к Решению о порядке
предоставления субсидии
N 25-67370-01947-Р
1. Настоящие Правила устанавливают порядок финансирования (предоставления займов) инвестиционных проектов по приобретению на льготных условиях сельскохозяйственной техники и оборудования (далее - техника) на основе финансовой аренды (лизинга) с использованием облигаций специализированного общества проектного финансирования.
2. В целях настоящих Правил под специализированным обществом проектного финансирования понимается специализированное общество, 100 процентов акций (долей участия в уставном капитале) которого принадлежит единому институту развития в жилищной сфере, определенному Федеральным законом "О содействии развитию и повышению эффективности управления в жилищной сфере и о внесении изменений в отдельные законодательные акты Российской Федерации" (далее соответственно - специализированное общество, единый институт развития в жилищной сфере).
3. Финансирование инвестиционных проектов по приобретению на льготных условиях техники на основе финансовой аренды (лизинга) в соответствии с настоящими Правилами осуществляется путем предоставления лизинговым компаниям, созданным в соответствии с законодательством Российской Федерации (далее - лизингодатель), специализированным обществом денежных средств на основании договоров займа (далее соответственно - договор займа со специализированным обществом, заем по договору займа со специализированным обществом) на цели приобретения предмета лизинга и его последующей передачи лизингополучателям по договорам финансовой аренды (лизинга) (далее - договор лизинга).
Денежные средства, полученные лизингодателями на основании договоров займа со специализированным обществом, не могут быть использованы в целях осуществления расходов на имущественное страхование, страхование финансовых и (или) предпринимательских рисков, обязательное и добровольное страхование гражданской ответственности владельцев транспортных средств, регистрацию техники, доставку техники лизингополучателю.
Информационное взаимодействие и обмен документами, предусмотренными настоящими Правилами, между специализированным обществом, единым институтом развития в жилищной сфере, уполномоченным банком в сфере жилищного строительства, определенном в соответствии с Федеральным законом "О содействии развитию и повышению эффективности управления в жилищной сфере и о внесении изменений в отдельные законодательные акты Российской Федерации" (далее - уполномоченный банк в сфере жилищного строительства), и лизингодателями осуществляется с использованием единой информационной системы жилищного строительства при наличии технической возможности.
Документы на бумажном носителе представляются посредством почтовой или курьерской доставки. При представлении документов на бумажном носителе электронные копии таких документов размещаются в единой информационной системе жилищного строительства.
Единый институт развития в жилищной сфере размещает информацию об отсутствии технической возможности использования для информационного взаимодействия указанной в настоящем пункте единой информационной системы жилищного строительства на своем официальном сайте в сети "Интернет".
Специализированное общество размещает не конвертируемые в акции бездокументарные с централизованным учетом прав облигации, номинированные в валюте Российской Федерации, по которым предусмотрено начисление процентного (купонного) дохода, обеспеченные залогом денежных требований по договорам займа со специализированным обществом в соответствии с настоящими Правилами (далее - облигации).
4. Сумма заключенных договоров займа со специализированным обществом и сумма предоставляемых лизингодателям специализированным обществом займов по договорам займа со специализированным обществом не должны превышать 330,0 миллиардов рублей соответственно.
5. В целях реализации настоящих Правил единому институту развития в жилищной сфере из федерального бюджета предоставляются субсидии на возмещение специализированному обществу затрат на выплату процентного (купонного) дохода по облигациям (далее - возмещение).
6. Обязательства специализированного общества по выплате процентного (купонного) дохода по облигациям могут исполняться за счет собственных средств и (или) заемных средств специализированного общества.
7. Исполнение обязательств специализированного общества по выплате номинальной стоимости облигаций и процентного (купонного) дохода по облигациям (далее - обязательства специализированного общества по облигациям) обеспечивается поручительством единого института развития в жилищной сфере.
