II. Коммерческий учет объема и (или) массы твердых коммунальных отходов
6. Коммерческий учет объема и (или) массы твердых коммунальных отходов осуществляется:
нормативов накопления твердых коммунальных отходов в показателях объема и (или) массы и количества расчетных единиц, используемых при определении нормативов накопления твердых коммунальных отходов;
количества и объема контейнеров, бункеров для накопления твердых коммунальных отходов, установленных в местах (площадках) накопления твердых коммунальных отходов, в которых осуществляется складирование твердых коммунальных отходов, в показателях объема и (или) массы с учетом графика вывоза, а также с учетом средней плотности твердых коммунальных отходов, определенной в соответствии с пунктом 5 настоящих Правил (в случае, если коммерческий учет осуществляется в показателях массы);
б) исходя из массы твердых коммунальных отходов, определенной с использованием средств измерения.
7. В случае если органом государственной власти субъекта Российской Федерации в соответствии с пунктом 1.1 статьи 24.10 Федерального закона "Об отходах производства и потребления" определен способ расчета объема и (или) массы твердых коммунальных отходов и (или) утвержден порядок выбора указанного способа, в целях осуществления расчетов с потребителями коммерческий учет объема и (или) массы твердых коммунальных отходов осуществляется в соответствии с указанным способом и (или) порядком выбора указанного способа.
В иных случаях в целях осуществления расчетов с потребителями коммерческий учет объема и (или) массы твердых коммунальных отходов осуществляется в соответствии с пунктами 8 - 12 настоящих Правил.
8. В целях осуществления расчетов с потребителями коммерческий учет объема и (или) массы твердых коммунальных отходов осуществляется в соответствии с абзацем вторым подпункта "а" пункта 6 настоящих Правил, за исключением случаев, указанных в пунктах 9 - 12 настоящих Правил.
Расчет размера платы за коммунальную услугу по обращению с твердыми коммунальными отходами, предоставленную собственникам и пользователям помещений в многоквартирных домах и жилых домов, осуществляется в соответствии с Правилами предоставления коммунальных услуг собственникам и пользователям помещений в многоквартирных домах и жилых домов, утвержденными постановлением Правительства Российской Федерации от 6 мая 2011 г. N 354 "О предоставлении коммунальных услуг собственникам и пользователям помещений в многоквартирных домах и жилых домов".
9. Коммерческий учет объема и (или) массы твердых коммунальных отходов осуществляется расчетным путем в соответствии с абзацем третьим подпункта "а" пункта 6 настоящих Правил в отношении твердых коммунальных отходов, образуемых потребителями в многоквартирном доме и жилом доме и складируемых в контейнеры, расположенные в мусороприемных камерах (при наличии соответствующей внутридомовой инженерной системы), и (или) в контейнеры, бункеры, расположенные на контейнерной площадке, для которой такой многоквартирный дом, жилой дом согласно реестру мест (площадок) накопления твердых коммунальных отходов является единственным источником образования твердых коммунальных отходов, при условии заключения в письменной форме договора на оказание услуг по обращению с твердыми коммунальными отходами.
10. Коммерческий учет объема и (или) массы твердых коммунальных отходов осуществляется расчетным путем в соответствии с абзацем третьим подпункта "а" пункта 6 настоящих Правил в отношении твердых коммунальных отходов, образуемых потребителями на территории ведения гражданами садоводства или огородничества для собственных нужд и складируемых в контейнеры, бункеры, расположенные на контейнерной площадке, на которую согласно реестру мест (площадок) накопления твердых коммунальных отходов складируются твердые коммунальные отходы, образующиеся только у данных потребителей, при условии заключения в письменной форме договора на оказание услуг по обращению с твердыми коммунальными отходами с созданным на такой территории садоводческим некоммерческим товариществом и (или) огородническим некоммерческим товариществом.
11. Коммерческий учет объема и (или) массы твердых коммунальных отходов осуществляется расчетным путем в соответствии с абзацем третьим подпункта "а" пункта 6 настоящих Правил в отношении твердых коммунальных отходов, образуемых потребителями в зданиях, строениях, сооружениях (за исключением многоквартирных домов и жилых домов), нежилых помещениях (за исключением нежилых помещений в многоквартирных домах) и на земельном участке и складируемых в контейнеры, бункеры, расположенные на контейнерной площадке, на которую согласно реестру мест (площадок) накопления твердых коммунальных отходов складируются твердые коммунальные отходы, образующиеся у одного потребителя, на основании заявления потребителя.
12. Коммерческий учет объема и (или) массы твердых коммунальных отходов осуществляется расчетным путем в соответствии с абзацем третьим подпункта "а" пункта 6 настоящих Правил по соглашению между региональным оператором и потребителями, отнесенными к различным категориям, при условии согласия всех таких потребителей, складирующих твердые коммунальные отходы в месте (площадке) накопления твердых коммунальных отходов, выраженного в письменной форме, а также отражения в реестре мест (площадок) накопления твердых коммунальных отходов сведений о нахождении места (площадки) накопления твердых коммунальных отходов и об источниках образования твердых коммунальных отходов, которые образованы потребителями и складируются в таких местах (площадках) накопления твердых коммунальных отходов.
