постановлением Правительства
Российской Федерации
от 30 июня 2021 г. N 1085
Список изменяющих документов
(в ред. Постановления Правительства РФ от 18.04.2025 N 522)
1. Настоящее Положение устанавливает порядок осуществления федерального государственного энергетического надзора (далее - государственный надзор), за исключением государственного надзора, осуществляемого на объектах, подведомственных Министерству обороны Российской Федерации, Службе внешней разведки Российской Федерации, Федеральной службе охраны Российской Федерации, Федеральной службе безопасности Российской Федерации, Главному управлению специальных программ Президента Российской Федерации.
2. Государственный надзор осуществляется Федеральной службой по экологическому, технологическому и атомному надзору и ее территориальными органами (далее - орган государственного надзора).
3. Предметом государственного надзора в сфере электроэнергетики является:
а) соблюдение субъектами электроэнергетики и (или) потребителями электрической энергии, за исключением потребителей электрической энергии, деятельность которых связана с эксплуатацией энергопринимающих устройств, использующихся для бытовых нужд, а также других энергопринимающих устройств, суммарная максимальная мощность которых не превышает 150 киловатт с номинальным напряжением до 1000 вольт и которые присоединены к одному источнику электроснабжения, следующих обязательных требований:
требований к обеспечению надежности электроэнергетических систем, надежности и безопасности объектов электроэнергетики и энергопринимающих установок при организации и осуществлении эксплуатации объектов электроэнергетики и энергопринимающих установок потребителей электрической энергии и осуществлении функций по оперативно-диспетчерскому управлению в электроэнергетике, связанных с планированием и производством переключений на объектах электроэнергетики и в энергопринимающих установках потребителей электрической энергии, управлением электроэнергетическим режимом энергосистемы, предотвращением и ликвидацией аварийных электроэнергетических режимов, а также требований к подготовке и подтверждению готовности работников к работе в сфере электроэнергетики;
требований к безопасному ведению работ на объектах электроэнергетики, установленных правилами по охране труда;
требований в области энергосбережения и повышения энергетической эффективности;
особых условий использования земельных участков в границах охранных зон объектов электроэнергетики;
б) соблюдение субъектами электроэнергетики, осуществляющими эксплуатацию объектов по производству электрической энергии, функционирующих в режиме комбинированной выработки электрической и тепловой энергии, требований к безопасному ведению работ на объектах теплоснабжения, требований безопасности в сфере теплоснабжения и правил технической эксплуатации объектов теплоснабжения и теплопотребляющих установок, установленных Федеральным законом "О теплоснабжении", а также правил по охране труда применительно к объектам теплоснабжения;
в) соблюдение изготовителем, исполнителем (лицом, выполняющим функции иностранного изготовителя), продавцом требований, установленных техническими регламентами, или обязательных требований, подлежащих применению до дня вступления в силу технических регламентов в соответствии с Федеральным законом "О техническом регулировании".
4. Предметом государственного надзора в сфере теплоснабжения является:
а) соблюдение теплоснабжающими организациями и теплосетевыми организациями обязательных требований к безопасному ведению работ на объектах теплоснабжения, требований безопасности в сфере теплоснабжения, установленных Федеральным законом "О теплоснабжении", правилами технической эксплуатации объектов теплоснабжения и теплопотребляющих установок, а также правилами по охране труда применительно к объектам теплоснабжения;
б) соблюдение изготовителем, исполнителем (лицом, выполняющим функции иностранного изготовителя), продавцом требований, установленных техническими регламентами, или обязательных требований, подлежащих применению до дня вступления в силу технических регламентов в соответствии с Федеральным законом "О техническом регулировании".
5. Объектами государственного надзора являются:
деятельность юридических лиц и индивидуальных предпринимателей в сферах электроэнергетики и теплоснабжения;
продукция, машины, оборудование и (или) устройства, применяемые при осуществлении видов деятельности в сферах электроэнергетики и теплоснабжения, работы и услуги, осуществляемые на объектах электроэнергетики и теплоснабжения;
здания, сооружения объектов электроэнергетики и теплоснабжения.
При осуществлении государственного надзора проводится оценка соблюдения обязательных требований, установленных:
статьями 5, 7, 8, 12 Технического регламента Таможенного союза "О безопасности машин и оборудования" (ТР ТС 010/2011);
статьями 36 и 38 - 40 Федерального закона "Технический регламент о безопасности зданий и сооружений".
