Срок действия документа ограничен 14 июля 2040 года.
к Правилам использования водных
ресурсов Белоярского водохранилища,
утвержденным приказом Росводресурсов
от 02.04.2025 N 76
Приложение N 2. Расчетная кривая обеспеченности объемов годового стока в створе гидроузла Белоярского водохранилища
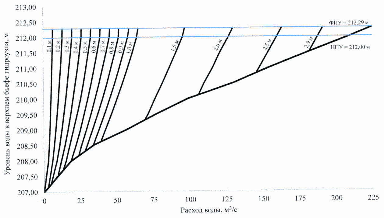
Координаты кривых пропускной способности одного и двух водосливных отверстий паводкового бетонного водосброса гидроузла Белоярского водохранилища в зависимости от величины открытия затворов и уровня воды в водохранилище, м3/с
- Гражданский кодекс (ГК РФ)
- Жилищный кодекс (ЖК РФ)
- Налоговый кодекс (НК РФ)
- Трудовой кодекс (ТК РФ)
- Уголовный кодекс (УК РФ)
- Бюджетный кодекс (БК РФ)
- Арбитражный процессуальный кодекс
- Конституция РФ
- Земельный кодекс (ЗК РФ)
- Лесной кодекс (ЛК РФ)
- Семейный кодекс (СК РФ)
- Уголовно-исполнительный кодекс
- Уголовно-процессуальный кодекс
- Производственный календарь на 2025 год
- МРОТ 2025
- ФЗ «О банкротстве»
- О защите прав потребителей (ЗОЗПП)
- Об исполнительном производстве
- О персональных данных
- О налогах на имущество физических лиц
- О средствах массовой информации
- Производственный календарь на 2026 год
- Федеральный закон "О полиции" N 3-ФЗ
- Расходы организации ПБУ 10/99
- Минимальный размер оплаты труда (МРОТ)
- Календарь бухгалтера на 2025 год
- Частичная мобилизация: обзор новостей
- Постановление Правительства РФ N 1875
