IV. Порядок расчета индексов к единичным расценкам и индексов изменения сметных цен услуг на перевозку грузов для строительства автомобильным транспортом
IV. ПОРЯДОК РАСЧЕТА ИНДЕКСОВ К ЕДИНИЧНЫМ РАСЦЕНКАМ
И ИНДЕКСОВ ИЗМЕНЕНИЯ СМЕТНЫХ ЦЕН УСЛУГ НА ПЕРЕВОЗКУ ГРУЗОВ
ДЛЯ СТРОИТЕЛЬСТВА АВТОМОБИЛЬНЫМ ТРАНСПОРТОМ
(в ред. Приказа Минстроя России от 20.02.2021 N 79/пр)
(см. текст в предыдущей редакции)
37. Расчет индексов к единичным расценкам выполняется по элементам прямых затрат в порядке, установленном главой III Методики, с учетом количественных показателей строительных ресурсов сметных норм, на основе которых разработаны такие расценки, и стоимости строительных ресурсов в базисном и текущем уровнях цен.
При расчете индексов к единичным расценкам номенклатура и расход материалов, изделий и конструкций, а также номенклатура и нормы времени эксплуатации строительных машин и механизмов не укрупняются, расчет осуществляется по всем показателям строительных ресурсов, приведенным в сметной норме, на основе которой была разработана единичная расценка.
38. Индексы изменения сметных цен услуг на перевозку грузов для строительства автомобильным транспортом (далее - индексы для автотранспорта) рассчитываются по следующим типам автотранспортных средств, учтенным в таблицах, приведенных в разделе 3 сборника федеральных сметных цен на перевозки грузов для строительства (далее - ФССЦпг), сведения о котором включены в ФРСН, "Сметные цены услуг на перевозку грузов автомобильным транспортом":
38.1. В случае дополнения раздела 3 "Сметные цены услуг на перевозку грузов автомобильным транспортом" ФССЦпг, сведения о котором включены в ФРСН, новыми типами автотранспортных средств индексы для автотранспорта рассчитываются отдельно для каждого нового типа автотранспортного средства.
38.2. Расчет индексов для автотранспорта по типам автотранспортных средств (Иатс) (вне зависимости от класса грузов, определяемых в соответствии с таблицей 3 Приложения 4 к Методике) выполняется по формуле (9.1):
Иат - индекс изменения сметных цен услуг на перевозку грузов для строительства автотранспортным средством определенного типа (типов).
Для нескольких типов автотранспортных средств может быть рассчитан один индекс изменения сметных цен услуг на перевозку грузов для строительства автотранспортными средствами, если отклонение между индексами по таким типам автотранспортных средств не превышает 10%.
38.3. Индекс изменения сметных цен услуг на перевозку грузов для строительства автотранспортным средством для каждого из типов автотранспортных средств (Иат) рассчитывается по формуле (9.2):
СЦат.тек - текущая сметная цена услуг на перевозку грузов для строительства для усредненного расстояния перевозки в зависимости от типа автотранспортного средства и набора расценок в ФССЦпг в руб./т;
СЦат.баз - базисная сметная цена услуг на перевозку грузов для строительства для среднего расстояния перевозки в зависимости от типа автотранспортного средства и набора расценок в ФССЦпг в руб./т.
38.4. Текущая сметная цена услуг на перевозку грузов для строительства автотранспортным средством для усредненного расстояния перевозки (СЦат.тек) определяется по формуле (9.3):
Сцэмаш.тек - сметная цена услуги на эксплуатацию автотранспортного средства, определяемая в соответствии с методическими документами, сведения о которых включены в ФРСН с учетом двухсменной работы автотранспортного средства, руб./маш.-ч;
ЗПМтек - оплата труда машиниста в текущем уровне цен определяется в соответствии с методическими документами, сведения о которых включены в ФРСН, с учетом двухсменной работы автотранспортного средства, руб./маш.-ч;
НР - нормативный показатель накладных расходов при автомобильных перевозках определяется в соответствии с методическими документами, сведения о которых включены в ФРСН, %;
СП - нормативный показатель сметной прибыли при автомобильных перевозках определяется в соответствии с методическими документами, сведения о которых включены в ФРСН, %;
Гр - грузоподъемность автотранспортного средства, тонн;
Кг - коэффициент использования автотранспортного средства при полной загрузке кузова;
Вр - время рейса автотранспортного средства при перевозке грузов для строительства, часов.
