к Положению Банка России
от 16 ноября 2021 года N 781-П
"О требованиях к финансовой устойчивости
и платежеспособности страховщиков"
1. Оценка концентрационного риска (R1conc) определяется по формуле:
Conci(j) - оценка концентрационного риска для каждого i(j)-го обязанного лица (1), объектов недвижимости (2), определяемая по формуле:
Conci = max (0; Ei - CTi x Assets - OACi),
Ei (1) - концентрация на обязанное лицо - совокупная стоимость ценных бумаг i-го обязанного лица, активов, по которым обязанное лицо является поручителем (гарантом), прав требований к обязанному лицу (в том числе прав требований из договора банковского счета (вклада), прав требований по возврату ценных бумаг и денежных средств по второй части договора репо, доли перестраховщика в страховых резервах, прав требований по договору страхования в части уплаты страховой премии), за исключением:
прав требований страховой организации к i-му обязанному лицу, являющемуся перестраховщиком, в части уплаты его доли в выплатах страхового возмещения по страховым случаям, заявленным страховой организации до расчетной даты, в том числе задолженности i-го обязанного лица по уплате его доли в выплатах страхового возмещения, произведенных до расчетной даты в соответствии с договором исходящего перестрахования, и доли i-го обязанного лица, являющегося перестраховщиком, в выплатах страхового возмещения после расчетной даты по страховым случаям, по которым ожидаются страховые выплаты;
величины доли i-го обязанного лица в выплатах страхового возмещения по страховым случаям, страховая выплата по которым еще не была произведена, рассчитываемой в соответствии с пунктом 2.7 настоящего Положения;
доли перестраховщика - i-го обязанного лица, являющегося национальной перестраховочной компанией, а также отрицательной доли перестраховщика - i-го обязанного лица;
активов, обязанным лицом по которым является Российская Федерация;
активов, обязанным лицом по которым является Банк России;
задолженности i-го обязанного лица, являющегося инфраструктурной организацией, в случае если такая задолженность обусловлена осуществлением инфраструктурной организацией операций в рамках погашения ценных бумаг или проведения сделок с ними, за исключением требований по возврату денежных средств по второй части договора репо;
прав требований, расчеты по которым осуществляются в рамках соглашения о прямом возмещении убытков, соглашений о перестраховочных пулах по обязательным видам страхования, и прав требований, регламентированных правилами профессиональной деятельности;
прав требований к перестраховщику по договорам страхования гражданско-правовой ответственности за убытки и вред, причиненные радиационным воздействием, при осуществлении указанным перестраховщиком перестрахования в составе пулов по страхованию ядерных рисков при условии солидарной ответственности участников пула, принимающих такие риски;
прав требований по договору страхования в части уплаты страховой премии (страховых взносов) по риску дожития по договорам страхования жизни с периодом страхового покрытия более одного года, если в соответствии с условиями договора при неуплате страхователем очередного страхового взноса договор страхования расторгается с даты, следующей за датой, установленной для оплаты этого страхового взноса;
Ei (2) - совокупная стоимость всех объектов недвижимости;
Assets - стоимость активов страховой организации, рассчитанная в соответствии с главой 3 настоящего Положения исходя из состава активов, указанного в главе 1 настоящего Положения, за исключением отрицательной доли перестраховщика в страховых резервах, и стоимость прав требований в части уплаты страховой премии (страхового взноса), учитываемых в прогнозе денежных потоков, строящемся в соответствии с подпунктом 5.3.1 пункта 5.3 настоящего Положения. Стоимость указанных прав требований определяется как неотрицательная наилучшая оценка приведенной стоимости денежных потоков в части поступления страховых премий (страховых взносов) (за исключением части страховых премий, относимых к риску дожития) из прогноза денежных потоков, строящегося в соответствии с подпунктом 5.3.1 пункта 5.3 настоящего Положения;
CTi (1) - коэффициент концентрации на обязанное лицо, равный 50 процентам, если i-е обязанное лицо является перестраховщиком, с которым заключены договоры перестрахования и который создан в соответствии с законодательством государства - члена ОЭСР, группа кредитного качества которого, определенная в соответствии с подпунктом 6.5.2.2 пункта 6.5 настоящего Положения, принимает значения от 1 до 6 и такому перестраховщику переданы в перестрахование обязательства по страховой выплате по договорам страхования (исходящего перестрахования). Для обязанных лиц, не перечисленных в настоящем абзаце, коэффициент концентрации определяется в соответствии с таблицей 9 приложения 2 к настоящему Положению;
CTi (2) - коэффициент концентрации для объектов недвижимости, равный 25 процентам для страховых медицинских организаций, осуществляющих исключительно обязательное медицинское страхование, для иных страховых организаций - величине, указанной в таблице 20 приложения 2 к настоящему Положению;
OACi (1) - величина, определяемая по формуле:
OACi = (min(max(OAi / Assets; CTi); OCTi) - CTi) x Assets,
OAi - концентрация на i-ое обязанное лицо Ei (1), при этом при расчете Ei (1) в совокупную стоимость активов не включаются денежные средства на расчетных счетах, приобретенные после 1 января 2025 года ценные бумаги и возникшие после 1 января 2025 года права требования;
OACi (2) - величина, равная нулю;
OCTi - коэффициент корректировки концентрации на обязанное лицо, равный 50 процентам, если i-е обязанное лицо является перестраховщиком, с которым заключены договоры перестрахования и который создан в соответствии с законодательством государства - члена ОЭСР, группа кредитного качества которого, определенная в соответствии с подпунктом 6.5.2.2 пункта 6.5 настоящего Положения, принимает значения от 1 до 6, и такому перестраховщику переданы в перестрахование обязательства по страховой выплате по договорам страхования (исходящего перестрахования). Для обязанных лиц, не перечисленных в настоящем абзаце, коэффициент корректировки концентрации определяется в соответствии с таблицей 22 приложения 2 к настоящему Положению;
ConcRe - суммарная оценка концентрационного риска на перестраховщиков, определяемая по формуле:
R - количество перестраховщиков, которым переданы в перестрахование обязательства по страховой выплате;
kRe - коэффициент, равный 20 процентам (для страховых организаций, имеющих лицензию на осуществление добровольного страхования жизни) и 60 процентам (для иных страховых организаций);
Conc* - суммарная оценка концентрационного риска на обыкновенные акции, в отношении которых на расчетную дату одновременно выполняются условия, указанные в абзацах шестом - десятом подпункта 3.1.2 пункта 3.1 настоящего Положения, определяемая по формуле:
- совокупная стоимость всех обыкновенных акций, в отношении которых на расчетную дату одновременно выполняются условия, указанные в абзацах шестом - десятом подпункта 3.1.2 пункта 3.1 настоящего Положения.
