2.13. Порядок оплаты медицинской помощи по подушевому нормативу финансирования на прикрепившихся лиц по профилю "Акушерство и гинекология" и (или) "Стоматология"
В соответствии с Программой в рамках подушевого норматива финансирования на прикрепившихся лиц при финансовом обеспечении первичной (первичной специализированной) медико-санитарной помощи могут выделяться подушевые нормативы финансирования на прикрепившихся лиц по профилю "Акушерство и гинекология" и (или) "Стоматология", а также по дополнительным профилям медицинской помощи, по которым осуществляется оплата первичной (первичной специализированной) медико-санитарной помощи по соответствующим профилям.
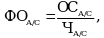
Средний размер финансового обеспечения медицинской помощи по профилям "Акушерство и гинекология" или "Стоматология" или дополнительным профилям медицинской помощи соответственно рассчитывается по следующей формуле:
Базовый (средний) подушевой норматив финансирования на прикрепившихся лиц по профилю "Акушерство и гинекология" или "Стоматология" или дополнительным профилям медицинской помощи соответственно, (далее - базовый (средний) подушевой норматив финансирования по профилю "Акушерство и гинекология" или "Стоматология" или дополнительным профилям медицинской помощи соответственно) рассчитывается по следующей формуле:
|
базовый (средний) подушевой норматив финансирования по профилю "Акушерство и гинекология" или "Стоматология" или дополнительным профилям медицинской помощи соответственно. |
Дифференцированные подушевые нормативы финансирования по профилю "Акушерство и гинекология" или "Стоматология" или дополнительным профилям медицинской помощи соответственно, значение параметра СКДот, а также коэффициенты, применяемые к базовому (среднему) подушевому нормативу финансирования по указанным профилям согласно Требованиям, рассчитываются аналогично коэффициентам, применяемым к базовому (среднему) подушевому нормативу финансирования медицинской помощи, и устанавливаются в тарифном соглашении.
- Гражданский кодекс (ГК РФ)
- Жилищный кодекс (ЖК РФ)
- Налоговый кодекс (НК РФ)
- Трудовой кодекс (ТК РФ)
- Уголовный кодекс (УК РФ)
- Бюджетный кодекс (БК РФ)
- Арбитражный процессуальный кодекс
- Конституция РФ
- Земельный кодекс (ЗК РФ)
- Лесной кодекс (ЛК РФ)
- Семейный кодекс (СК РФ)
- Уголовно-исполнительный кодекс
- Уголовно-процессуальный кодекс
- Производственный календарь на 2025 год
- МРОТ 2025
- ФЗ «О банкротстве»
- О защите прав потребителей (ЗОЗПП)
- Об исполнительном производстве
- О персональных данных
- О налогах на имущество физических лиц
- О средствах массовой информации
- Производственный календарь на 2026 год
- Федеральный закон "О полиции" N 3-ФЗ
- Расходы организации ПБУ 10/99
- Минимальный размер оплаты труда (МРОТ)
- Календарь бухгалтера на 2025 год
- Частичная мобилизация: обзор новостей
- Постановление Правительства РФ N 1875


