5.4. Формирование выборочной совокупности (перечня респондентов) для обследования
Для формирования выборочной совокупности (выборки) на федеральном уровне осуществляются предварительные преобразования в части данных базовой совокупности:
код по ОКВЭД2 укрупняется до 3-х знаков (на уровень подкласса);
код по ОКАТО укрупняется до 2-х знаков для субъектов Российской Федерации, до 5-ти знаков для автономных округов (Ненецкий АО, Ямало-Ненецкий АО, Ханты-Мансийский АО - Югра).
Если значение показателя "выручка (нетто) от продажи товаров, продукции, работ, услуг (за минусом налога на добавленную стоимость, акцизов и аналогичных обязательных платежей)" меньше "нуля", то значение заменяется на "нуль";
для значений равного нулю или пропущенного значения "выручка" заменяется на ненулевое значение "оборот".
Ограничения, присущие выборочному методу наблюдения, не позволяют формировать показатели, характеризующие деятельность субъектов малого предпринимательства, в группировках по видам экономической деятельности ниже подклассов (3 знака) по кодам ОКВЭД2.
Группировка предприятий по размеру показателя "выручка" осуществляется для слоев с большим числом предприятий, если страта содержит:
от 200 до 799 объектов - на 2 группы с применением формулы медианы;
от 800 объектов и выше - на 4 группы с применением формулы расчета квартилей.
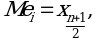
Медиана (Mei) предварительно ранжированного слоя рассчитывается по формулам:
1) если в ранжированном слое нечетное количество объектов
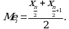
2) если в ранжированном слое четное количество объектов, то медиана данного слоя рассчитывается как среднее значение двух элементов ранжированного ряда с номерами
и ![]()
Расчет для 4-х квартилей применяется аналогичный подход по ранее рассчитанному медианному слою.
Базовая совокупность делится на три массива.
Первый массив - включает единицы (предприятия) с численностью более 100 человек и выручкой более 800 миллионов рублей, которые подлежат обследованию в сплошном режиме.
Второй массив - содержит единицы базовой совокупности с заполненными значениями поля "выручка", не включенные в первый массив.
Третий массив - включает остальные единицы (предприятия) с нулевыми или пропущенными значениями поля "выручка".
Все предприятия первого массива включаются в выборочную совокупность с весом "1".
Для предприятий второго массива используется метод расслоенный случайный отбор. Число отобранных единиц слоя 25% (но не менее 10 единиц из слоя).
Для предприятий третьего массива используется метод расслоенный пропорциональный случайный отбор. Число отобранных единиц слоя 10% (но не менее 10 единиц из слоя).
Из каждого слоя второго и третьего массивов методом простого случайного отбора извлекаются единицы (предприятия) в соответствии с вышеопределенными объемами выборки.
Для единиц второго и третьего массива, попавших в выборочную совокупность, рассчитываются вероятность включения в выборку и выборочный вес.
Вероятности включения в Выборку: если единица (k) относится к страте (h)
В результате проведенных преобразований объединенные три массива формируют единую выборочную совокупность (перечень респондентов) с весовым значением каждого объекта наблюдения для проведения выборочного обследования по форме N ПМ.
На федеральном уровне формируются файлы в соответствии с кодами общероссийского классификатора предприятий и организаций (ОКПО) по каждому субъекту Российской Федерации. Программными средствами осуществляется оценка полноты сбора отчетности от респондентов, включенных в выборочную совокупность.
- Гражданский кодекс (ГК РФ)
- Жилищный кодекс (ЖК РФ)
- Налоговый кодекс (НК РФ)
- Трудовой кодекс (ТК РФ)
- Уголовный кодекс (УК РФ)
- Бюджетный кодекс (БК РФ)
- Арбитражный процессуальный кодекс
- Конституция РФ
- Земельный кодекс (ЗК РФ)
- Лесной кодекс (ЛК РФ)
- Семейный кодекс (СК РФ)
- Уголовно-исполнительный кодекс
- Уголовно-процессуальный кодекс
- Производственный календарь на 2025 год
- МРОТ 2025
- ФЗ «О банкротстве»
- О защите прав потребителей (ЗОЗПП)
- Об исполнительном производстве
- О персональных данных
- О налогах на имущество физических лиц
- О средствах массовой информации
- Производственный календарь на 2026 год
- Федеральный закон "О полиции" N 3-ФЗ
- Расходы организации ПБУ 10/99
- Минимальный размер оплаты труда (МРОТ)
- Календарь бухгалтера на 2025 год
- Частичная мобилизация: обзор новостей
- Постановление Правительства РФ N 1875