8. Единый институт развития в жилищной сфере вправе предоставить специализированному обществу денежные средства по договору займа в целях предоставления лизингодателям специализированным обществом денежных средств на основании договоров займа со специализированным обществом, исполнения обязательств специализированного общества по облигациям и (или) возврата ранее предоставленных специализированному обществу единым институтом развития в жилищной сфере в соответствии с настоящим пунктом денежных средств по договору займа, а также в целях осуществления расходов и платежей специализированного общества, предусмотренных подпунктом "д" пункта 14 настоящих Правил (далее соответственно - договор займа с учредителем, заем по договору займа с учредителем). Специализированное общество вправе досрочно исполнить обязательства перед единым институтом развития в жилищной сфере по договорам займа с учредителем. При предоставлении единым институтом развития в жилищной сфере специализированному обществу займов по договорам займа с учредителем со специализированного общества не могут взиматься комиссии и иные платежи, связанные с предоставлением и обслуживанием займов по договорам займа с учредителем, а также платежи за досрочное исполнение обязательств по договорам займа с учредителем.
9. Права (требования) специализированного общества по обязательствам лизингодателей, возникшим из договоров займа со специализированным обществом, а также вытекающим из признания договора займа со специализированным обществом недействительным, приобретаются единым институтом развития в жилищной сфере у специализированного общества в следующих случаях:
а) лизингодатель находится в процессе ликвидации;
б) в отношении лизингодателя введена процедура банкротства;
в) договор займа со специализированным обществом признан недействительным решением суда, вступившим в законную силу;
г) лизингодатель допустил просрочку исполнения обязательства по договору займа со специализированным обществом в части возврата суммы займа (погашения суммы основного долга) и (или) уплаты процентов за пользование займом по договору займа со специализированным обществом, составляющую не менее 270 календарных дней. При этом специализированным обществом предъявлено требование о возврате суммы займа (погашении суммы основного долга) и (или) об уплате процентов за пользование займом по договору займа со специализированным обществом и такое требование специализированного общества не удовлетворено на дату приобретения права (требования) по договору займа со специализированным обществом.
10. Стоимость приобретаемых единым институтом развития в жилищной сфере в соответствии с пунктом 9 настоящих Правил прав (требований) должна быть равна размеру задолженности лизингодателя перед специализированным обществом по договору займа со специализированным обществом, включающей сумму основного долга и начисленные, но не уплаченные на дату перехода к единому институту развития в жилищной сфере прав (требований) проценты за пользование займом по договору займа со специализированным обществом, либо размеру требования о возврате полученного по недействительной сделке в случае приобретения единым институтом развития в жилищной сфере прав (требований) на основании подпункта "в" пункта 9 настоящих Правил. При определении предусмотренной настоящим пунктом стоимости приобретаемых единым институтом развития в жилищной сфере в соответствии с пунктом 9 настоящих Правил прав (требований) не учитываются неустойки (пени, штрафы), начисленные в связи с неисполнением или ненадлежащим исполнением лизингодателем обязательств по договору займа со специализированным обществом, а также проценты за пользование чужими средствами.
11. Денежные средства, полученные специализированным обществом от размещения облигаций, могут быть использованы специализированным обществом в порядке и на условиях, которые предусмотрены настоящими Правилами, на предоставление займов по договорам займа со специализированным обществом, исполнение обязательств специализированного общества по облигациям и обязательств по договорам займа с учредителем, а также на приобретение специализированным обществом облигаций в соответствии со статьями 17.2 и 17.3 Федерального закона "О рынке ценных бумаг".
12. Денежные средства, полученные специализированным обществом от размещения облигаций, подлежат зачислению на залоговый счет (залоговые счета) специализированного общества, залогом прав по которому (которым) обеспечивается исполнение обязательств специализированного общества по облигациям (далее - залоговый счет). Залоговый счет открывается в уполномоченном банке в сфере жилищного строительства.