6. В отношении источников тепловой энергии, функционирующих в режиме комбинированной выработки электрической и тепловой энергии, государственный надзор осуществляется в соответствии с законодательством Российской Федерации об электроэнергетике.
7. В отношении объектов теплоснабжения, являющихся опасными производственными объектами I, II, III классов опасности, плановые контрольные (надзорные) мероприятия по соблюдению требований безопасности в сфере теплоснабжения проводятся при осуществлении государственного надзора в области промышленной безопасности.
8. Государственный надзор осуществляется посредством профилактики нарушений обязательных требований, организации и проведения контрольных (надзорных) мероприятий и принятия предусмотренных законодательством Российской Федерации мер по пресечению нарушений обязательных требований.
9. Должностными лицами, осуществляющими государственный надзор, являются:
а) руководитель Федеральной службы по экологическому, технологическому и атомному надзору;
б) заместители руководителя Федеральной службы по экологическому, технологическому и атомному надзору и руководители структурных подразделений центрального аппарата Федеральной службы по экологическому, технологическому и атомному надзору, в ведении которых находятся вопросы государственного надзора;
в) заместители руководителей структурных подразделений центрального аппарата Федеральной службы по экологическому, технологическому и атомному надзору, начальники отделов и заместители начальников отделов структурных подразделений центрального аппарата Федеральной службы по экологическому, технологическому и атомному надзору, в ведении которых находятся вопросы государственного надзора;
г) федеральные государственные гражданские служащие категории "специалисты" ведущей группы должностей в структурных подразделениях центрального аппарата Федеральной службы по экологическому, технологическому и атомному надзору, в ведении которых находятся вопросы государственного надзора;
д) федеральные государственные гражданские служащие категории "специалисты" старшей группы должностей в структурных подразделениях центрального аппарата Федеральной службы по экологическому, технологическому и атомному надзору, в ведении которых находятся вопросы государственного надзора;
е) руководители территориальных органов Федеральной службы по экологическому, технологическому и атомному надзору, в ведении которых находятся вопросы государственного надзора;
ж) заместители руководителей территориальных органов Федеральной службы по экологическому, технологическому и атомному надзору, начальники отделов и заместители начальников отделов в территориальном органе Федеральной службы по экологическому, технологическому и атомному надзору, в ведении которых находятся вопросы государственного надзора;
з) федеральные государственные гражданские служащие категории "специалисты" ведущей группы должностей в территориальных органах Федеральной службы по экологическому, технологическому и атомному надзору, в ведении которых находятся вопросы государственного надзора;
и) федеральные государственные гражданские служащие категории "специалисты" старшей группы должностей в территориальных органах Федеральной службы по экологическому, технологическому и атомному надзору, в ведении которых находятся вопросы государственного надзора.
10. При осуществлении государственного надзора проводятся следующие виды контрольных (надзорных) мероприятий:
Срок проведения выездной проверки не может превышать 10 рабочих дней.
11. В ходе выездных проверок могут совершаться следующие контрольные (надзорные) действия:
получение письменных объяснений;
инструментальное обследование;
12. В ходе документарных проверок могут совершаться следующие контрольные (надзорные) действия:
получение письменных объяснений;
13. К отношениям, связанным с осуществлением государственного надзора, применяются положения, установленные Федеральным законом "О государственном контроле (надзоре) и муниципальном контроле в Российской Федерации".
14. Должностные лица, осуществляющие государственный надзор, при проведении проверок соблюдают ограничения и выполняют обязанности, установленные Федеральным законом "О государственном контроле (надзоре) и муниципальном контроле в Российской Федерации", а также несут ответственность за неисполнение или ненадлежащее исполнение возложенных на них полномочий в соответствии с законодательством Российской Федерации.
Должностные лица, осуществляющие государственный надзор, при проведении проверок имеют право:
беспрепятственно по предъявлении служебного удостоверения и копии приказа (распоряжения) органа государственного надзора о проведении проверки посещать территории, здания, помещения, сооружения, расположенные в том числе в границах охранных зон объектов электроэнергетики, а также территории, здания, помещения, сооружения объектов теплоснабжения теплоснабжающих и теплосетевых организаций;
привлекать в установленном законодательством Российской Федерации порядке экспертов, экспертные организации к проведению мероприятий по контролю.
