VIII. Расчет предельной отпускной цены производителей на лекарственный препарат производителя государства - члена Евразийского экономического союза при ее перерегистрации
VIII. Расчет предельной отпускной цены производителей
на лекарственный препарат производителя государства - члена
Евразийского экономического союза при ее перерегистрации
34. Предельная отпускная цена на лекарственный препарат при ее перерегистрации устанавливается для каждого производителя в рамках регистрационного удостоверения лекарственного препарата в соответствии с требованиями пунктов 27, 28 и 32 Правил и не может превышать минимальную цену, рассчитанную в соответствии с настоящим разделом.
35. Перерегистрация предельной отпускной цены производителя государства - члена Евразийского экономического союза на лекарственный препарат в случаях, предусмотренных подпунктами "а" - "в" пункта 34 Правил, осуществляется в соответствии с приложением N 8 к настоящей методике.
36. Предельная отпускная цена производителя государства - члена Евразийского экономического союза на лекарственный препарат при ее перерегистрации в случаях, указанных в подпунктах "а" и "в" пункта 34 Правил, подлежит увеличению:
а) на величину удорожания сырья и материалов;
б) на величину изменения накладных расходов.
37. Предельная отпускная цена производителя государства - члена Евразийского экономического союза на лекарственный препарат при ее перерегистрации в случае, указанном в подпункте "б" пункта 34 Правил, подлежит увеличению в части стоимости сырья и материалов, используемых при производстве конкретного лекарственного препарата, пропорционально величине удорожания стоимости сырья и материалов в структуре затрат на производство и реализацию лекарственного препарата, которое в равной степени влияет на зарегистрированные цены на все лекарственные препараты, отнесенные к одному международному непатентованному наименованию и имеющие одинаковый путь введения.
38. Величина увеличения зарегистрированной предельной отпускной цены на лекарственный препарат производителя государства - члена Евразийского экономического союза при ее перерегистрации в случаях, указанных в подпунктах "а" и "б" пункта 34 Правил, не должна превышать уровень фактической инфляции в предшествующем календарном году с учетом прогнозируемого уровня инфляции, установленного на текущий год федеральным законом о федеральном бюджете на соответствующий финансовый год и плановый период (И) (процентов), определяемый по формуле:
Iпц - индекс потребительских цен на товары и услуги предшествующего календарного года (процентов);
Итг - прогнозируемый уровень инфляции, установленный на текущий год федеральным законом о федеральном бюджете на соответствующий финансовый год и плановый период (процентов).
39. При расчете предельной отпускной цены на лекарственный препарат при ее перерегистрации в случаях, указанных в подпунктах "а" - "в" пункта 34 Правил, не учитывается увеличение накладных расходов при изменении способа отнесения затрат организации, которые напрямую не связаны с основным производством, на себестоимость лекарственного препарата.
40. Перерегистрация предельной отпускной цены производителя государства - члена Евразийского экономического союза на лекарственный препарат в случае, предусмотренном подпунктом "г" пункта 34 Правил, осуществляется на основании сведений, предусмотренных приложением N 2 к настоящей методике.
41. Предельная отпускная цена производителя государства - члена Евразийского экономического союза на лекарственный препарат подлежит перерегистрации в случае, указанном в подпункте "г" пункта 34 Правил, если средневзвешенная фактическая отпускная цена на лекарственный препарат за истекший период со дня принятия решения о государственной регистрации (перерегистрации) до дня подачи заявления о государственной перерегистрации была ниже зарегистрированной на этот период цены не более чем на прогнозируемый уровень инфляции, установленный на текущий год федеральным законом о федеральном бюджете на соответствующий финансовый год и плановый период, но не выше величины, рассчитанной в соответствии с настоящей методикой.
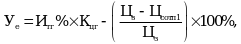
42. Величина увеличения зарегистрированной предельной отпускной цены производителя государства - члена Евразийского экономического союза на лекарственный препарат при ее перерегистрации в случае, указанном в подпункте "г" пункта 34 Правил (Уе) (процентов), с округлением до сотых определяется по формуле:
Кцг - коэффициент ценовой группы, определяемый в соответствии со значениями коэффициента ценовой группы, применяемого при расчете предельных отпускных цен производителей на лекарственные препараты, в отношении которых представляются на перерегистрацию предельные отпускные цены, согласно приложению N 9.
Ценовая группа определяется исходя из зарегистрированной предельной отпускной цены на лекарственный препарат за период, истекший со дня государственной регистрации (последней перерегистрации);
Цз - зарегистрированная предельная отпускная цена на лекарственный препарат за период, истекший со дня государственной регистрации (последней перерегистрации) (рублей);
Цсотп1 - средневзвешенная фактическая отпускная цена производителя государства - члена Евразийского экономического союза на лекарственный препарат, отгруженный производителем в адрес дистрибьюторов с целью последующей реализации за отчетный период, предусмотренный пунктом 40 Правил, рассчитанная в соответствии с разделом IV настоящей методики (рублей).
43. Предлагаемая к перерегистрации предельная отпускная цена на воспроизведенный, биоаналоговый (биоподобный) лекарственный препарат не может превышать отпускную цену, рассчитанную в соответствии с настоящей методикой с учетом требований пункта 33 Правил.
44. Предлагаемая к перерегистрации предельная отпускная цена на лекарственный препарат, реализуемый в иностранных государствах, указанных в приложении N 3 к настоящей методике, и в стране производителя, не может превышать минимальную отпускную цену на этот же лекарственный препарат, определенную в соответствии с разделом VII настоящей методики на основании расчета, предусмотренного приложением N 4 к настоящей методике, с учетом расходов по уплате таможенных сборов за совершение таможенных операций, связанных с выпуском товаров.
- Гражданский кодекс (ГК РФ)
- Жилищный кодекс (ЖК РФ)
- Налоговый кодекс (НК РФ)
- Трудовой кодекс (ТК РФ)
- Уголовный кодекс (УК РФ)
- Бюджетный кодекс (БК РФ)
- Арбитражный процессуальный кодекс
- Конституция РФ
- Земельный кодекс (ЗК РФ)
- Лесной кодекс (ЛК РФ)
- Семейный кодекс (СК РФ)
- Уголовно-исполнительный кодекс
- Уголовно-процессуальный кодекс
- Производственный календарь на 2025 год
- МРОТ 2026
- ФЗ «О банкротстве»
- О защите прав потребителей (ЗОЗПП)
- Об исполнительном производстве
- О персональных данных
- О налогах на имущество физических лиц
- О средствах массовой информации
- Производственный календарь на 2026 год
- Федеральный закон "О полиции" N 3-ФЗ
- Расходы организации ПБУ 10/99
- Минимальный размер оплаты труда (МРОТ)
- Календарь бухгалтера на 2026 год
- Частичная мобилизация: обзор новостей
- Постановление Правительства РФ N 1875