13. На залоговый счет также подлежат зачислению денежные средства, поступившие:
а) от лизингодателей и (или) третьих лиц в счет исполнения обязательств лизингодателей перед специализированным обществом по договорам займа со специализированным обществом;
б) от лиц, предоставивших обеспечение исполнения обязательств лизингодателей по договорам займа со специализированным обществом;
в) от уполномоченного банка в сфере жилищного строительства в качестве процентов за пользование денежными средствами, находящимися на залоговом счете;
г) от единого института развития в жилищной сфере по договорам займа с учредителем;
д) от единого института развития в жилищной сфере за приобретение прав (требований) специализированного общества в соответствии с пунктом 9 настоящих Правил;
е) при получении специализированным обществом иных платежей, подлежащих зачислению на залоговый счет в соответствии с законодательством Российской Федерации, а также при получении специализированным обществом денежных средств, причитающихся лизингодателю в счет исполнения третьим лицом обязательства перед лизингодателем, если право (требование) по такому обязательству заложено специализированному обществу в обеспечение исполнения обязательств лизингодателя по договору займа со специализированным обществом и договором залога указанного права (требования) предусмотрено зачисление таких денежных средств на залоговый счет.
14. В целях обеспечения исполнения обязательств специализированного общества по облигациям в порядке, установленном законодательством Российской Федерации, заключается договор залога прав по договору банковского счета, по которому залогодержателями являются владельцы облигаций и по которому допускается списание (перечисление, выдача) с залогового счета денежных средств в целях:
а) предоставления денежных средств на основании договоров займа со специализированным обществом;
б) исполнения обязательств специализированного общества по облигациям;
в) исполнения обязательств специализированного общества по договорам займа с учредителем;
г) уплаты вознаграждения единому институту развития в жилищной сфере за поручительство, предоставленное в соответствии с пунктом 7 настоящих Правил;
д) оплаты административно-хозяйственных расходов специализированного общества, а также осуществления иных платежей, связанных с осуществлением специализированным обществом своей уставной деятельности, в том числе операционных расходов специализированного общества, расходов, связанных с размещением облигаций. В целях осуществления предусмотренных настоящим подпунктом платежей денежные средства с залогового счета могут быть перечислены на иные счета специализированного общества в уполномоченном банке в сфере жилищного строительства, не являющиеся залоговыми счетами. Ежегодный размер платежей по указанным в настоящем подпункте расходам не может превышать один процент совокупной номинальной стоимости облигаций, находящихся в обращении на 31 декабря соответствующего календарного года;
е) приобретения специализированным обществом облигаций в соответствии со статьями 17.2 и 17.3 Федерального закона "О рынке ценных бумаг".
15. Уполномоченный банк в сфере жилищного строительства обязан проводить операции по залоговому счету в соответствии с законодательством Российской Федерации и условиями договора залога прав по договору банковского счета, указанному в пункте 14 настоящих Правил, осуществляя контроль соблюдения специализированным обществом целей списания (перечисления, выдачи) денежных средств с залогового счета, предусмотренных подпунктами "а" - "е" пункта 14 настоящих Правил и договором залога прав по договору банковского счета.
16. Специализированное общество заключает с уполномоченным банком в сфере жилищного строительства договор об оказании услуг, согласно которому уполномоченный банк в сфере жилищного строительства принимает на себя обязательства по сбору и перечислению специализированному обществу исполнения обязательств, полученных от лизингодателей по договорам займа со специализированным обществом, а также по осуществлению контроля за целевым использованием лизингодателями денежных средств, предоставляемых им специализированным обществом на основании договоров займа со специализированным обществом.
17. Лизингодатель несет ответственность перед специализированным обществом, предусмотренную договором займа со специализированным обществом, в случае несоблюдения условий договора лизинга, в том числе нарушения установленного договором лизинга срока передачи предмета лизинга лизингополучателю.