(п. 1 в ред. Указания Банка России от 05.11.2024 N 6927-У)
(см. текст в предыдущей редакции)
2. Оценка риска изменения кредитного спреда (R1spread) определяется в отношении резерва инвестиционных обязательств, облигаций, банковских вкладов (депозитов), за исключением банковских вкладов (депозитов), указанных в пункте 3.2 настоящего Положения, займов, срочных сделок по формуле:
(в ред. Указания Банка России от 21.08.2023 N 6513-У)
(см. текст в предыдущей редакции)
M - количество облигаций (банковских вкладов (депозитов), займов), за исключением государственных облигаций Российской Федерации, государственных облигаций государств - членов ОЭСР, с долгосрочным кредитным рейтингом не менее "A" по международной рейтинговой шкале "Эс-энд-Пи Глобал Рейтингс" (S&P Global Ratings) или "Фитч Рейтингс" (Fitch Ratings) либо на уровне не менее "A2" по международной рейтинговой шкале "Мудис Инвесторс Сервис" (Moody's Investors Service), проектных облигаций (далее в настоящем пункте - инструмент);
(в ред. Указания Банка России от 21.08.2023 N 6513-У)
(см. текст в предыдущей редакции)
Sm - коэффициент изменения кредитного спреда в зависимости от группы кредитного качества инструмента m, определяемый по таблице 2 приложения 2 к настоящему Положению;
Pm - стоимость инструмента, включая накопленный процентный (купонный) доход, определенная в соответствии с главой 3 настоящего Положения;
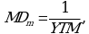
MDm - модифицированная дюрация инструмента (за исключением облигаций без срока погашения), определяемая по формуле:
j - порядковый номер очередного денежного потока с расчетной даты;
CFj - размер денежного потока j;
MDm - модифицированная дюрация облигации без срока погашения, определяемая по формуле:
YTM - эффективная доходность, которая определяется:
из формулы
- для инструмента (за исключением облигаций без срока погашения);
по формуле
- для облигации без срока погашения, где C - величина годового купона по такой облигации;
- разность стоимости срочных сделок и стоимости срочных сделок, определенной в случае изменения величины кредитного спреда контрагентов по срочным сделкам в соответствии с таблицей 2 приложения 2 к настоящему Положению, соответствующего группе кредитного качества контрагентов, и изменения величины (стоимости) предмета (предметов) срочных сделок исходя из изменения величины кредитного спреда в соответствии с таблицей 2 приложения 2 к настоящему Положению, соответствующего группе кредитного качества этого (этих) предметов срочных сделок. Для срочных сделок, являющихся обязательством для страховой организации, указанная разность принимается со знаком "-" (минус). Для биржевых производных финансовых инструментов, предусматривающих перечисление вариационной маржи, показатель
равен величине вариационной маржи по данному договору, рассчитанной с учетом изменения величины (стоимости) базисного актива (базисных активов) исходя из изменения величины кредитного спреда в соответствии с таблицей 2 приложения 2 к настоящему Положению, соответствующего группе кредитного качества этого (этих) базисного актива (базисных активов), подлежащей уплате страховой организацией. В случае если указанная вариационная маржа подлежит к получению страховой организацией, она принимается со знаком минус;
(в ред. Указания Банка России от 05.11.2024 N 6927-У)
(см. текст в предыдущей редакции)
- разность стоимости резерва инвестиционных обязательств, определенной в соответствии с требованиями подпункта 5.3.5 пункта 5.3 настоящего Положения, и стоимости резерва инвестиционных обязательств, определенной в соответствии с требованиями подпункта 5.3.5 пункта 5.3 настоящего Положения, в случае изменения стоимости актива, которое в соответствии с договором страхования ведет к изменению величины резерва инвестиционных обязательств исходя из изменения величины кредитного спреда в соответствии с таблицей 2 приложения 2 к настоящему Положению, соответствующего группе кредитного качества этого актива.
В случае если величина резерва инвестиционных обязательств определяется исходя из стоимости актива, зависящего от индекса, рассчитываемого исходя из изменения величины (стоимости) иных активов, для целей настоящего пункта индекс рассматривается как набор активов, исходя из которых рассчитывается индекс.
3. Оценка риска изменения процентных ставок (R1interest rate) определяется в отношении облигаций, банковских вкладов (депозитов), за исключением банковских вкладов (депозитов), указанных в пункте 3.2 настоящего Положения, займов, срочных сделок, величины страховых резервов и доли перестраховщиков в страховых резервах определяется по формуле:
(в ред. Указания Банка России от 21.08.2023 N 6513-У)
(см. текст в предыдущей редакции)
M - количество облигаций (банковских вкладов (депозитов), займов), за исключением проектных облигаций (далее в целях настоящего пункта - инструмент);
(в ред. Указания Банка России от 21.08.2023 N 6513-У)
(см. текст в предыдущей редакции)
MDm - определяется в соответствии с абзацами седьмым - двадцатым пункта 2 настоящего приложения;
Pm - стоимость инструмента m, включая накопленный процентный (купонный) доход;
- вспомогательный показатель, определяемый по формуле:
Lm - срок денежного потока, входящего в прогноз денежных потоков по учитываемым в расчете основным договорам страхования, строящийся в соответствии с требованиями подпункта 5.3.1 пункта 5.3 настоящего Положения, или в прогноз денежных потоков по учитываемым в расчете договорам исходящего перестрахования, строящийся в соответствии с требованиями подпункта 5.6.1 пункта 5.6 настоящего Положения, либо модифицированная дюрация инструмента m;
F (F+1) - максимальный (минимальный) срок из указанных в таблицах 3, 3.1 и 4 приложения 2 к настоящему Положению, не превышающий (превышающий) Lm, в годах;
(в ред. Указания Банка России от 21.08.2023 N 6513-У)
(см. текст в предыдущей редакции)
,
- относительное увеличение (up) или уменьшение (down) процентных ставок для сроков 0,25 года, 30 лет и валюты вклада (займа) или номинальной стоимости облигации, валюты страховой суммы в договоре страхования, валюты номинала предмета срочной сделки (в случае отсутствия номинала - валюты выплат по срочной сделке) (далее - валюта процентной ставки), указанное в таблицах 3, 3.1 и 4 приложения 2 к настоящему Положению;
(в ред. Указания Банка России от 21.08.2023 N 6513-У)
(см. текст в предыдущей редакции)
,
- относительное увеличение (up) или уменьшение (down) процентных ставок, указанное в таблицах 3, 3.1 и 4 приложения 2 к настоящему Положению, для срока F и валюты процентной ставки;
(в ред. Указания Банка России от 21.08.2023 N 6513-У)
(см. текст в предыдущей редакции)
RFratem - процентная ставка, определяемая по формуле:
Dmin (Dmax) - минимальный (максимальный) срок, на который определен уровень процентных ставок бескупонной доходности государственных ценных бумаг для соответствующей валюты процентной ставки, в годах;
V (V+1) - максимальный (минимальный) срок, на который известно значение кривой бескупонной доходности, не превышающий (превышающий) Lm, в годах;
RKV - уровень процентных ставок для срока V, определенный на расчетную дату. В случае если валютой процентной ставки является российский рубль, используется кривая бескупонной доходности облигаций федерального займа, значения которой опубликованы на официальном сайте ПАО "Московская биржа" в информационно-телекоммуникационной сети "Интернет", в случае если валютой денежного потока является китайский юань, используется кривая бескупонной доходности государственных ценных бумаг Китайской Народной Республики, показатели которой опубликованы на сайте Китайского депозитария государственных ценных бумаг и клиринговой корпорации в информационно-телекоммуникационной сети "Интернет", в остальных случаях - кривая бескупонной доходности государственных ценных бумаг США, ежедневные показатели которой публикуются на официальном сайте Департамента казначейства США в информационно-телекоммуникационной сети "Интернет";
(в ред. Указания Банка России от 21.08.2023 N 6513-У)
(см. текст в предыдущей редакции)
- разность стоимости срочных сделок и стоимости срочных сделок, определенной в случае изменения величины (стоимости) предмета (предметов) срочных сделок исходя из роста (up) или снижения (down) уровня процентной ставки на показатель
. Для срочных сделок, являющихся обязательством для страховой организации, указанная разность принимается со знаком "-" (минус). Для биржевых производных финансовых инструментов, предусматривающих перечисление вариационной маржи, показатель
равен величине вариационной маржи по данному договору, рассчитанной с учетом изменения величины (стоимости) базисного актива (базисных активов) исходя из роста (up) или снижения (down) уровня процентной ставки на показатель
, подлежащей уплате страховой организацией. В случае если указанная вариационная маржа подлежит к получению страховой организацией, она принимается со знаком "-" (минус);
- разность между величиной страховых резервов за вычетом вспомогательной величины ЭНП и за вычетом величины доли перестраховщиков в страховых резервах и величиной страховых резервов за вычетом вспомогательной величины ЭНП и за вычетом доли перестраховщиков, рассчитанных в случае изменения уровня ставки доходности на показатель
и (при необходимости) соответствующего изменения величины актива, изменение стоимости которого в соответствии с договором страхования ведет к изменению величины резерва инвестиционных обязательств.
(см. текст в предыдущей редакции)
В случае если величина резерва инвестиционных обязательств определяется исходя из стоимости актива, зависящего от индекса, рассчитываемого исходя из изменения величины (стоимости) иных активов, для целей настоящего пункта индекс рассматривается как набор активов, исходя из которых рассчитывается индекс.
4. Оценка риска изменения стоимости акций (R1equity) определяется в отношении акций, срочных сделок, опционов эмитента, иных договоров, выплата по которым определяется в зависимости от стоимости акций, за исключением сделок с ЦФА, стоимость обязательств по которым определяется в соответствии с пунктом 4.7 настоящего Положения, резерва инвестиционных обязательств, по формуле:
(в ред. Указания Банка России от 05.11.2024 N 6927-У)
(см. текст в предыдущей редакции)
Imup,down - коэффициент увеличения (снижения) стоимости m-й акции, определяемый по таблице 5 приложения 2 к настоящему Положению в зависимости от страны, в соответствии с законодательством которой создан эмитент акций, а также одновременного выполнения в отношении обыкновенных акций условий, указанных в абзацах шестом - десятом подпункта 3.1.2 пункта 3.1 настоящего Положения. В случае если в отношении акций на расчетную дату одновременно выполняются условия, указанные в абзацах шестом - десятом подпункта 3.1.2 пункта 3.1 настоящего Положения, используется коэффициент 3. В случае если в отношении акций на расчетную дату не выполняются условия, указанные в абзацах шестом - десятом подпункта 3.1.2 пункта 3.1 настоящего Положения и эмитент акций создан в соответствии с законодательством Российской Федерации об акционерных обществах, используется коэффициент 1, иначе - коэффициент 2;
(в ред. Указания Банка России от 21.08.2023 N 6513-У)
(см. текст в предыдущей редакции)
- разность стоимости срочных сделок, опционов эмитента, иных договоров, выплата по которым определятся в зависимости от стоимости акций, и стоимости таких договоров, определенной в случае изменения величины (стоимости) предмета (предметов) срочных сделок исходя из увеличения (снижения) стоимости акций в соответствии с таблицей 5 приложения 2 к настоящему Положению. В случае если эмитент акций создан в соответствии с законодательством Российской Федерации, используется коэффициент 1, иначе - коэффициент 2. Для срочных сделок, являющихся обязательством для страховой организации, указанная разность принимается со знаком "-" (минус). Для биржевых производных финансовых инструментов, предусматривающих перечисление вариационной маржи, показатель
равен величине вариационной маржи по биржевому производному финансовому инструменту, рассчитанной с учетом изменения величины (стоимости) базисного актива (базисных активов) исходя из увеличения (снижения) стоимости акций в соответствии с таблицей 5 приложения 2 к настоящему Положению, подлежащей уплате страховой организацией. В случае если указанная вариационная маржа подлежит к получению страховой организацией, она принимается со знаком "-" (минус);
- разность стоимости резерва инвестиционных обязательств, определенной в соответствии с требованиями главы 5 настоящего Положения, и стоимости резерва инвестиционных обязательств, определенной в соответствии с требованиями главы 5 настоящего Положения, в случае изменения стоимости актива, которое в соответствии с договором страхования ведет к изменению величины резерва инвестиционных обязательств исходя из увеличения (снижения) стоимости акций в соответствии с таблицей 5 приложения 2 к настоящему Положению. В случае если в отношении обыкновенных акций на расчетную дату одновременно выполняются условия, указанные в абзацах шестом - десятом подпункта 3.1.2 пункта 3.1 настоящего Положения, используется коэффициент 3. В случае если в отношении обыкновенных акций на расчетную дату не выполняются условия, указанные в абзацах шестом - десятом подпункта 3.1.2 пункта 3.1 настоящего Положения и эмитент акций создан в соответствии с законодательством Российской Федерации об акционерных обществах, используется коэффициент 1, иначе - коэффициент 2.
