распоряжением Правительства
Российской Федерации
от 28 мая 2025 г. N 1346-р
Список изменяющих документов
(в ред. Постановления Правительства РФ от 11.06.2025 N 883)
1. Настоящая методика разработана в целях осуществления расчета показателей национальных рейтингов образовательных организаций высшего образования и профессиональных образовательных организаций по трудоустройству выпускников (далее соответственно - образовательные организации, национальные рейтинги) на единой цифровой платформе в сфере занятости и трудовых отношений "Работа в России".
(в ред. Постановления Правительства РФ от 11.06.2025 N 883)
(см. текст в предыдущей редакции)
2. Для расчета показателей национальных рейтингов используются полученные сведения о трудоустройстве и об уровне заработной платы выпускников образовательных организаций, завершивших обучение по очной форме обучения (далее - выпускник), на 30 июня 2-го года после завершения обучения. Из расчета показателей национальных рейтингов исключаются (не учитываются) ликвидированные на момент расчета показателей национальных рейтингов такие образовательные организации.
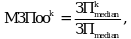
3. Показатель "Медианная заработная плата выпускников образовательной организации через 2 года после завершения обучения по очной форме обучения по образовательным программам высшего образования или образовательным программам среднего профессионального образования" (МЗПооk) для каждой рейтингуемой образовательной организации определяется по формуле:
- медианная среднемесячная заработная плата выпускников соответствующего уровня образования (высшего или среднего профессионального образования) рейтингуемой образовательной организации;
ЗПmedian - медианная среднемесячная заработная плата выпускников соответствующего уровня образования (высшего или среднего профессионального образования) всех рейтингуемых образовательных организаций;
k - рейтингуемая образовательная организация.
4. Медианная среднемесячная заработная плата выпускников соответствующего уровня образования (высшего или среднего профессионального образования) рейтингуемой образовательной организации (
) для образовательных организаций с нечетной численностью выпускников соответствующего уровня образования (высшего или среднего профессионального образования) определяется по формуле:
- значение среднемесячной заработной платы выпускника соответствующего уровня образования (высшего или среднего профессионального образования) рейтингуемой образовательной организации с порядковым номером
в ряду среднемесячных заработных плат выпускников соответствующего уровня образования (высшего или среднего профессионального образования) рейтингуемой образовательной организации, участвующих в расчете, ранжированном от минимума к максимуму возможных значений заработных плат;
n - количество наблюдений в ряду среднемесячных заработных плат выпускников соответствующего уровня образования (высшего или среднего профессионального образования) рейтингуемой образовательной организации, участвующих в расчете, ранжированном от минимума к максимуму возможных значений заработных плат.
5. Медианная среднемесячная заработная плата выпускников соответствующего уровня образования (высшего или среднего профессионального образования) рейтингуемой образовательной организации (
) для образовательных организаций с четной численностью выпускников соответствующего уровня образования (высшего или среднего профессионального образования) определяется по формуле:
- значение среднемесячной заработной платы выпускника соответствующего уровня образования (высшего или среднего профессионального образования) рейтингуемой образовательной организации с порядковым номером
в ряду среднемесячных заработных плат выпускников соответствующего уровня образования (высшего или среднего профессионального образования) рейтингуемой образовательной организации, участвующих в расчете, ранжированном от минимума к максимуму возможных значений заработных плат;
- значение среднемесячной заработной платы выпускника соответствующего уровня образования (высшего или среднего профессионального образования) рейтингуемой образовательной организации с порядковым номером
в ряду среднемесячных заработных плат выпускников соответствующего уровня образования (высшего или среднего профессионального образования) рейтингуемой образовательной организации, участвующих в расчете, ранжированном от минимума к максимуму возможных значений заработных плат.
6. Медианная среднемесячная заработная плата выпускников соответствующего уровня образования (высшего или среднего профессионального образования) всех рейтингуемых образовательных организаций (ЗПmedian) для образовательных организаций с нечетной численностью выпускников всех рейтингуемых образовательных организаций соответствующего уровня образования (высшего или среднего профессионального образования) определяется по формуле:
_ значение среднемесячной заработной платы выпускника соответствующего уровня образования (высшего или среднего профессионального образования) с порядковым номером
в ряду среднемесячных заработных плат выпускников соответствующего уровня образования (высшего или среднего профессионального образования) всех рейтингуемых образовательных организаций, участвующих в расчете, ранжированном от минимума к максимуму возможных значений заработных плат;
m - количество наблюдений в ряду среднемесячных заработных плат выпускников соответствующего уровня образования (высшего или среднего профессионального образования) всех рейтингуемых образовательных организаций, участвующих в расчете, ранжированном от минимума к максимуму возможных значений заработных плат.