15. При осуществлении государственного надзора могут проводиться следующие виды профилактических мероприятий:
обобщение правоприменительной практики;
(абзац введен Постановлением Правительства РФ от 18.04.2025 N 522)
(абзац введен Постановлением Правительства РФ от 18.04.2025 N 522)
16. В случае необходимости проведения экспертной оценки технического состояния объектов электроэнергетики, оборудования и устройств при проведении органом государственного надзора контрольного (надзорного) мероприятия приостановление эксплуатации и ввод в работу указанных объектов, оборудования и устройств осуществляются с соблюдением требований Правил оперативно-диспетчерского управления в электроэнергетике, утвержденных постановлением Правительства Российской Федерации от 27 декабря 2004 г. N 854 "Об утверждении Правил оперативно-диспетчерского управления в электроэнергетике", Правил вывода объекта электроэнергетики в ремонт и из эксплуатации, утвержденных постановлением Правительства Российской Федерации от 30 января 2021 г. N 86 "Об утверждении Правил вывода объектов электроэнергетики в ремонт и из эксплуатации, а также о внесении изменений в некоторые акты Правительства Российской Федерации по вопросу совершенствования порядка вывода объектов электроэнергетики в ремонт и из эксплуатации".
17. В целях применения при осуществлении государственного надзора системы управления рисками причинения вреда (ущерба) объекты государственного надзора подлежат отнесению к одной из категорий риска:
категория значительного риска;
Отнесение объекта государственного надзора к определенной категории риска осуществляется в соответствии с критериями отнесения объектов государственного надзора к определенной категории риска согласно приложению.
18. Проведение плановых выездных или документарных проверок субъектов электроэнергетики, теплоснабжающих организаций, теплосетевых организаций и потребителей электрической энергии, соответствующие объекты государственного надзора которых отнесены к категории высокого риска, осуществляется с периодичностью не более одного раза в 2 года.
(в ред. Постановления Правительства РФ от 18.04.2025 N 522)
(см. текст в предыдущей редакции)
абзацы второй - пятый утратили силу. - Постановление Правительства РФ от 18.04.2025 N 522;
(см. текст в предыдущей редакции)
Плановые выездные или документарные проверки субъектов электроэнергетики, теплоснабжающих организаций, теплосетевых организаций и потребителей электрической энергии, соответствующие объекты государственного надзора которых отнесены к категории значительного, среднего, умеренного и низкого риска, не проводятся.
(в ред. Постановления Правительства РФ от 18.04.2025 N 522)
(см. текст в предыдущей редакции)
19. Должностными лицами, уполномоченными на принятие решений о проведении контрольных (надзорных) мероприятий в рамках государственного надзора, являются:
руководитель, заместители руководителя Федеральной службы по экологическому, технологическому и атомному надзору;
руководители, заместители руководителей территориальных органов Федеральной службы по экологическому, технологическому и атомному надзору.
20. Индивидуальный предприниматель, в отношении которого назначено (запланировано) проведение контрольного (надзорного) мероприятия, вправе представить в Федеральную службу по экологическому, технологическому и атомному надзору или ее территориальный орган информацию о невозможности присутствия при проведении контрольного (надзорного) мероприятия в случае наступления обстоятельств непреодолимой силы, препятствующих присутствию лица при проведении контрольного (надзорного) мероприятия (военные действия, катастрофа, стихийное бедствие, крупная авария, эпидемия и другие чрезвычайные обстоятельства, болезнь индивидуального предпринимателя и его близких родственников, его участие в судебном процессе или исполнении судебных решений, нахождение в отпуске), в связи с чем проведение контрольного (надзорного) мероприятия переносится органом государственного надзора на срок, необходимый для устранения указанных обстоятельств.
21. При проведении выездных и документарных проверок должностными лицами, уполномоченными на проведение проверки, для фиксации доказательств нарушений обязательных требований могут использоваться фотосъемка, аудио- и видеозапись.
Решение об использовании фотосъемки, аудио- и видеозаписи для фиксации доказательств нарушения обязательных требований при проведении выездных и документарных проверок принимается должностными лицами, уполномоченными на проведение проверки, самостоятельно.