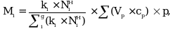
В случае, указанном в абзаце первом настоящего пункта, коммерческий учет объема и (или) массы твердых коммунальных отходов, образованных i-м потребителем, который складирует твердые коммунальные отходы в месте (площадке) накопления твердых коммунальных отходов, осуществляется:
в показателях объема (Vi) по формуле:
ki - количество расчетных единиц для i-го потребителя, используемых при определении нормативов накопления твердых коммунальных отходов для соответствующей категории потребителей, к которой относится i-й потребитель;
- норматив накопления твердых коммунальных отходов для соответствующей категории потребителей, к которой относится i-й потребитель;
g - количество потребителей, которые складируют твердые коммунальные отходы в месте (площадке) накопления твердых коммунальных отходов;
Vp - объем p-го контейнера, бункера, установленного в месте (площадке) накопления твердых коммунальных отходов;
cp - количество вывозов p-го контейнера, бункера с места (площадки) накопления твердых коммунальных отходов за расчетный период;
в показателях массы (Мi) по формуле:
где p - средняя плотность твердых коммунальных отходов, определенная в соответствии с пунктом 5 настоящих Правил.
13. В целях осуществления региональными операторами расчетов с операторами по обращению с твердыми коммунальными отходами, осуществляющими деятельность по транспортированию твердых коммунальных отходов, коммерческий учет объема и (или) массы твердых коммунальных отходов осуществляется в соответствии с пунктом 6 настоящих Правил.
14. В целях осуществления региональными операторами расчетов с операторами по обращению с твердыми коммунальными отходами, владеющими на праве собственности или на ином законном основании объектами (далее - владельцы объектов), коммерческий учет объема и (или) массы твердых коммунальных отходов осуществляется в соответствии с подпунктом "б" пункта 6 настоящих Правил, за исключением случая, предусмотренного пунктом 16 настоящих Правил.
15. Объекты должны быть оборудованы средствами измерения.
КонсультантПлюс: примечание.
Коммерческий учет массы твердых коммунальных отходов осуществляется в соответствии с п. 16 также в случаях, указанных в п. 6 данного документа.
16. В случае если средство измерения вышло из строя (неисправно), коммерческий учет массы твердых коммунальных отходов (Мтко) осуществляется по формуле:
где Vк - вместимость кузова транспортного средства, определенная в соответствии с технической документацией на транспортное средство.
17. Средство измерения считается вышедшим из строя (неисправным) в случае:
а) неотображения средством измерения результатов измерения;
б) наличия признаков несанкционированного вмешательства в работу средства измерения;
в) нарушения контрольных пломб или знаков поверки, нанесенных на средство измерения;
г) механического повреждения средства измерения;
д) превышения допустимой погрешности показаний средства измерения, установленной в технической документации на средство измерения.
18. Средство измерения считается вышедшим из строя (неисправным) начиная с даты, когда наступили события, указанные в пункте 17 настоящих Правил, а если дату установить невозможно, то начиная с расчетного периода, в котором наступили такие события.
Выход из строя (неисправность) средства измерения фиксируется актом, подписываемым представителями владельца объекта, регионального оператора, в присутствии которых установлен факт выхода из строя (неисправность) средства измерения, с указанием даты и времени фиксации факта выхода из строя (неисправности) средства измерения и причины выхода из строя (неисправности) средства измерения в случаях, установленных пунктом 17 настоящих Правил. По инициативе владельца объекта и (или) регионального оператора установление факта выхода из строя (неисправности) средства измерения, в том числе подписание акта о выходе из строя (неисправности) средства измерения, может осуществляться при участии представителя уполномоченного исполнительного органа субъекта Российской Федерации или органа местного самоуправления поселения, городского округа или муниципального района.
Акт о выходе из строя (неисправности) средства измерения составляется в 2 экземплярах, один из которых остается у владельца объекта, а другой передается региональному оператору.
- Гражданский кодекс (ГК РФ)
- Жилищный кодекс (ЖК РФ)
- Налоговый кодекс (НК РФ)
- Трудовой кодекс (ТК РФ)
- Уголовный кодекс (УК РФ)
- Бюджетный кодекс (БК РФ)
- Арбитражный процессуальный кодекс
- Конституция РФ
- Земельный кодекс (ЗК РФ)
- Лесной кодекс (ЛК РФ)
- Семейный кодекс (СК РФ)
- Уголовно-исполнительный кодекс
- Уголовно-процессуальный кодекс
- Производственный календарь на 2025 год
- МРОТ 2026
- ФЗ «О банкротстве»
- О защите прав потребителей (ЗОЗПП)
- Об исполнительном производстве
- О персональных данных
- О налогах на имущество физических лиц
- О средствах массовой информации
- Производственный календарь на 2026 год
- Федеральный закон "О полиции" N 3-ФЗ
- Расходы организации ПБУ 10/99
- Минимальный размер оплаты труда (МРОТ)
- Календарь бухгалтера на 2026 год
- Частичная мобилизация: обзор новостей
- Постановление Правительства РФ N 1875