Нарушение лизингодателем сроков передачи предмета лизинга лизингополучателю, установленных при заключении договора лизинга, на срок более 180 календарных дней является основанием для возврата лизингодателем специализированному обществу суммы займа, выданного по договору займа со специализированным обществом на цели приобретения такого предмета лизинга и его последующей передачи лизингополучателю по договору лизинга, в сроки и в порядке, установленном соответствующим договором займа со специализированным обществом.
В случае если несоблюдение условий договора лизинга лизингодателем, в том числе предусмотренное абзацем вторым настоящего пункта, повлекло возврат ранее выплаченного возмещения, соответствующие средства в размере указанного возврата подлежат компенсации лизингодателем специализированному обществу в соответствии с договором займа со специализированным обществом.
18. В целях заключения договора займа со специализированным обществом лизингодатель направляет специализированному обществу заявку с приложением следующих документов:
а) копии учредительных документов;
б) документы, подтверждающие соответствие лизингодателя требованиям, предусмотренным пунктом 19 настоящих Правил.
19. Для заключения договора займа со специализированным обществом лизингодатель по состоянию не ранее чем на 1-е число месяца, предшествующего месяцу, в котором представляются документы, предусмотренные пунктом 18 настоящих Правил, должен соответствовать следующим требованиям:
а) создан в соответствии с законодательством Российской Федерации как коммерческая организация, имеет место нахождения на территории Российской Федерации и является налоговым резидентом Российской Федерации;
б) не находится в процессе реорганизации (за исключением реорганизации в форме присоединения к лизингодателю другого юридического лица), ликвидации, в отношении его не введена процедура банкротства, деятельность не приостановлена в порядке, предусмотренном законодательством Российской Федерации;
в) не является иностранным юридическим лицом, в том числе местом регистрации которого является государство или территория, включенные в утвержденный Министерством финансов Российской Федерации перечень государств и территорий, используемых для промежуточного (офшорного) владения активами в Российской Федерации (далее - офшорные компании), а также российским юридическим лицом, в уставном (складочном) капитале которого доля прямого или косвенного (через третьих лиц) участия офшорных компаний в совокупности превышает 25 процентов.
При расчете доли участия офшорных компаний в капитале российских юридических лиц не учитывается прямое и (или) косвенное участие офшорных компаний в капитале публичных акционерных обществ (в том числе со статусом международной компании), акции которых обращаются на организованных торгах в Российской Федерации, а также косвенное участие таких офшорных компаний в капитале других российских юридических лиц, реализованное через участие в капитале указанных публичных акционерных обществ;
г) руководитель и (или) главный бухгалтер (при наличии) лизингодателя не имеют неснятой и (или) непогашенной судимости за совершение умышленного преступления;
д) не включен в реестры недобросовестных поставщиков (подрядчиков, исполнителей), ведение которых осуществляется в соответствии с Федеральным законом "О закупках товаров, работ, услуг отдельными видами юридических лиц" и Федеральным законом "О контрактной системе в сфере закупок товаров, работ, услуг для обеспечения государственных и муниципальных нужд";
е) у лизингодателя на едином налоговом счете отсутствует или не превышает размера, определенного пунктом 3 статьи 47 Налогового кодекса Российской Федерации, задолженность по уплате налогов, сборов и страховых взносов в бюджеты бюджетной системы Российской Федерации;
ж) у лизингодателя отсутствует просроченная задолженность по возврату в федеральный бюджет субсидий, бюджетных инвестиций, предоставленных в соответствии с правовыми актами Правительства Российской Федерации, и просроченная (неурегулированная) задолженность по денежным обязательствам перед Российской Федерацией;
з) в реестре дисквалифицированных лиц отсутствуют сведения о дисквалифицированных руководителе, лице, исполняющем функции единоличного исполнительного органа, или главном бухгалтере (при наличии) лизингодателя;