При осуществлении видеозаписи на ней фиксируются дата, время и место ее проведения, а также характеристика выявленных нарушений.
Фотографии, аудио- и видеозаписи, используемые для фиксации доказательств, должны позволять однозначно идентифицировать объект фиксации, отражающий нарушение обязательных требований. Фотографии, аудио- и видеозаписи, используемые для доказательств нарушений обязательных требований, прикладываются к акту контрольного (надзорного) мероприятия.
22. Отнесение объектов государственного надзора к определенной категории риска осуществляется:
а) по решению руководителя Федеральной службы по экологическому, технологическому и атомному надзору (его заместителя) - для категорий высокого и значительного риска;
б) по решению руководителей территориальных органов Федеральной службы по экологическому, технологическому и атомному надзору по месту нахождения объектов электроэнергетики, объектов теплоснабжения и энергопринимающих установок, используемых (эксплуатируемых) субъектами электроэнергетики, теплоснабжающими организациями, теплосетевыми организациями и потребителями электрической энергии, - для категорий среднего, умеренного и низкого риска.
23. При наличии объектов электроэнергетики, объектов теплоснабжения и энергопринимающих установок, используемых (эксплуатируемых) субъектами электроэнергетики, теплоснабжающими организациями, теплосетевыми организациями и потребителями электрической энергии на территории двух и более субъектов Российской Федерации, отнесение деятельности субъектов электроэнергетики, теплоснабжающих организаций, теплосетевых организаций и потребителей электрической энергии к определенной категории риска осуществляется по решению руководителя органа государственного надзора (его заместителя).
24. В случае пересмотра решения об отнесении объекта государственного надзора к одной из категорий риска решение об изменении категории риска на более высокую категорию принимается должностным лицом, уполномоченным на принятие решения об отнесении объекта государственного надзора к соответствующей категории риска.
Решение об изменении категории риска на более низкую категорию принимается должностным лицом, которым ранее было принято решение об отнесении к категории риска, с направлением указанного решения, а также документов и сведений, на основании которых оно было принято, должностному лицу, уполномоченному на принятие решения об отнесении к соответствующей категории риска.
При отсутствии решения об отнесении объекта государственного надзора к определенной категории риска объект государственного надзора считается отнесенным к категории низкого риска.
25. В целях учета объектов государственного надзора орган государственного надзора ведет перечни субъектов электроэнергетики, теплоснабжающих организаций, теплосетевых организаций и потребителей электрической энергии, объектам государственного надзора которых присвоены категории риска. Включение в указанные перечни осуществляется на основании решений уполномоченных должностных лиц об отнесении объектов государственного надзора субъектов электроэнергетики, теплоснабжающих организаций, теплосетевых организаций и потребителей электрической энергии к соответствующим категориям риска. На официальном сайте центрального аппарата органа государственного надзора в информационно-телекоммуникационной сети "Интернет" (далее - сеть "Интернет") размещается информация о субъектах электроэнергетики, теплоснабжающих организациях, теплосетевых организациях и потребителях электрической энергии, объекты государственного надзора которых отнесены к категории высокого и значительного риска, на сайтах территориальных органов государственного надзора в сети "Интернет" размещается информация о субъектах электроэнергетики, теплоснабжающих организациях, теплосетевых организациях и потребителях электрической энергии, объекты государственного надзора которых отнесены к категории среднего и умеренного риска.
26. Субъекты электроэнергетики, теплоснабжающие организации, теплосетевые организации или потребители электрической энергии вправе подать, в том числе с использованием федеральной государственной информационной системы "Единый портал государственных и муниципальных услуг (функций)", в орган государственного надзора по месту осуществления деятельности субъекта электроэнергетики, теплоснабжающей организации, теплосетевой организации или потребителя электрической энергии заявление об изменении присвоенной ранее их объектам государственного надзора категории риска.
(в ред. Постановления Правительства РФ от 18.04.2025 N 522)
(см. текст в предыдущей редакции)
27. Информирование по вопросу осуществления государственного надзора осуществляется в порядке, установленном Федеральным законом "О государственном контроле (надзоре) и муниципальном контроле в Российской Федерации".