(в ред. Указания Банка России от 21.08.2023 N 6513-У)
(см. текст в предыдущей редакции)
5. Оценка риска изменения цен на недвижимость (R1property) определяется в отношении недвижимости, срочных сделок, резерва инвестиционных обязательств по формуле:
(в ред. Указания Банка России от 21.08.2023 N 6513-У)
(см. текст в предыдущей редакции)
- разность стоимости срочных сделок и стоимости срочных сделок, определенной в случае изменения величины (стоимости) предмета (предметов) срочных сделок исходя из снижения стоимости недвижимости в соответствии с таблицей 7 приложения 2 к настоящему Положению. Для срочных сделок, являющихся обязательством для страховой организации, указанная разность принимается со знаком "-" (минус). Для биржевых производных финансовых инструментов, предусматривающих перечисление вариационной маржи, показатель
равен величине вариационной маржи по данному договору, рассчитанной с учетом изменения величины (стоимости) базисного актива (базисных активов) исходя из снижения стоимости недвижимости в соответствии с таблицей 7 приложения 2 к настоящему Положению, подлежащей уплате страховой организацией. В случае если указанная вариационная маржа подлежит к получению страховой организацией, она принимается со знаком "-" (минус);
- разность стоимости резерва инвестиционных обязательств и стоимости резерва инвестиционных обязательств, определенной в случае изменения стоимости актива, изменение стоимости которого в соответствии с договором страхования ведет к изменению величины резерва инвестиционных обязательств исходя из снижения стоимости недвижимости в соответствии с таблицей 7 приложения 2 к настоящему Положению;
pr1(2) - коэффициент снижения стоимости жилой (нежилой) недвижимости согласно таблице 7 приложения 2 к настоящему Положению;
- суммарная стоимость объектов жилой (нежилой) недвижимости, включая стоимость земельных участков (прав аренды на земельные участки), на которых расположена указанная недвижимость. В случае если на земельном участке расположены объекты жилой и нежилой недвижимости, для целей настоящего пункта такой земельный участок учитывается как два условных участка пропорционально совокупной стоимости объектов жилой и нежилой недвижимости, расположенных на нем.
(в ред. Указания Банка России от 21.08.2023 N 6513-У)
(см. текст в предыдущей редакции)
6. Оценка риска изменения стоимости активов, риск изменения стоимости которых не подлежит определению в рамках оценки влияния рисков, указанных в абзацах шестом - восьмом, десятом подпункта 6.5.1 пункта 6.5 настоящего Положения (R1commodity) определяется по формуле:
(в ред. Указания Банка России от 22.09.2022 N 6252-У)
(см. текст в предыдущей редакции)
M - количество активов, к которым не применимы виды риска, указанные в абзацах шестом - восьмом, десятом подпункта 6.5.1 пункта 6.5 настоящего Положения, за исключением банковских вкладов (депозитов), указанных в пункте 3.2 настоящего Положения, доли перестраховщиков в страховых резервах, срочных сделок, задолженности перед страховой организацией, в том числе авансовых платежей и задолженности по налогам и сборам;
cup,down - коэффициент увеличения (снижения) стоимости активов, риск изменения стоимости которых не подлежит оценке в рамках оценки влияния рисков, указанных в абзацах шестом - восьмом, десятом подпункта 6.5.1 пункта 6.5 настоящего Положения, определяемый в соответствии с таблицей 8 приложения 2 к настоящему Положению. В случае если актив является товаром, предусмотренным абзацем четвертым подпункта 3.1.2 пункта 3.1 настоящего Положения, или является срочной сделкой, базисным активом которой является аффинированное золото, используется коэффициент 1, иначе - коэффициент 2;
(в ред. Указания Банка России от 22.09.2022 N 6252-У)
(см. текст в предыдущей редакции)
- разность стоимости срочных сделок и договоров, к которым не применимы виды риска 1, указанные в абзацах шестом - восьмом, десятом подпункта 6.5.1 пункта 6.5 настоящего Положения, и выплаты по которым определяются в зависимости от изменения стоимости активов, к которым не применимы виды риска 1, указанные в абзацах шестом - восьмом, десятом подпункта 6.5.1 пункта 6.5 настоящего Положения, за исключением сделок с ЦФА, стоимость обязательств по которым определяется в соответствии с пунктом 4.7 настоящего Положения, и стоимости таких договоров, определенной в случае изменения величины (стоимости) предмета (предметов) срочных сделок исходя из увеличения (снижения) стоимости таких активов в соответствии с таблицей 8 приложения 2 к настоящему Положению. Для срочных сделок и договоров, являющихся обязательством для страховой организации, указанная разность принимается со знаком "-" (минус). Для биржевых производных финансовых инструментов, предусматривающих перечисление вариационной маржи, показатель
равен величине вариационной маржи по биржевому производному финансовому инструменту, рассчитанной с учетом изменения величины (стоимости) базисного актива (базисных активов) исходя из снижения стоимости таких активов в соответствии с таблицей 8 приложения 2 к настоящему Положению, подлежащей уплате страховой организацией. В случае если указанная вариационная маржа подлежит к получению страховой организацией, она принимается со знаком "-" (минус);
(в ред. Указания Банка России от 05.11.2024 N 6927-У)
(см. текст в предыдущей редакции)
- разность стоимости резерва инвестиционных обязательств и стоимости резерва инвестиционных обязательств, определенной в случае изменения стоимости активов, риск изменения стоимости которых не подлежит определению в рамках оценки влияния рисков, указанных в абзацах шестом - восьмом, десятом подпункта 6.5.1 пункта 6.5 настоящего Положения, изменение стоимости которых в соответствии с договором страхования ведет к изменению величины резерва инвестиционных обязательств исходя из снижения стоимости таких активов в соответствии с таблицей 8 приложения 2 к настоящему Положению.
