствах массовой информации
- Производственный календарь на 2026 год
- Федеральный закон "О полиции" N 3-ФЗ
- Расходы организации ПБУ 10/99
- Минимальный размер оплаты труда (МРОТ)
- Календарь бухгалтера на 2025 год
- Частичная мобилизация: обзор новостей
- Постановление Правительства РФ N 1875