и) не находится в перечне организаций и физических лиц, в отношении которых имеются сведения об их причастности к экстремистской деятельности или терроризму;
к) не находится в составляемых в рамках реализации полномочий, предусмотренных главой VII Устава ООН, Советом Безопасности ООН или органами, специально созданными решениями Совета Безопасности ООН, перечнях организаций и физических лиц, связанных с террористическими организациями и террористами или с распространением оружия массового уничтожения;
л) не является иностранным агентом в соответствии с Федеральным законом "О контроле за деятельностью лиц, находящихся под иностранным влиянием";
м) общая сумма задолженности лизингополучателей перед лизингодателем и (или) группой лиц лизингодателя, определяемой в соответствии со статьей 9 Федерального закона "О защите конкуренции" (далее - группа лиц лизингодателя), по действующим договорам финансовой аренды (лизинга), по данным финансовой отчетности лизингодателя и (или) лиц, входящих в группу лиц лизингодателя и осуществляющих лизинговую деятельность, на последнюю отчетную дату, предшествующую дате представления документов, предусмотренных пунктом 18 настоящих Правил, составляет не менее 100,0 миллиардов рублей, за исключением случаев, предусмотренных пунктом 20 настоящих Правил;
н) имеет рейтинг кредитоспособности не ниже уровня "A (RU)" по национальной рейтинговой шкале для Российской Федерации, присвоенного кредитным рейтинговым агентством Аналитическое Кредитное Рейтинговое Агентство (Акционерное общество), и (или) не ниже уровня "ruA" по национальной рейтинговой шкале для Российской Федерации, присвоенного кредитным рейтинговым агентством Акционерное общество "Рейтинговое Агентство "Эксперт РА", и (или) не ниже уровня "A|ru|" по национальной рейтинговой шкале для Российской Федерации, присвоенного кредитным рейтинговым агентством общество с ограниченной ответственностью "Национальное Рейтинговое Агентство", за исключением случаев, предусмотренных пунктом 20 настоящих Правил.
20. В случае если лизингодатель не соответствует требованию, предусмотренному подпунктом "м" или подпунктом "н" пункта 19 настоящих Правил, договором займа со специализированным обществом должно быть предусмотрено, что исполнение обязательств лизингодателя по возврату суммы займа (погашению суммы основного долга) и по уплате процентов за пользование суммой займа по договору займа со специализированным обществом обеспечивается поручительством или банковской гарантией юридического лица, которое имеет рейтинг кредитоспособности не ниже уровня "A (RU)" по национальной рейтинговой шкале для Российской Федерации, присвоенного кредитным рейтинговым агентством Аналитическое Кредитное Рейтинговое Агентство (Акционерное общество), и (или) не ниже уровня "ruA" по национальной рейтинговой шкале для Российской Федерации, присвоенного кредитным рейтинговым агентством Акционерное общество "Рейтинговое Агентство "Эксперт РА", и (или) не ниже уровня "A|ru|" по национальной рейтинговой шкале для Российской Федерации, присвоенного кредитным рейтинговым агентством общество с ограниченной ответственностью "Национальное Рейтинговое Агентство".
В случае если лизингодатель не соответствует требованиям, предусмотренным подпунктами "м" и "н" пункта 19 настоящих Правил, договором займа со специализированным обществом должно быть предусмотрено, что исполнение обязательств лизингодателя по возврату суммы займа (погашению суммы основного долга) и по уплате процентов за пользование суммой займа по договору займа со специализированным обществом обеспечивается поручительством или банковской гарантией юридического лица, входящего в одну группу лиц с лизингодателем, которое имеет рейтинг кредитоспособности не ниже уровня "AA (RU)" по национальной рейтинговой шкале для Российской Федерации, присвоенного кредитным рейтинговым агентством Аналитическое Кредитное Рейтинговое Агентство (Акционерное общество), и (или) не ниже уровня "ruAA" по национальной рейтинговой шкале для Российской Федерации, присвоенного кредитным рейтинговым агентством Акционерное общество "Рейтинговое Агентство "Эксперт РА", и (или) не ниже уровня "AA|ru|" по национальной рейтинговой шкале для Российской Федерации, присвоенного кредитным рейтинговым агентством общество с ограниченной ответственностью "Национальное Рейтинговое Агентство".