(в ред. Указания Банка России от 22.09.2022 N 6252-У)
(см. текст в предыдущей редакции)
7. Оценка риска изменения валютного курса (R1currency) определяется по формуле:
- оценка риска изменения валютного курса при росте (up) или снижении (down) валютного курса, определяемая по формуле:
(в ред. Указания Банка России от 21.08.2023 N 6513-У)
(см. текст в предыдущей редакции)
Pa - суммарная стоимость активов страховой организации, определяемая в иностранной валюте либо в соответствии с договором зависящая от курса иностранной валюты, без учета срочных сделок, рассчитанная в соответствии с главой 3 настоящего Положения;
- суммарная стоимость активов страховой организации, определяемая в иностранной валюте либо в соответствии с договором зависящая от курса иностранной валюты, без учета срочных сделок, рассчитанная в соответствии с главой 3 настоящего Положения, в случае роста (up) или снижения (down) курса иностранной валюты на показатель, указанный в таблице 6 приложения 2 к настоящему Положению;
Pl - суммарная стоимость обязательств страховой организации, определяемая в иностранной валюте либо в соответствии с договором зависящая от курса иностранной валюты, рассчитанная в соответствии с главой 4 настоящего Положения, без учета срочных сделок;
- суммарная стоимость обязательств страховой организации, определяемая в иностранной валюте либо в соответствии с договором зависящая от курса иностранной валюты, без учета срочных сделок, рассчитанная в соответствии с главой 4 настоящего Положения, в случае роста (up) или снижения (down) курса иностранной валюты на показатель, указанный в таблице 6 приложения 2 к настоящему Положению;
- разность стоимости срочных сделок и стоимости срочных сделок, определенной в случае изменения величины (стоимости) предмета (предметов) срочных сделок исходя из роста (up) или снижения (down) курса иностранной валюты в соответствии с таблицей 6 приложения 2 к настоящему Положению. Для срочных сделок, являющихся обязательством для страховой организации, указанная разность принимается со знаком "-" (минус). Для биржевых производных финансовых инструментов, предусматривающих перечисление вариационной маржи, показатель
равен величине вариационной маржи по производному финансовому инструменту, рассчитанной с учетом изменения величины (стоимости) базисного актива (базисных активов) исходя из роста (up) или снижения (down) курса иностранной валюты в соответствии с таблицей 6 приложения 2 к настоящему Положению, подлежащей уплате страховой организацией. В случае если указанная вариационная маржа подлежит к получению страховой организацией, она принимается со знаком "-" (минус).
8. Оценка риска 2 определяется по формуле:
corri,j - значение коэффициента корреляции риска 2 между категориями контрагентов i и j в соответствии с таблицей 14 приложения 2 к настоящему Положению;
R2credit_i, R2credit_j - оценка риска 2 по категории контрагентов с номером i (j);
R*2credit - суммарная стоимость прав требований по учитываемым в расчете договорам страхования в части уплаты страховой премии (страховых взносов), если существует просрочка уплаты страховой премии (страховых взносов) по договорам страхования имущества, заложенного по договору об ипотеке, страхования жизни и здоровья заемщика, страхования от несчастных случаев и болезней заемщика при предоставлении потребительского кредита (займа), в случае, когда обязательства заемщика обеспечены ипотекой, страхования ответственности заемщика, являющегося должником по обеспеченному ипотекой обязательству, с периодом действия страхового покрытия более одного года на срок более 30 рабочих дней от даты уплаты страховой премии (страховых взносов), указанной в договоре страхования, по иным договорам страхования - на срок более 5 рабочих дней от даты уплаты страховой премии (страховых взносов), указанной в договоре страхования;
(в ред. Указания Банка России от 22.09.2022 N 6252-У)
(см. текст в предыдущей редакции)
i (j) - номер категории контрагентов, определяемый следующим образом:
все обязанные лица, в отношении которых осуществляется оценка риска 2, распределяются на категории:
обязанные лица, если они или их ценные бумаги относятся к 1 - 21 группам кредитного качества, за исключением физических лиц;
обязанные лица, если они являются обязанными по ценным бумагам, являющимся предметом срочной сделки, стороной по которой является страховая организация, или лицом, в зависимости от исполнения обязательств которого определяются денежные потоки по ценным бумагам, принадлежащим страховой организации, срочным сделкам или иным договорам, стороной по которым является страховая организация;
обязанные лица, являющиеся юридическими лицами, если концентрация на обязанное лицо для целей расчета риска 2 превышает пороговое значение K1, определяемое страховой организацией во внутреннем документе и не превышающее 0,5 процента от суммарной стоимости активов страховой организации;
обязанные лица, являющиеся физическими лицами, если концентрация на обязанное лицо для целей расчета риска 2 превышает пороговое значение K2, определяемое страховой организацией во внутреннем документе и не превышающее 0,5 процента от суммарной стоимости активов страховой организации;
обязанные лица, являющиеся страховщиками, участвующими в перестраховочном пуле или ассоциации, в которых установлена солидарная или субсидиарная ответственность участников;
2 категория контрагентов: все обязанные лица - юридические лица, являющиеся обязанными лицами хотя бы по одному активу, для которого в соответствии с подпунктом 6.5.10.2(1) пункта 6.5 настоящего Положения показатель z равен коэффициенту 1, за исключением лиц из 1 категории контрагентов;
(см. текст в предыдущей редакции)
3 категория контрагентов: все обязанные лица, являющиеся юридическими лицами, за исключением лиц из 1 и 2 категории контрагентов;
4 категория контрагентов: физические лица, являющиеся обязанными лицами хотя бы по одному активу, для которого в соответствии с подпунктом 6.5.10.2(1) пункта 6.5 настоящего Положения показатель z равен коэффициенту 1, за исключением лиц из 1 категории контрагентов.
(см. текст в предыдущей редакции)
5 категория контрагентов: все обязанные лица, являющиеся физическими лицами, за исключением лиц из 1 и 4 категории контрагентов.
9. Оценка риска 2 для 1 категории контрагентов (R2credit_1) определяется как (T x Q)-ое максимальное значение предполагаемого убытка Xs, где коэффициент Q (коэффициент риска 2) определяется по таблице 11 приложения 2 к настоящему Положению, а вспомогательная величина T определяется как минимальное целое число от 30 000 по 150 000 так, чтобы значение
составляло менее 0,5 процента стоимости активов страховой организации, рассчитанных в соответствии с главой 3 настоящего Положения.