28. Доклад по итогам обобщения правоприменительной практики по осуществлению государственного надзора готовится один раз в год и размещается на официальном сайте Федеральной службы по экологическому, технологическому и атомному надзору в сети "Интернет" в срок до 1 апреля года, следующего за отчетным.
29. При наличии сведений о готовящихся нарушениях обязательных требований, а также о признаках нарушений обязательных требований Федеральная служба по экологическому, технологическому и атомному надзору (ее территориальный орган) объявляет юридическому лицу, индивидуальному предпринимателю, эксплуатирующим объекты электроэнергетики, объекты теплоснабжения и энергопринимающие установки, предостережение о недопустимости нарушения обязательных требований с предложением принять меры по обеспечению соблюдения обязательных требований.
30. Юридические лица, индивидуальные предприниматели по результатам рассмотрения предостережения могут подать в Федеральную службу по экологическому, технологическому и атомному надзору (ее территориальный орган) возражения, в которых указываются:
а) наименование юридического лица, фамилия, имя, отчество (при наличии) индивидуального предпринимателя;
б) идентификационный номер налогоплательщика - юридического лица, индивидуального предпринимателя;
в) дата и номер предостережения, направленного в адрес юридического лица, индивидуального предпринимателя;
г) обоснование позиции в отношении указанных в предостережении действий (бездействия) юридического лица, индивидуального предпринимателя, которые приводят или могут привести к нарушению обязательных требований.
31. Возражения направляются не позднее 3 рабочих дней с момента получения предостережения юридическим лицом, индивидуальным предпринимателем в бумажном виде почтовым отправлением в Федеральную службу по экологическому, технологическому и атомному надзору (ее территориальный орган) либо в виде электронного документа, подписанного в соответствии с требованиями статьи 21 Федерального закона "О государственном контроле (надзоре) и муниципальном контроле в Российской Федерации", на указанный в предостережении адрес электронной почты либо иными указанными в предостережении способами.
32. Орган государственного надзора рассматривает возражения, по итогам рассмотрения направляет юридическому лицу, индивидуальному предпринимателю в течение 20 рабочих дней со дня получения возражений ответ.
32(1). Должностные лица территориальных органов Федеральной службы по экологическому, технологическому и атомному надзору по обращениям субъектов электроэнергетики, теплоснабжающих организаций, теплосетевых организаций и потребителей электрической энергии осуществляют консультирование (дают разъяснения по вопросам, связанным с организацией и осуществлением государственного надзора).
(п. 32(1) введен Постановлением Правительства РФ от 18.04.2025 N 522)
32(2). Консультирование может осуществляться должностным лицом территориального органа Федеральной службы по экологическому, технологическому и атомному надзору по телефону, посредством видео-конференц-связи, на личном приеме либо в ходе проведения контрольного (надзорного) мероприятия.
(п. 32(2) введен Постановлением Правительства РФ от 18.04.2025 N 522)
32(3). Консультирование по телефону, посредством видео-конференц-связи осуществляется не реже 1 раза в месяц в соответствии с планом-графиком, утверждаемым руководителем территориального органа Федеральной службы по экологическому, технологическому и атомному надзору и размещаемым на его официальном сайте в сети "Интернет".
(п. 32(3) введен Постановлением Правительства РФ от 18.04.2025 N 522)
32(4). План-график должен содержать:
дату, время проведения консультирования;
номер (номера) телефона (телефонов) и (или) указание на специальный сервис видео-конференц-связи;
фамилию, имя, отчество (при наличии) должностного лица, проводящего консультирование.
(п. 32(4) введен Постановлением Правительства РФ от 18.04.2025 N 522)
32(5). Письменное консультирование осуществляется в порядке, установленном Федеральным законом "О порядке рассмотрения обращений граждан Российской Федерации".
(п. 32(5) введен Постановлением Правительства РФ от 18.04.2025 N 522)
32(6). Консультирование, включая письменное консультирование, осуществляется по следующим вопросам:
разъяснение положений нормативных правовых актов, содержащих обязательные требования, оценка соблюдения которых осуществляется в рамках государственного надзора;
разъяснение положений нормативных правовых актов, регламентирующих порядок осуществления государственного надзора;
порядок обжалования действий или бездействия должностных лиц Федеральной службы по экологическому, технологическому и атомному надзору.