7. Медианная среднемесячная заработная плата выпускников соответствующего уровня образования (высшего или среднего профессионального образования) всех рейтингуемых образовательных организаций (ЗПmedian) для образовательных организаций с четной численностью выпускников всех рейтингуемых образовательных организаций соответствующего уровня образования (высшего или среднего профессионального образования) определяется по формуле:
- значение среднемесячной заработной платы выпускника соответствующего уровня образования (высшего или среднего профессионального образования) с порядковым номером
в ряду среднемесячных заработных плат выпускников соответствующего уровня образования (высшего или среднего профессионального образования) всех рейтингуемых образовательных организаций, участвующих в расчете, ранжированном от минимума к максимуму возможных значений заработных плат;
- значение среднемесячной заработной платы выпускника соответствующего уровня образования (высшего или среднего профессионального образования) с порядковым номером
в ряду среднемесячных заработных плат выпускников соответствующего уровня образования (высшего или среднего профессионального образования) всех рейтингуемых образовательных организаций, участвующих в расчете, ранжированном от минимума к максимуму возможных значений заработных плат.
8. Среднемесячная заработная плата для каждого участвующего в расчете рейтинга выпускника соответствующего уровня образования (высшего или среднего профессионального образования) (ЗПi) за все отработанные с 1 июля года, следующего за годом окончания обучения, по 30 июня 2-го года после окончания обучения месяцы определяется по формуле:
mi - количество отработанных выпускником соответствующего уровня образования (высшего или среднего профессионального образования) месяцев с 1 июля года, следующего за годом окончания обучения, по 30 июня 2-го года после окончания обучения;
j - индикатор месяца, за который начислена заработная плата;
- заработная плата i выпускника в j месяце;
i - выпускник соответствующего уровня образования (высшего или среднего профессионального образования).
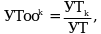
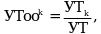
9. Показатель "Уровень трудоустройства выпускников образовательной организации через 2 года после завершения обучения по очной форме обучения по образовательным программам высшего образования или образовательным программам среднего профессионального образования" (УТооk) для каждой рейтингуемой образовательной организации на 30 июня 2-го года после окончания обучения определяется по формуле:
УТk - уровень трудоустройства выпускников соответствующего уровня образования (высшего или среднего профессионального образования) рейтингуемой образовательной организации;
УТ - уровень трудоустройства выпускников соответствующего уровня образования (высшего или среднего профессионального образования) всех рейтингуемых образовательных организаций.
10. Уровень трудоустройства выпускников соответствующего уровня образования (высшего или среднего профессионального образования) рейтингуемой образовательной организации (УТk) определяется по формуле:
- численность трудоустроенных выпускников соответствующего уровня образования (высшего или среднего профессионального образования) рейтингуемой образовательной организации;
- численность выпускников соответствующего уровня образования (высшего или среднего профессионального образования) рейтингуемой образовательной организации, занятых предпринимательской деятельностью, за исключением физических лиц, перешедших на специальный налоговый режим "Налог на профессиональный доход" в порядке, установленном Федеральным законом "О проведении эксперимента по установлению специального налогового режима "Налог на профессиональный доход", и не зарегистрированных в качестве индивидуальных предпринимателей;
- численность трудоустроенных выпускников соответствующего уровня образования (высшего или среднего профессионального образования) рейтингуемой образовательной организации, продолжающих обучение по образовательным программам среднего профессионального или высшего образования по очной форме обучения;
- общая численность выпускников соответствующего уровня образования (высшего или среднего профессионального образования) рейтингуемой образовательной организации;
- численность выбывших (умерших) из числа трудоспособных выпускников соответствующего уровня образования (высшего или среднего профессионального образования) рейтингуемой образовательной организации;
- численность выпускников соответствующего уровня образования (высшего или среднего профессионального образования) рейтингуемой образовательной организации, продолжающих обучение по образовательным программам среднего профессионального или высшего образования по очной форме обучения;
- численность нетрудоустроенных выпускников соответствующего уровня образования (высшего или среднего профессионального образования) рейтингуемой образовательной организации, имеющих инвалидность I группы;
- численность нетрудоустроенных выпускников соответствующего уровня образования (высшего или среднего профессионального образования) рейтингуемой образовательной организации, для которых зафиксирован факт назначения выплаты или пособия, в связи с рождением (усыновлением) и (или) уходом за ребенком;
- численность нетрудоустроенных выпускников соответствующего уровня образования (высшего или среднего профессионального образования) рейтингуемой образовательной организации, которым назначена (установлена) пенсия страховая, пенсия по государственному пенсионному обеспечению и накопительная пенсия;
- численность выпускников соответствующего уровня образования (высшего или среднего профессионального образования) рейтингуемой образовательной организации, которые являются гражданами других государств или лицами без гражданства и не трудоустроены (по данным Фонда пенсионного и социального страхования Российской Федерации).