Значение
рассчитывается по формуле:
Значение предполагаемого убытка Xs в итерации s рассчитывается по формуле:
M - число активов и прав требований в части уплаты страховой премии (страховых взносов) по учитываемым в расчете договорам страхования, за исключением прав требований, учтенных в расчете показателя R*2credit (далее для целей настоящего пункта - актив), обязанные лица по которым относятся к 1 категории контрагентов;
(в ред. Указания Банка России от 22.09.2022 N 6252-У)
(см. текст в предыдущей редакции)
Pm(s) - стоимость m-го актива исходя из предположений о дефолтах, сделанных в итерации s;
M'(s) - число случаев, когда исходя из предположений о дефолтах, сделанных в итерации s, у страховой организации возникают дополнительные обязательства в силу закона или заключенного договора, в том числе в силу условий о солидарной или субсидиарной ответственности по заключенному страховой организацией договору сострахования, или по условиям перестраховочного пула или ассоциации, членом которых является страховая организация (далее - дополнительные обязательства);
Pm'(s) - вспомогательная величина, определяемая по формуле:
- страховые резервы за вычетом вспомогательной величины ЭНП, рассчитанные исходя из предположения о дефолтах, сделанных в итерации s, с учетом норм закона или условий договора (в том числе договора сострахования, договора о совместной деятельности), устава ассоциации, устанавливающих дополнительные обязательства страховой организации;
(в ред. Указания Банка России от 22.09.2022 N 6252-У)
(см. текст в предыдущей редакции)
- справедливая стоимость дополнительных обязательств, денежные потоки по которым не учитываются при формировании страховых резервов в соответствии с главой 5 настоящего Положения, рассчитанная в соответствии с МСФО (IFRS) 13 и внутренним документом исходя из предположения о дефолтах, сделанных в итерации s, с учетом норм закона или условий договора (в том числе договора сострахования, договора о совместной деятельности), устава ассоциации, устанавливающих дополнительные обязательства страховой организации;
СОрег - страховые резервы за вычетом вспомогательной величины ЭНП;
(в ред. Указания Банка России от 22.09.2022 N 6252-У)
(см. текст в предыдущей редакции)
ОМСФО13 - справедливая стоимость дополнительных обязательств, денежные потоки по которым не учитываются при формировании страховых резервов в соответствии с главой 5 настоящего Положения, рассчитанная в соответствии с МСФО (IFRS) 13 и внутренним документом, с учетом норм закона или условий договора (в том числе договора сострахования, договора о совместной деятельности), устава ассоциации, устанавливающих дополнительные обязательства страховой организации.
Предположения о дефолтах определяются для каждого обязанного лица, которое относится к 1 категории контрагентов. Для каждого обязанного лица рассчитывается равномерно распределенная случайная величина в промежутке от 0 до 1 включительно с точностью не менее семи знаков после запятой.
Дефолт по активу предполагается, если:
исполнение обязательств по активу не обеспечено поручительством (независимой гарантией), соответствующим (соответствующей) условиям, указанным в подпункте 3.1.8 пункта 3.1 настоящего Положения, и значение случайной величины, рассчитанной для обязанного лица по активу, меньше вероятности дефолта по активу;
исполнение обязательств по активу (правам требования по договору страхования) обеспечено поручительством (независимой гарантией), соответствующим (соответствующей) условиям, указанным в подпункте 3.1.8 пункта 3.1 настоящего Положения, и значение случайной величины, рассчитанной для обязанного лица по активу (правам требования по договору страхования), меньше вероятности дефолта по активу (правам требования по договору страхования), а также значение случайной величины, рассчитанной для поручителя (гаранта) по активу (правам требования по договору страхования), меньше вероятности дефолта поручителя (гаранта) по активу (правам требования по договору страхования).
Дефолт обязанного лица, являющегося лицом, в зависимости от исполнения обязательств которым определяются денежные потоки по ценным бумагам, принадлежащим страховой организации, срочным сделкам, правам требования по договору страхования или иным договорам, стороной по которым является страховая организация, предполагается, если значение случайной величины, рассчитанной для такого лица, меньше вероятности дефолта такого лица.
В зависимости от вида m-го актива (от прав требований по договору страхования) его стоимость исходя из предположений о дефолтах, сделанных в итерации s, определяется следующим образом:
ноль для активов, у обязанных лиц по которым отсутствует кредитный рейтинг (кроме облигаций), для акций и субординированных облигационных займов, условиями эмиссии которых предусмотрено осуществление конвертации в обыкновенные акции, если по таким активам предполагается дефолт в итерации s;
35 процентов от номинальной стоимости облигаций, исполнение обязательств по которым не обеспечено залогом, вклада по договору банковского вклада, но не более их стоимости на дату расчета, от стоимости иных активов, исполнение обязательств по которым не обеспечено залогом, если по таким активам предполагается дефолт в итерации s;
сумма денежных потоков по активу, по которому не предполагается дефолт в итерации s, если по лицам, в зависимости от исполнения обязательств которыми определяются денежные потоки по активу, предполагается дефолт в итерации s;
стоимость ценных бумаг и иного имущества, являющихся предметом залога по активу, но не более величины обязательства, обеспеченного залогом, если по активу предполагается дефолт в итерации s, а по обязанным лицам по таким ценным бумагам и иным правам требований, являющимся предметом залога, не предполагается дефолт в итерации s;
стоимость недвижимости, являющейся залогом по активу, определенная в соответствии с пунктом 3.6 настоящего Положения и умноженная на коэффициент изменения цен объекта недвижимости, определенный в соответствии с пунктом 5 приложения 1 к настоящему Положению, но не более величины обязательства, обеспеченного залогом, если по активу предполагается дефолт в итерации s;
50 процентов от стоимости залога по активу, но не более величины обязательства, обеспеченного залогом, за исключением видов залога, перечисленных в абзацах двадцать седьмом и двадцать восьмом настоящего пункта, определенной в соответствии с главой 3 настоящего Положения, если по активу предполагается дефолт в итерации s;
ноль в иных случаях, если по активу или по обязанному лицу по активу предполагается дефолт в итерации s;
стоимость m-го актива в иных случаях.
Вспомогательная величина Pm'(s) принимается равной нулю, если вспомогательная величина Pm'(s) составляет менее, чем 1,5 процента от абсолютного значения суммы величин ДПП, ДПУ, РПВУ, стабилизационного резерва, резерва инвестиционных обязательств, уменьшенной на сумму вспомогательных величин СПРПНО, СПРУНО, СПРПВУНО.