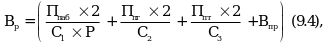
38.5. Время рейса автотранспортного средства при перевозке грузов для строительства (Вр) определяется с учетом скоростного режима на территории Москвы и Московской области в часах по формуле (9.4):
Ппаб - плечо перевозки от автобазы до места первой погрузки (пробег от места последней разгрузки до автобазы учтен коэффициентом 2), км;
Ппг - плечо перевозки по городским дорогам (в черте населенного пункта), км;
Ппт - плечо перевозки вне населенного пункта, км;
2 - коэффициент, учитывающий расстояние обратного (порожнего) пробега;
С1 - скорость перемещения (средняя скорость за время нахождения автотранспортного средства в движении, включая остановки в ожидании возможности продолжить движение, время на мойку колес и заправку, без учета времени нахождения под погрузкой и разгрузкой) автотранспортного средства при перемещении от автобазы до места первой погрузки и от места последней разгрузки до автобазы, км/ч;
С2 - скорость перемещения автотранспортного средства при перемещении по городским дорогам (в черте населенного пункта), км/ч;
С3 - скорость перемещения транспортного средства вне населенного пункта, км/ч;
Впр - суммарное время простоя автотранспортного средства в местах погрузки и выгрузки, ч;
Р - количество рейсов автотранспортного средства в смену.
В случае, когда расчетные значения показателей времени рейса, необходимого на перевозку грузов для строительства автотранспортными средствами, определенные по формуле 9.4, отличаются более чем на 5% от значений показателей, учтенных сметными нормативами, сведения о которых включены в ФРСН, в расчете текущих сметных цен услуг на перевозку грузов для строительства автотранспортным средством по формуле 9.3 используется время рейса, учтенное сметными нормативами, сведения о которых включены в ФРСН.
38.6. Сметная цена услуг на перевозку грузов для строительства в уровне цен по состоянию на 1 января 2000 г. принимается на основании сметных нормативов, сведения о которых включены в ФРСН. Сметная цена услуг на перевозку грузов для строительства в уровне цен по состоянию на иные даты рассчитывается в соответствии с методическими документами, сведения о которых включены в ФРСН, с учетом двухсменной работы автотранспортного средства.
- Гражданский кодекс (ГК РФ)
- Жилищный кодекс (ЖК РФ)
- Налоговый кодекс (НК РФ)
- Трудовой кодекс (ТК РФ)
- Уголовный кодекс (УК РФ)
- Бюджетный кодекс (БК РФ)
- Арбитражный процессуальный кодекс
- Конституция РФ
- Земельный кодекс (ЗК РФ)
- Лесной кодекс (ЛК РФ)
- Семейный кодекс (СК РФ)
- Уголовно-исполнительный кодекс
- Уголовно-процессуальный кодекс
- Производственный календарь на 2025 год
- МРОТ 2025
- ФЗ «О банкротстве»
- О защите прав потребителей (ЗОЗПП)
- Об исполнительном производстве
- О персональных данных
- О налогах на имущество физических лиц
- О средствах массовой информации
- Производственный календарь на 2026 год
- Федеральный закон "О полиции" N 3-ФЗ
- Расходы организации ПБУ 10/99
- Минимальный размер оплаты труда (МРОТ)
- Календарь бухгалтера на 2025 год
- Частичная мобилизация: обзор новостей
- Постановление Правительства РФ N 1875



