постановлением Правительства
Российской Федерации
от 24 мая 2024 г. N 671
1. В Правилах предоставления коммунальных услуг собственникам и пользователям помещений в многоквартирных домах и жилых домов, утвержденных постановлением Правительства Российской Федерации от 6 мая 2011 г. N 354 "О предоставлении коммунальных услуг собственникам и пользователям помещений в многоквартирных домах и жилых домов" (Собрание законодательства Российской Федерации, 2011, N 22, ст. 3168; 2017, N 11, ст. 1557; 2018, N 40, ст. 6122, N 52, ст. 8297; 2019, N 30, ст. 4300; 2022, N 48, ст. 8463; 2023, N 49, ст. 8758):
а) пункт 148(1) после абзаца третьего дополнить абзацем следующего содержания:
"Объем коммунальной услуги по обращению с твердыми коммунальными отходами определяется как количество образующихся у потребителя твердых коммунальных отходов в показателях объема или массы. Сопоставление массы и объема твердых коммунальных отходов осуществляется в соответствии с пунктом 5 Правил коммерческого учета объема и (или) массы твердых коммунальных отходов, утвержденных постановлением Правительства Российской Федерации от 24 мая 2024 г. N 671 "О коммерческом учете объема и (или) массы твердых коммунальных отходов".";
б) в абзаце первом пункта 148(13) слова "утверждаемых при определении нормативов накопления твердых коммунальных отходов исполнительными органами субъектов Российской Федерации либо органами местного самоуправления поселений, муниципальных округов, городских округов (в случае наделения их соответствующими полномочиями законом субъекта Российской Федерации) для данной категории объекта и информацию в графическом виде о размещении мест (площадок) накопления твердых коммунальных отходов и подъездных путей" заменить словами "используемых при определении нормативов накопления твердых коммунальных отходов";
в) в предложении втором абзаца первого пункта 148(14), абзаце первом пункта 148(15), пункте 148(16) и подпункте "г" пункта 148(17) слова "утверждаемых при определении нормативов накопления твердых коммунальных отходов исполнительными органами субъектов Российской Федерации либо органами местного самоуправления поселений, муниципальных округов, городских округов (в случае наделения их соответствующими полномочиями законом субъекта Российской Федерации) для данной категории объекта" заменить словами "используемых при определении нормативов накопления твердых коммунальных отходов";
г) абзац третий пункта 148(30) изложить в следующей редакции:
"В случаях, предусмотренных пунктами 7 и 9 Правил коммерческого учета объема и (или) массы твердых коммунальных отходов, утвержденных постановлением Правительства Российской Федерации от 24 мая 2024 г. N 671 "О коммерческом учете объема и (или) массы твердых коммунальных отходов", размер платы за коммунальную услугу по обращению с твердыми коммунальными отходами, предоставленную потребителю в жилом помещении, определяется в соответствии с формулами 9(3а) и 9(3б) приложения N 2 к настоящим Правилам.";
д) абзац второй пункта 148(38) изложить в следующей редакции:
"В случаях, предусмотренных пунктами 7 и 9 Правил коммерческого учета объема и (или) массы твердых коммунальных отходов, утвержденных постановлением Правительства Российской Федерации от 24 мая 2024 г. N 671 "О коммерческом учете объема и (или) массы твердых коммунальных отходов", размер платы за коммунальную услугу по обращению с твердыми коммунальными отходами, предоставленную потребителю в нежилом помещении в многоквартирном доме, определяется в соответствии с формулами 9(3а) и 9(3б) приложения N 2 к настоящим Правилам.";
е) в пункте 17 приложения N 1 к указанным Правилам слова ": в холодное время года (при среднесуточной температуре +5 °C и ниже) не реже одного раза в трое суток, в теплое время (при среднесуточной температуре свыше +5 °C) не реже 1 раза в сутки (ежедневный вывоз)" заменить словами "в соответствии с требованиями законодательства в области обеспечения санитарно-эпидемиологического благополучия населения";
ж) в приложении N 2 к указанным Правилам:
пункт 9(3) изложить в следующей редакции:
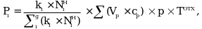
"9(3). Размер платы за коммунальную услугу по обращению с твердыми коммунальными отходами в i-м жилом и нежилом помещении определяется на основании количества и объема контейнеров, бункеров для накопления твердых коммунальных отходов, установленных в местах (площадках) накопления твердых коммунальных отходов, с учетом графика вывоза твердых коммунальных отходов согласно пунктам 148(30) и 148(38) Правил по следующим формулам:
а) в показателях объема - по формуле 9(3а):