(абзац введен Указанием Банка России от 05.11.2024 N 6927-У)
10. Оценка риска 2 для 2 категории контрагентов (R2credit_2) определяется по формуле:
g - число групп, на которое разбиваются обязанные лица, отнесенные ко 2 категории контрагентов, исходя из концентрации на обязанное лицо для целей расчета риска 2, определяемой в соответствии с требованиями пункта 1 настоящего приложения, и из используемого коэффициента z, определяемого в соответствии с подпунктом 6.5.10.2(1) пункта 6.5 настоящего Положения. Для целей настоящего пункта в расчет концентрации на обязанное лицо для целей расчета риска 2 не включаются права требования по учитываемым в расчете договорам страхования в части уплаты страховой премии (страховых взносов), учитываемые в расчете показателя R*2credit;
(в ред. Указания Банка России от 05.11.2024 N 6927-У)
(см. текст в предыдущей редакции)
- максимальная по группе i концентрация на обязанное лицо для целей расчета риска 2;
- сумма по группе i концентраций на обязанное лицо для целей расчета риска 2;
ri - суммарная доля стоимости акций в совокупной стоимости активов, обязанные лица по которым отнесены к i-ой группе, субординированного облигационного займа, если условиями эмиссии предусмотрена его конвертация в обыкновенные акции;
pi - количество дефолтов в i-ой группе, определяемое по формуле:
Q - коэффициент риска 2, определяемый согласно таблице 11 приложения 2 к настоящему Положению;
Mi - число обязанных лиц в i-ой группе;
(в ред. Указания Банка России от 22.09.2022 N 6252-У)
(см. текст в предыдущей редакции)
PD - вероятность дефолта по 19 группе кредитного качества в соответствии с таблицей 1 приложения 2 к настоящему Положению.
(в ред. Указания Банка России от 22.09.2022 N 6252-У)
(см. текст в предыдущей редакции)
Обязанное лицо, отнесенное ко 2 категории контрагентов, с концентрацией на обязанное лицо для целей расчета риска 2 величиной не менее li и менее li+1 попадает в группу i+1, значение Emax попадает в группу i+1, где li определяется по формуле:
Emax,min - максимальное (минимальное) значение концентрации на обязанное лицо для целей расчета риска 2 по всем обязанным лицам, отнесенным ко 2 категории контрагентов;
n равно 1, если количество обязанных лиц, отнесенных ко 2 категории контрагентов, меньше 100, n равно 10 - если меньше 50 000, n равно 100 - если больше или равно 50 000 и меньше 500 000, n равно 1 000 - если больше или равно 500 000;
i принимает значения от 0 до n - 1.
В случае если в группу попадает не менее 100 лиц, она считается заполненной. Если группа не заполнена, то она объединяется со следующей. Если последняя группа не заполнена, то она объединяется с предыдущей.
11. Оценка риска 2 для 3 категории контрагентов (R2credit_3) производится в соответствии с пунктом 10 настоящего приложения с учетом показателя z, равного коэффициенту 2.
(в ред. Указания Банка России от 22.09.2022 N 6252-У)
(см. текст в предыдущей редакции)
12. Оценка риска 2 для 4 категории контрагентов (R2credit_4), производится в соответствии с пунктом 10 настоящего приложения с учетом следующего:
PD - вероятность дефолта по 15 группе кредитного качества в соответствии с таблицей 1 приложения 2 к настоящему Положению.
13. Оценка риска 2 для 5 категории контрагентов (R2credit_5), производится в соответствии с пунктом 12 настоящего приложения с учетом показателя z, равного коэффициенту 2.
(в ред. Указания Банка России от 22.09.2022 N 6252-У)
(см. текст в предыдущей редакции)
14. Величина LapseRisk1 определяется по формуле:
j - номер договора страхования, относящегося к учетным группам 18 - 21;
- разность между определенными актуарием на расчетную дату суммой величин ДПП и резерва инвестиционных обязательств за вычетом доли перестраховщиков в резерве премий, рассчитанных по договору страхования с учетом предположений подпункта 14.1 настоящего пункта в прогнозах увеличения (up) или уменьшения (down), и суммой величин ДПП и резерва инвестиционных обязательств за вычетом доли перестраховщиков в резерве премий;
- разность между определенной на расчетную дату величиной прав требований, предусмотренных абзацами четвертым и пятым пункта 1.1 настоящего Положения, рассчитанных по договору страхования с учетом предположений подпункта 14.1 настоящего пункта в прогнозах увеличения (up) или уменьшения (down), и величиной прав требований, предусмотренных абзацами четвертым и пятым пункта 1.1 настоящего Положения;
- разность между определенной на расчетную дату величиной обязательств, предусмотренных абзацем вторым пункта 4.3 настоящего Положения, рассчитанных по договору страхования с учетом предположений подпункта 14.1 настоящего пункта в прогнозах увеличения (up) или уменьшения (down), и величиной обязательств, предусмотренных абзацем вторым пункта 4.3 настоящего Положения.
14.1. Расчет величин ДПП, доли перестраховщиков в резерве премий, резерва инвестиционных обязательств, прав требований, предусмотренных абзацами четвертым и пятым пункта 1.1 настоящего Положения, обязательств, предусмотренных абзацем вторым пункта 4.3 настоящего Положения, производится в прогнозах увеличения (up) или уменьшения (down) исходя из следующих предположений.
14.2. В прогнозах увеличения (up) или уменьшения (down) для договоров страхования с датой окончания периода действия страхового покрытия до верхней границы, отстоящей от расчетной даты более чем на 366 дней, и согласно условиям которых страхователь имеет право в одностороннем порядке изменить условия договора страхования, определить порядок его исполнения или расторгнуть его, в том числе в результате неуплаты страховой премии (страховых взносов) (далее - права страхователя) и при увеличении (уменьшении) вероятности реализации каждого из таких прав страхователя величина
по договору страхования неотрицательна, вероятность реализации указанных прав страхователя при построении прогнозов денежных потоков, предусмотренных подпунктом 5.3.1 пункта 5.3 и подпунктом 5.6.1 пункта 5.6 настоящего Положения, увеличивается (уменьшается) на 50 процентов, но не может составлять более 1 в совокупности.
Для целей настоящего подпункта для любых прав страхователя по увеличению периода действия страхового покрытия, объема страхового покрытия производится увеличение (уменьшение) вероятности не реализации страхователем данного права.
14.3. Параметры резервного базиса, не зависящие от указанных в подпункте 14.2 настоящего пункта вероятностей, не изменяются. Параметры резервного базиса, зависящие от указанных в подпункте 14.2 настоящего пункта вероятностей, корректируются актуарием с учетом требований пункта 5.7 настоящего Положения так, чтобы полная вероятность реализации всех возможных комбинаций всех возможных условий договора страхования составляла 1.