(п. 32(6) введен Постановлением Правительства РФ от 18.04.2025 N 522)
32(7). При поступлении 10 однотипных обращений по вопросам разъяснения нормативных правовых актов, указанным в пункте 32(6) настоящего Положения, в рамках организации и проведения консультирования на официальном сайте территориального органа Федеральной службы по экологическому, технологическому и атомному надзору в сети "Интернет" размещается соответствующее письменное разъяснение.
(п. 32(7) введен Постановлением Правительства РФ от 18.04.2025 N 522)
32(8). Профилактический визит по инициативе субъектов электроэнергетики, теплоснабжающих организаций, теплосетевых организаций и потребителей электрической энергии может быть проведен по их заявлению, если они относятся к субъектам малого предпринимательства, являются социально ориентированной некоммерческой организацией либо государственным или муниципальным учреждением.
Такой профилактический визит проводится в порядке, установленном статьей 52.2 Федерального закона "О государственном контроле (надзоре) и муниципальном контроле в Российской Федерации".
(п. 32(8) введен Постановлением Правительства РФ от 18.04.2025 N 522)
33. Действия (бездействие) должностных лиц органа государственного надзора, решения, принятые ими в ходе осуществления государственного надзора, могут быть обжалованы в досудебном порядке в соответствии с положениями Федерального закона "О государственном контроле (надзоре) и муниципальном контроле в Российской Федерации".
34. Жалоба на решения, действия (бездействие) должностных лиц территориального органа Федеральной службы по экологическому, технологическому и атомному надзору рассматривается руководителем, заместителем руководителя этого территориального органа.
35. Жалоба на решения, действия (бездействие) заместителя руководителя территориального органа Федеральной службы по экологическому, технологическому и атомному надзору рассматривается руководителем этого территориального органа.
36. Жалоба на решения, действия (бездействие) руководителя территориального органа Федеральной службы по экологическому, технологическому и атомному надзору рассматривается руководителем Федеральной службы по экологическому, технологическому и атомному надзору или уполномоченным заместителем руководителя.
37. Жалоба на решения, действия (бездействие) должностных лиц центрального аппарата Федеральной службы по экологическому, технологическому и атомному надзору рассматривается руководителем Федеральной службы по экологическому, технологическому и атомному надзору.
КонсультантПлюс: примечание.
П. 38 вступает в силу с 01.03.2022.
38. Основа системы оценки результативности и эффективности осуществления государственного надзора определяется статьей 30 Федерального закона "О государственном контроле (надзоре) и муниципальном контроле в Российской Федерации".
КонсультантПлюс: примечание.
П. 39 вступает в силу с 01.03.2022.
39. Ключевыми показателями эффективности осуществления государственного надзора являются:
а) снижение количества аварий, расследуемых органом государственного надзора, произошедших на используемых (эксплуатируемых) объектах электроэнергетики, объектах теплоснабжения и энергопринимающих установках;
б) снижение количества случаев со смертельным исходом в результате аварий, произошедших на используемых (эксплуатируемых) объектах электроэнергетики, объектах теплоснабжения и энергопринимающих установках.
КонсультантПлюс: примечание.
П. 40 вступает в силу с 01.03.2022.
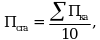
40. Ключевой показатель эффективности государственного надзора, указанный в подпункте "а" пункта 39 настоящего Положения (ПА) (в процентах), определяется по формуле:
П1 - количество аварий, произошедших на используемых (эксплуатируемых) объектах электроэнергетики, объектах теплоснабжения и энергопринимающих установках, поднадзорных Федеральной службе по экологическому, технологическому и атомному надзору, за отчетный год;
Псга - среднегодовое количество аварий, произошедших на используемых (эксплуатируемых) объектах электроэнергетики, объектах теплоснабжения и энергопринимающих установках.
КонсультантПлюс: примечание.
П. 41 вступает в силу с 01.03.2022.
41. Среднегодовое количество аварий, произошедших на используемых (эксплуатируемых) объектах электроэнергетики, объектах теплоснабжения и энергопринимающих установках (Псга), определяется по формуле:
где Пка - общее количество аварий, произошедших на используемых (эксплуатируемых) объектах электроэнергетики, объектах теплоснабжения и энергопринимающих установках за 10-летний период, предшествующий отчетному году.