ki - количество расчетных единиц в i-м помещении в многоквартирном доме (жилом доме), используемых при определении нормативов накопления твердых коммунальных отходов для соответствующей категории потребителей, к которой относится i-е помещение в многоквартирном доме (жилой дом);
- норматив накопления твердых коммунальных отходов для соответствующей категории потребителей, к которой относится i-е помещение в многоквартирном доме (жилой дом);
g - количество помещений в многоквартирных домах (жилых домов), потребители которых складируют твердые коммунальные отходы в месте (площадке) накопления твердых коммунальных отходов;
Vp - объем p-го контейнера, бункера, установленного в месте (площадке) накопления твердых коммунальных отходов;
cp - количество вывозов p-го контейнера, бункера с места (площадки) накопления твердых коммунальных отходов за расчетный период;
TОТХ - цена на коммунальную услугу по обращению с твердыми коммунальными отходами, определенная в пределах утвержденного в установленном порядке единого тарифа на услугу регионального оператора по обращению с твердыми коммунальными отходами;
б) в показателях массы - по формуле 9(3б):
где p - средняя плотность твердых коммунальных отходов, определенная в соответствии с пунктом 5 Правил коммерческого учета объема и (или) массы твердых коммунальных отходов, утвержденных постановлением Правительства Российской Федерации от 24 мая 2024 г. N 671 "О коммерческом учете объема и (или) массы твердых коммунальных отходов".";
пункт 9(4) признать утратившим силу;
в пункте 9(5):
в абзаце четвертом слова "установленных исполнительным органом субъекта Российской Федерации для данной категории объектов в соответствии с Правилами определения нормативов накопления твердых коммунальных отходов, утвержденными постановлением Правительства Российской Федерации от 4 апреля 2016 г. N 269 "Об определении нормативов накопления твердых коммунальных отходов" заменить словами "используемых при определении нормативов накопления твердых коммунальных отходов";
в абзаце пятом слова "4 апреля 2016 г. N 269 "Об определении нормативов накопления твердых коммунальных отходов" заменить словами "26 августа 2023 г. N 1390 "О порядке определения нормативов накопления твердых коммунальных отходов, внесении изменений в Правила направления субъектам Российской Федерации и рассмотрения ими рекомендаций российского экологического оператора при утверждении или корректировке региональной программы в области обращения с отходами, в том числе с твердыми коммунальными отходами, а также при установлении или корректировке нормативов накопления твердых коммунальных отходов и признании утратившими силу некоторых актов Правительства Российской Федерации";
пункт 9(6) признать утратившим силу.
2. В пункте 34 Правил определения нормативов накопления твердых коммунальных отходов, утвержденных постановлением Правительства Российской Федерации от 26 августа 2023 г. N 1390 "О порядке определения нормативов накопления твердых коммунальных отходов, внесении изменений в Правила направления субъектам Российской Федерации и рассмотрения ими рекомендаций российского экологического оператора при утверждении или корректировке региональной программы в области обращения с отходами, в том числе с твердыми коммунальными отходами, а также при установлении или корректировке нормативов накопления твердых коммунальных отходов и признании утратившими силу некоторых актов Правительства Российской Федерации" (Собрание законодательства Российской Федерации, 2023, N 36, ст. 6714), слова "от 3 июня 2016 г. N 505 "Об утверждении Правил коммерческого учета объема и (или) массы твердых коммунальных отходов" заменить словами "от 24 мая 2024 г. N 671 "О коммерческом учете объема и (или) массы твердых коммунальных отходов".
- Гражданский кодекс (ГК РФ)
- Жилищный кодекс (ЖК РФ)
- Налоговый кодекс (НК РФ)
- Трудовой кодекс (ТК РФ)
- Уголовный кодекс (УК РФ)
- Бюджетный кодекс (БК РФ)
- Арбитражный процессуальный кодекс
- Конституция РФ
- Земельный кодекс (ЗК РФ)
- Лесной кодекс (ЛК РФ)
- Семейный кодекс (СК РФ)
- Уголовно-исполнительный кодекс
- Уголовно-процессуальный кодекс
- Производственный календарь на 2025 год
- МРОТ 2025
- ФЗ «О банкротстве»
- О защите прав потребителей (ЗОЗПП)
- Об исполнительном производстве
- О персональных данных
- О налогах на имущество физических лиц
- О средствах массовой информации
- Производственный календарь на 2026 год
- Федеральный закон "О полиции" N 3-ФЗ
- Расходы организации ПБУ 10/99
- Минимальный размер оплаты труда (МРОТ)
- Календарь бухгалтера на 2025 год
- Частичная мобилизация: обзор новостей
- Постановление Правительства РФ N 1875

