Приложение N 15

к государственной программе

Российской Федерации

"Развитие туризма"

ПРАВИЛА
ПРЕДОСТАВЛЕНИЯ ИНОГО МЕЖБЮДЖЕТНОГО ТРАНСФЕРТА
ИЗ ФЕДЕРАЛЬНОГО БЮДЖЕТА БЮДЖЕТУ Г. САНКТ-ПЕТЕРБУРГА
В ЦЕЛЯХ СОФИНАНСИРОВАНИЯ В ПОЛНОМ ОБЪЕМЕ РАСХОДНЫХ
ОБЯЗАТЕЛЬСТВ Г. САНКТ-ПЕТЕРБУРГА ПО ФИНАНСОВОМУ
ОБЕСПЕЧЕНИЮ ДЕЯТЕЛЬНОСТИ МЕЖДУНАРОДНОГО
ЦЕНТРА КОМПЕТЕНЦИЙ В СФЕРЕ ТУРИЗМА
И ГОСТЕПРИИМСТВА

Список изменяющих документов

(введены Постановлением Правительства РФ от 29.05.2023 N 846)

1. Настоящие Правила устанавливают цели, условия и порядок предоставления иного межбюджетного трансферта из федерального бюджета бюджету г. Санкт-Петербурга в целях софинансирования в полном объеме расходных обязательств г. Санкт-Петербурга по финансовому обеспечению деятельности международного центра компетенций в сфере туризма и гостеприимства в целях реализации федерального проекта "Совершенствование управления в сфере туризма" в рамках национального проекта "Туризм и индустрия гостеприимства" (далее соответственно - центр, иной межбюджетный трансферт).

2. Иной межбюджетный трансферт предоставляется в пределах лимитов бюджетных обязательств, доведенных в установленном порядке до Министерства экономического развития Российской Федерации как получателя средств федерального бюджета на цели, указанные в пункте 1 настоящих Правил.

3. Иной межбюджетный трансферт предоставляется при выполнении следующих условий:

а) наличие нормативного правового акта г. Санкт-Петербурга, предусматривающего расходные обязательства г. Санкт-Петербурга на обеспечение деятельности центра, в целях софинансирования которых предоставляется иной межбюджетный трансферт;

б) заключение соглашения о предоставлении иных межбюджетных трансфертов из федерального бюджета бюджету г. Санкт-Петербурга (далее - соглашение).

4. Иной межбюджетный трансферт предоставляется бюджету г. Санкт-Петербурга на основании соглашения, подготавливаемого (формируемого) и заключаемого Министерством экономического развития Российской Федерации и Правительством Санкт-Петербурга с использованием государственной интегрированной информационной системы управления общественными финансами "Электронный бюджет" в соответствии с типовой формой соглашения, утвержденной Министерством финансов Российской Федерации.

5. Перечисление иного межбюджетного трансферта осуществляется на единый счет бюджета г. Санкт-Петербурга, открытый Комитету финансов Санкт-Петербурга в территориальном органе Федерального казначейства.

6. Исполнительный орган г. Санкт-Петербурга, на который возлагаются функции и ответственность за исполнение соглашения, представляет в Министерство экономического развития Российской Федерации отчетность об исполнении условий предоставления иного межбюджетного трансферта в сроки, предусмотренные соглашением.

7. Контроль за соблюдением условий предоставления иного межбюджетного трансферта осуществляется Министерством экономического развития Российской Федерации и уполномоченным органом государственного финансового контроля на основании отчетности об исполнении условий предоставления иного межбюджетного трансферта, представленной уполномоченным органом в соответствии с пунктом 6 настоящих Правил.

8. В случае если г. Санкт-Петербургом по состоянию на 31 декабря года предоставления иного межбюджетного трансферта допущены нарушения обязательств по достижению значения результата предоставления иного межбюджетного трансферта, предусмотренных соглашением, и до первой даты представления отчетности о достижении результата предоставления иного межбюджетного трансферта в году, следующем за годом его предоставления, указанные нарушения не устранены, объем средств, подлежащих возврату из бюджета г. Санкт-Петербурга в федеральный бюджет до 1 июня года, следующего за годом предоставления иного межбюджетного трансферта (Vвозврата), определяется по формуле:

Рисунок 15

где:

Vиные межбюджетные трансферты - размер иного межбюджетного трансферта, предоставленного бюджету г. Санкт-Петербурга;

k - коэффициент возврата иного межбюджетного трансферта, который составляет 0,01;

m - количество показателей результативности использования иного межбюджетного трансферта, по которым индекс, отражающий уровень недостижения i-го показателя результативности использования иного межбюджетного трансферта, имеет положительное значение;

n - общее количество показателей результативности использования иного межбюджетного трансферта.