КонсультантПлюс: примечание.
П. 42 вступает в силу с 01.03.2022.
42. Сбор данных о количестве аварий, произошедших на используемых (эксплуатируемых) объектах электроэнергетики, объектах теплоснабжения и энергопринимающих установках, осуществляется Федеральной службой по экологическому, технологическому и атомному надзору на основании материалов технического расследования причин аварий, произошедших на указанных объектах.
КонсультантПлюс: примечание.
П. 43 вступает в силу с 01.03.2022.
43. Значение ключевого показателя эффективности государственного надзора, указанного в подпункте "а" пункта 39 настоящего Положения, превышающее нулевое значение, свидетельствует о положительной динамике снижения количества аварий, произошедших на опасных производственных объектах, за отчетный год.
КонсультантПлюс: примечание.
П. 44 вступает в силу с 01.03.2022.
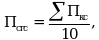
44. Ключевой показатель эффективности государственного надзора, указанный в подпункте "б" пункта 39 настоящего Положения (Псм) (в процентах), определяется по формуле:
П2 - количество случаев со смертельным исходом в результате аварий, произошедших на используемых (эксплуатируемых) объектах электроэнергетики, объектах теплоснабжения и энергопринимающих установках, за отчетный год;
Псгс - среднегодовое количество случаев со смертельным исходом в результате аварий, произошедших на используемых (эксплуатируемых) объектах электроэнергетики, объектах теплоснабжения и энергопринимающих установках.
КонсультантПлюс: примечание.
П. 45 вступает в силу с 01.03.2022.
45. Среднегодовое количество случаев со смертельным исходом в результате аварий, произошедших на используемых (эксплуатируемых) объектах электроэнергетики, объектах теплоснабжения и энергопринимающих установках (Псгс), определяется по формуле:
где
- общее количество случаев со смертельным исходом в результате аварий, произошедших на используемых (эксплуатируемых) объектах электроэнергетики, объектах теплоснабжения и энергопринимающих установках за 10-летний период, предшествующий отчетному году.
КонсультантПлюс: примечание.
П. 46 вступает в силу с 01.03.2022.
46. Сбор данных о количестве случаев со смертельным исходом в результате аварий, произошедших на используемых (эксплуатируемых) объектах электроэнергетики, объектах теплоснабжения и энергопринимающих установках, осуществляется Федеральной службой по экологическому, технологическому и атомному надзору на основании актов о несчастных случаях на производстве, оформленных в соответствии с трудовым законодательством.
КонсультантПлюс: примечание.
П. 47 вступает в силу с 01.03.2022.
47. Значение ключевого показателя эффективности государственного надзора, указанного в подпункте "б" пункта 39 настоящего Положения, превышающее нулевое значение, свидетельствует о положительной динамике снижения количества случаев со смертельным исходом в результате аварий, произошедших на опасных производственных объектах, за отчетный год.
КонсультантПлюс: примечание.
П. 48 вступает в силу с 01.03.2022.
48. Анализ ключевых показателей эффективности государственного надзора осуществляется в докладе о государственном надзоре, подготавливаемом по итогам календарного года.
- Гражданский кодекс (ГК РФ)
- Жилищный кодекс (ЖК РФ)
- Налоговый кодекс (НК РФ)
- Трудовой кодекс (ТК РФ)
- Уголовный кодекс (УК РФ)
- Бюджетный кодекс (БК РФ)
- Арбитражный процессуальный кодекс
- Конституция РФ
- Земельный кодекс (ЗК РФ)
- Лесной кодекс (ЛК РФ)
- Семейный кодекс (СК РФ)
- Уголовно-исполнительный кодекс
- Уголовно-процессуальный кодекс
- Производственный календарь на 2025 год
- МРОТ 2026
- ФЗ «О банкротстве»
- О защите прав потребителей (ЗОЗПП)
- Об исполнительном производстве
- О персональных данных
- О налогах на имущество физических лиц
- О средствах массовой информации
- Производственный календарь на 2026 год
- Федеральный закон "О полиции" N 3-ФЗ
- Расходы организации ПБУ 10/99
- Минимальный размер оплаты труда (МРОТ)
- Календарь бухгалтера на 2025 год
- Частичная мобилизация: обзор новостей
- Постановление Правительства РФ N 1875