21. Специализированное общество вправе предоставлять лизингодателю заем по договору займа со специализированным обществом в случае, если договор лизинга соответствует следующим требованиям на дату его заключения:
а) лизингополучателем является юридическое лицо, образованное в соответствии с законодательством Российской Федерации, или индивидуальный предприниматель или физическое лицо, являющееся гражданином Российской Федерации;
б) предметом лизинга является техника, соответствующая одновременно следующим требованиям:
техника, являющаяся предметом лизинга, классифицируется в соответствии с Общероссийским классификатором продукции по видам экономической деятельности (ОКПД 2) кодами: 28.22.17.110, 28.22.17.120, 28.22.18.220, 28.22.18.230, 28.22.18.240, 28.22.18.250, 28.25.13.115, 28.30.2, 28.30.31, 28.30.32.111, 28.30.32.112, 28.30.32.119, 28.30.32.130, 28.30.32.140, 28.30.33.110, 28.30.33.120, 28.30.34, 28.30.39, 28.30.5, 28.30.6, 28.30.7, 28.30.81, 28.30.82, 28.30.83.110, 28.30.83.120, 28.30.83.140, 28.30.85, 28.30.86.110, 28.30.86.120, 28.92.5, 28.93.13.111, 28.93.13.140, 28.93.16, 28.93.2, 29.20.23.130, 29.20.23.190;
сведения о технике, являющейся предметом лизинга, включены в реестр российской промышленной продукции, размещаемый в государственной информационной системе промышленности, предусмотренный статьей 17.1 Федерального закона "О промышленной политике в Российской Федерации", и в том числе содержат для техники, в отношении которой предусмотрены показатели локализации, информацию о совокупном количестве баллов за выполнение (освоение) на территории Российской Федерации таких операций (условий) и баллов за выполнение на территории Российской Федерации научно-исследовательских и опытно-конструкторских работ с указанием срока действия таких баллов в соответствии с актом экспертизы Торгово-промышленной палаты Российской Федерации, а также наименование и реквизиты акта экспертизы Торгово-промышленной палаты Российской Федерации, устанавливающего количество баллов за выполнение на территории Российской Федерации научно-исследовательских и опытно-конструкторских работ, или информацию о совокупном количестве баллов за выполнение (освоение) на территории Российской Федерации таких операций (условий), максимально возможном количестве баллов и о процентном показателе совокупного количества баллов от максимально возможного количества баллов, значение которого установлено в соответствии с постановлением Правительства Российской Федерации от 17 июля 2015 г. N 719 "О подтверждении производства российской промышленной продукции" для целей получения мер государственной поддержки;
техника, являющаяся предметом лизинга, произведена не ранее чем за 3 года до года заключения договора лизинга, ранее не передавалась в финансовую аренду (лизинг), не была в собственности физического лица, в отношении ее не проводилась регистрация в государственных органах в случаях, когда предмет лизинга подлежит такой регистрации в соответствии с законодательством Российской Федерации (за исключением случаев, если регистрация осуществлена во исполнение договора лизинга);
техника, являющаяся предметом лизинга, приобретена у производителя (завода-изготовителя) и (или) официального торгового представителя (дистрибьютора, дилера) такого производителя (завода-изготовителя), который приобретает технику напрямую у производителя (завода-изготовителя) и (или) официального торгового представителя (дистрибьютора, дилера) производителя (завода-изготовителя);
в) срок лизинга в соответствии с договором лизинга составляет не менее 36 месяцев и не более 84 месяцев;
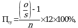
г) размер процента среднегодового удорожания предмета лизинга по договору лизинга составляет не более 10 процентов. Указанный процент среднегодового удорожания (Псу) определяется по формуле:
O - сумма платежей по договору лизинга, подлежащая уплате лизингополучателем лизингодателю, за вычетом налога на добавленную стоимость, уменьшенная на расходы лизингодателя по имущественному страхованию предмета лизинга;
S - сумма расходов лизингодателя за вычетом налога на добавленную стоимость, связанных с приобретением предмета лизинга и его последующей передачей лизингополучателю и предусмотренных договором лизинга;
n - общее количество месяцев в предусмотренном договором лизинга инвестиционно-платежном графике, которое рассчитывается начиная с даты первого лизингового платежа либо даты первого платежа лизингодателя производителю (заводу-изготовителю) или официальному торговому представителю такого производителя (завода-изготовителя) в зависимости от того, какой из них осуществлен ранее, до даты последнего лизингового платежа.