11. Уровень трудоустройства выпускников соответствующего уровня образования (высшего или среднего профессионального образования) всех образовательных организаций (УТ) определяется по формуле:
Nтр - численность трудоустроенных выпускников соответствующего уровня образования (высшего или среднего профессионального образования) всех рейтингуемых образовательных организаций;
NИП - численность выпускников соответствующего уровня образования (высшего или среднего профессионального образования) всех рейтингуемых образовательных организаций, занятых предпринимательской деятельностью, за исключением физических лиц, перешедших на специальный налоговый режим "Налог на профессиональный доход" в порядке, установленном Федеральным законом "О проведении эксперимента по установлению специального налогового режима "Налог на профессиональный доход", и не зарегистрированных в качестве индивидуальных предпринимателей;
- численность трудоустроенных выпускников соответствующего уровня образования (высшего или среднего профессионального образования) всех рейтингуемых образовательных организаций, продолжающих обучение по образовательным программам среднего профессионального или высшего образования по очной форме обучения;
Nобщ - общая численность выпускников соответствующего уровня образования (высшего или среднего профессионального образования) всех рейтингуемых образовательных организаций;
Nвыб - численность выбывших (умерших) из числа трудоспособных выпускников соответствующего уровня образования (высшего или среднего профессионального образования) всех рейтингуемых образовательных организаций;
Nобуч - численность выпускников соответствующего уровня образования (высшего или среднего профессионального образования) всех рейтингуемых образовательных организаций, продолжающих обучение по образовательным программам среднего профессионального или высшего образования по очной форме обучения;
Nинв - численность нетрудоустроенных выпускников всех рейтингуемых образовательных организаций соответствующего уровня образования (высшего или среднего профессионального образования), имеющих инвалидность I группы;
Nреб - численность нетрудоустроенных выпускников соответствующего уровня образования (высшего или среднего профессионального образования) всех рейтингуемых образовательных организаций, для которых зафиксирован факт назначения выплаты или пособия, в связи с рождением (усыновлением) и (или) уходом за ребенком;
Nпенс - численность нетрудоустроенных выпускников соответствующего уровня образования (высшего или среднего профессионального образования) всех рейтингуемых образовательных организаций, которым назначена (установлена) пенсия страховая, пенсия по государственному пенсионному обеспечению и накопительная пенсия;
Nиностр - численность выпускников соответствующего уровня образования (высшего или среднего профессионального образования) всех рейтингуемых образовательных организаций, которые являются гражданами других государств или лицами без гражданства и не трудоустроены (по данным Фонда пенсионного и социального страхования Российской Федерации).
12. Итоговый результат рейтингуемой образовательной организации в проектах национальных рейтингов (ИРооk) определяется по формуле:
- Гражданский кодекс (ГК РФ)
- Жилищный кодекс (ЖК РФ)
- Налоговый кодекс (НК РФ)
- Трудовой кодекс (ТК РФ)
- Уголовный кодекс (УК РФ)
- Бюджетный кодекс (БК РФ)
- Арбитражный процессуальный кодекс
- Конституция РФ
- Земельный кодекс (ЗК РФ)
- Лесной кодекс (ЛК РФ)
- Семейный кодекс (СК РФ)
- Уголовно-исполнительный кодекс
- Уголовно-процессуальный кодекс
- Производственный календарь на 2025 год
- МРОТ 2026
- ФЗ «О банкротстве»
- О защите прав потребителей (ЗОЗПП)
- Об исполнительном производстве
- О персональных данных
- О налогах на имущество физических лиц
- О средствах массовой информации
- Производственный календарь на 2026 год
- Федеральный закон "О полиции" N 3-ФЗ
- Расходы организации ПБУ 10/99
- Минимальный размер оплаты труда (МРОТ)
- Календарь бухгалтера на 2025 год
- Частичная мобилизация: обзор новостей
- Постановление Правительства РФ N 1875