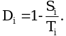
9. Индекс, отражающий уровень недостижения i-го показателя результативности использования иного межбюджетного трансферта (Di), для показателей результативности использования иного межбюджетного трансферта, по которым большее значение фактически достигнутого значения отражает большую эффективность использования иного межбюджетного трансферта, определяется по формуле:

Рисунок 16

где:

Ti - фактически достигнутое значение i-го показателя результативности использования иного межбюджетного трансферта на отчетную дату;

Si - плановое значение i-го показателя результативности использования иного межбюджетного трансферта, установленное соглашением.

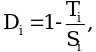
10. Индекс, отражающий уровень недостижения i-го показателя результативности использования иного межбюджетного трансферта (Di), для показателей результативности использования иного межбюджетного трансферта, по которым большее значение фактически достигнутого значения отражает меньшую эффективность использования иного межбюджетного трансферта, определяется по формуле:

Рисунок 17

11. Ответственность за достоверность представляемых в Министерство экономического развития Российской Федерации сведений и соблюдение условий, предусмотренных настоящими Правилами и соглашением, возлагается на Правительство Санкт-Петербурга.

12. Оценка эффективности предоставления иного межбюджетного трансферта осуществляется Министерством экономического развития Российской Федерации по итогам финансового года путем сравнения планового значения результата предоставления иного межбюджетного трансферта, установленного соглашением, и фактически достигнутого значения результата предоставления иного межбюджетного трансферта, указанного в пункте 13 настоящих Правил.

13. Результатом предоставления иного межбюджетного трансферта является количество человек, успешно завершивших обучение в центре по программам профессиональной переподготовки и повышения квалификации для отрасли туризма.

14. В случае нарушения целей, установленных при предоставлении иного межбюджетного трансферта, применяются бюджетные меры принуждения, предусмотренные бюджетным законодательством Российской Федерации.

15. Основанием для освобождения г. Санкт-Петербурга от применения мер ответственности, предусмотренных настоящими Правилами, является документально подтвержденное наступление обстоятельств непреодолимой силы, препятствующих исполнению соответствующих обязательств. Документально подтвержденными обстоятельствами непреодолимой силы, препятствующими исполнению соответствующих обязательств, являются:

а) установление регионального (межмуниципального) и (или) местного уровня реагирования на чрезвычайную ситуацию, подтвержденного правовым актом органа государственной власти субъекта Российской Федерации и (или) органа местного самоуправления;

б) установление карантина и (или) иных ограничений, направленных на предотвращение распространения и ликвидацию очагов заразных и иных болезней животных, подтвержденных правовым актом органа государственной власти субъекта Российской Федерации;

в) аномальные погодные условия, подтвержденные справкой территориального органа федерального органа исполнительной власти, осуществляющего функции по оказанию государственных услуг в области гидрометеорологии и смежных с ней областях;

г) наличие вступившего в законную силу в году предоставления иного межбюджетного трансферта решения арбитражного суда о признании несостоятельной (банкротом) организации, деятельность которой оказывала влияние на исполнение обязательств, предусмотренных соглашением.

Приложение N 14. Правила предоставления иного межбюджетного трансферта из федерального бюджета бюджету Республики Татарстан в целях софинансирования в полном объеме расходных обязательств Республики Татарстан по финансовому обеспечению создания центра развития кадрового потенциала туристской отрасли и обучения по программам профессиональной переподготовки Приложение N 16. Правила предоставления в 2023 году иных межбюджетных трансфертов из федерального бюджета бюджетам Республики Крым и г. Севастополя, источником финансового обеспечения которых являются бюджетные ассигнования резервного фонда Правительства Российской Федерации, в целях софинансирования расходных обязательств Республики Крым и г. Севастополя, возникающих при государственной поддержке юридических лиц и индивидуальных предпринимателей туристской индустрии при осуществлении ими деятельности в условиях геополитического и санкционного давления