В случае если размер процента среднегодового удорожания предмета лизинга, предусмотренного договором лизинга на дату его заключения, не соответствует требованию, предусмотренному настоящим подпунктом, специализированное общество вправе предоставлять заем по договору займа со специализированным обществом в случае, если указанный размер процента среднегодового удорожания предмета лизинга уменьшен на основании дополнительного соглашения к договору лизинга в целях приведения договора лизинга в соответствие настоящим Правилам;
д) договор лизинга заключен не ранее 1 января 2025 года.
22. Договор займа со специализированным обществом заключается на срок не менее 3 лет и предусматривает в том числе:
а) положение о зачислении предоставляемых по договору займа со специализированным обществом денежных средств на банковский счет лизингодателя, открытый в уполномоченном банке в сфере жилищного строительства;
б) обязательство лизингодателя по представлению на ежеквартальной основе информации о ходе исполнения договоров лизинга, на цели приобретения предметов лизинга и их последующей передачи лизингополучателю, по которым предоставлен заем по договору займа со специализированным обществом;
в) в случаях, предусмотренных пунктом 20 настоящих Правил, обязательство по обеспечению исполнения обязательств лизингодателя по возврату суммы займа (погашению суммы основного долга) и по уплате процентов за пользование суммой займа по договору займа со специализированным обществом, соответствующее требованиям, предусмотренным пунктом 20 настоящих Правил;
г) перечень документов, предоставляемых лизингодателем специализированному обществу в целях получения займа по договору займа со специализированным обществом, а также порядок их представления.
23. Для получения займа по договору займа со специализированным обществом лизингодатель представляет специализированному обществу документы, перечень и порядок представления которых в соответствии с подпунктом "г" пункта 22 настоящих Правил, предусматривается в договоре займа со специализированным обществом.
24. Специализированное общество отказывает в выдаче займа по договору займа со специализированным обществом в случае несоответствия договора лизинга требованиям, предусмотренным пунктом 21 настоящих Правил.
- Гражданский кодекс (ГК РФ)
- Жилищный кодекс (ЖК РФ)
- Налоговый кодекс (НК РФ)
- Трудовой кодекс (ТК РФ)
- Уголовный кодекс (УК РФ)
- Бюджетный кодекс (БК РФ)
- Арбитражный процессуальный кодекс
- Конституция РФ
- Земельный кодекс (ЗК РФ)
- Лесной кодекс (ЛК РФ)
- Семейный кодекс (СК РФ)
- Уголовно-исполнительный кодекс
- Уголовно-процессуальный кодекс
- Производственный календарь на 2025 год
- МРОТ 2025
- ФЗ «О банкротстве»
- О защите прав потребителей (ЗОЗПП)
- Об исполнительном производстве
- О персональных данных
- О налогах на имущество физических лиц
- О средствах массовой информации
- Производственный календарь на 2026 год
- Федеральный закон "О полиции" N 3-ФЗ
- Расходы организации ПБУ 10/99
- Минимальный размер оплаты труда (МРОТ)
- Календарь бухгалтера на 2025 год
- Частичная мобилизация: обзор новостей
- Постановление Правительства РФ N 1875