(п. 14 введен Указанием Банка России от 05.11.2024 N 6927-У)
15. Величина LapseRisk2 определяется по формуле:
i - номер договора страхования, отнесенного к учетной группе 18 - 21, за исключением полностью оплаченных договоров страхования, по которым возврат страховой премии (ее части), выкупных сумм и иных платежей при досрочном прекращении договора страхования не предусмотрен или производится только по соглашению сторон, а также договоров добровольного страхования жизни и здоровья заемщика по договору потребительского кредита (займа), если по состоянию на расчетную дату истек срок, в течение которого страховщик должен осуществить возврат страхователю уплаченной страховой премии в случае отказа страхователя от договора страхования при отсутствии в данном периоде событий, имеющих признаки страхового случая.
15.1. Для договора страхования i, отнесенного к учетной группе 18 - 21, величина LapseValue2i определяется по формуле:
- разность между определенной актуарием на расчетную дату суммой величин ДПП и резерва инвестиционных обязательств за вычетом доли перестраховщиков в резерве премий по договору страхования i, рассчитанных при реализации права страхователя, указанного в подпункте 15.2 настоящего пункта, на дату, следующую за расчетной датой, с учетом предположений, указанных в подпунктах 15.2 - 15.8 настоящего пункта, и суммой величин ДПП и резерва инвестиционных обязательств за вычетом доли перестраховщиков в резерве премий по договору страхования i;
- разность между определенной на расчетную дату величиной прав требований, предусмотренных абзацами четвертым и пятым пункта 1.1 настоящего Положения по договору страхования i, рассчитанных при реализации права страхователя, указанного в подпункте 15.2 настоящего пункта, на дату, следующую за расчетной датой, с учетом предположений, указанных в подпунктах 15.2 - 15.8 настоящего пункта, и величиной прав требований, предусмотренных абзацами четвертым и пятым пункта 1.1 настоящего Положения по договору страхования i;
- разность между определенной на расчетную дату величиной обязательств, предусмотренных абзацем вторым пункта 4.3 настоящего Положения по договору страхования i, рассчитанных при реализации права страхователя, указанного в подпункте 15.2 настоящего пункта, на дату, следующую за расчетной датой, с учетом предположений, указанных в подпунктах 15.2 - 15.8 настоящего пункта и величиной обязательств, предусмотренных абзацем вторым пункта 4.3 настоящего Положения по договору страхования i.
15.2. Для целей расчета LapseRisk2 предполагается реализация такого права страхователя, реализация которого приводит к максимальному размеру положительной величины LapseValue2i по договору страхования.
Для договоров входящего перестрахования для целей расчета LapseRisk2 в качестве прав страхователя, помимо прав страхователя, предусмотренных договором, учитывается непередача рисков страхователем в результате незаключения основных договоров страхования, заключение которых предусмотрено в прогнозе денежных потоков, а также реализация прав страхователя, удовлетворяющих критерию абзаца первого настоящего подпункта в отношении основных договоров страхования.
Для целей настоящего подпункта любые права страхователя по увеличению периода действия страхового покрытия, объема страхового покрытия рассматриваются как право страхователя не реализовывать увеличение периода действия страхового покрытия, объема страхового покрытия.
15.3. При реализации страхователем указанного в подпункте 15.2 настоящего пункта права стоимость прав требований, предусмотренных абзацами четвертым и пятым пункта 1.1 настоящего Положения, обязательств, предусмотренных абзацем вторым пункта 4.3 настоящего Положения, определяется с учетом возможности взаимозачета встречных требований страхователя (перестрахователя) со страховщиком (перестраховщиком), которые возникли в рамках одного договора страхования (договора исходящего перестрахования).
15.4. Исходящие денежные потоки по объявленным до расчетной даты негарантированным выплатам, дополнительным выплатам, а также по платежам страховщика в связи с досрочным прекращением договора страхования, влекущим возврат страховой премии (ее части), а также выплату предусмотренных договором страхования иных сумм, в том числе выкупных, учитываются в размере, предусмотренном при реализации права страхователя, указанного в подпункте 15.2 настоящего пункта.
15.5. При реализации права страхователя, указанного в подпункте 15.2 настоящего пункта, все входящие денежные потоки по страховым премиям (взносам), права требования по страховым премиям (взносам) и будущие исходящие денежные потоки по отчислениям от страховой премии в фонды компенсационных выплат признаются равными нулю.
15.6. Страховые выплаты и иные выплаты по договору страхования (кроме перечисленных в подпунктах 15.4 и 15.5 настоящего пункта), а также расходы на исполнение обязательств по страховому случаю учитываются только в отношении части страхового покрытия (включая истекшие до расчетной даты части периода действия страхового покрытия), которая действовала в случае реализации права страхователя, указанного в подпункте 15.2 настоящего пункта.
15.7. Расходы на заключение (аквизицию) договоров страхования, в том числе уменьшение таких расходов, учитываются в том объеме, в котором они должны быть выплачены (возвращены, если договором страховой организации со страховым агентом и (или) страховым (перестраховочным) брокером предусмотрен возврат расходов на заключение (аквизицию) договоров страхования) при реализации права страхователя, указанного в подпункте 15.2 настоящего пункта.
15.8. Расходы на сопровождение учитываемых в расчете величины LapseRisk2 договоров страхования учитываются в том объеме, в котором они должны быть понесены страховщиком в результате реализации права страхователя, указанного в подпункте 15.2 настоящего пункта (в том числе учитываются расходы, по которым установлен их минимальный (неснижаемый) уровень, в том числе расходы по оплате труда работников, состоящих в штате страховой организации).
(п. 15 введен Указанием Банка России от 05.11.2024 N 6927-У)
- Гражданский кодекс (ГК РФ)
- Жилищный кодекс (ЖК РФ)
- Налоговый кодекс (НК РФ)
- Трудовой кодекс (ТК РФ)
- Уголовный кодекс (УК РФ)
- Бюджетный кодекс (БК РФ)
- Арбитражный процессуальный кодекс
- Конституция РФ
- Земельный кодекс (ЗК РФ)
- Лесной кодекс (ЛК РФ)
- Семейный кодекс (СК РФ)
- Уголовно-исполнительный кодекс
- Уголовно-процессуальный кодекс
- Производственный календарь на 2025 год
- МРОТ 2025
- ФЗ «О банкротстве»
- О защите прав потребителей (ЗОЗПП)
- Об исполнительном производстве
- О персональных данных
- О налогах на имущество физических лиц
- О средствах массовой информации
- Производственный календарь на 2026 год
- Федеральный закон "О полиции" N 3-ФЗ
- Расходы организации ПБУ 10/99
- Минимальный размер оплаты труда (МРОТ)
- Календарь бухгалтера на 2025 год
- Частичная мобилизация: обзор новостей
- Постановление Правительства РФ N 1875



,










,












