Порядок определения начальной максимальной стоимости проекта и размера гранта
В целях определения объема финансовых ресурсов, необходимых для реализации проекта в установленные сроки, оператором на основании поступивших от потенциальных исполнителей ценовых предложений производится определение начальной максимальной стоимости проекта.
Начальная максимальная стоимость проекта (РНМСП) рассчитывается по следующей методике:
P1, P2, P3, Pn - ценовые предложения, полученные оператором от потенциальных исполнителей в части стоимости проекта, допущенных к расчету РНМСП в соответствии с требованиями настоящего пункта. При этом в целях минимизации рисков завышения стоимости разработки конструкторской документации расчет РНМСП может производиться только при наличии не менее трех допущенных к расчету ценовых предложений, полученных от потенциальных исполнителей;
n - количество потенциальных исполнителей, предоставивших допущенные для расчета ценовые предложения. При этом общее количество таких исполнителей должно быть не менее трех.
Для определения ценовых предложений, допущенных к расчету РНМСП следует определить коэффициент вариации ценовых предложений, характеризующий однородность совокупности ценовых предложений по следующей формуле:
Квар - коэффициент вариации ценовых предложений;
- среднее квадратичное отклонение;
Среднее квадратичное отклонение ценовых предложений от средней арифметической величины ценовых предложений (начальной максимальной стоимости проекта) определяется по следующей формуле:
Pi - i-ое ценовое предложение, полученное оператором от потенциальных исполнителей в части стоимости проекта;
k - количество ценовых предложений, полученные оператором от потенциальных исполнителей. При этом общее количество таких ценовых предложений должно быть не менее трех.
Если коэффициент вариации цен превышает 33%, это говорит о неоднородности информации по ценовым предложениям от потенциальных исполнителей, а, следовательно, средняя цена не может быть использована для определения начальной максимальной стоимости проекта.
В таком случае максимальное ценовое предложение не допускается к расчету РНМСП. Производится повторный расчет РНМСП среди оставшихся предложений. Действие повторяется, пока размер коэффициента вариации цен составит не более 33%.
В случае если принятых к расчету Рi остается менее трех, конкурс не объявляется и производится повторный запрос ценовых предложений.
При проведении конкурса поданная заявка оценивается на соответствие требованиям, предусмотренным Решением, условиями и порядком предоставления и использования гранта, разработанными и утвержденными оператором, объявлением о проведении конкурса.
В дополнение к действующему порядку расчета начальной максимальной стоимости проекта оператор в целях проверки ее обоснованности вправе разработать и утвердить методику, позволяющую в том числе определить предельную величину гранта с учетом:
средней рыночной стоимости инжиниринговых услуг по разработке конструкторской документации на аналогичные комплектующие изделия;
сложности разрабатываемой конструкторской документации на комплектующие изделия.
Максимальный размер гранта на реализацию проекта, устанавливаемый оператором для иных лиц (грантополучателей) в объявлении о проведении конкурса в отношении каждой позиции перечня приоритетных комплектующих изделий, не может превышать 150 млн рублей.
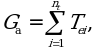
Размер гранта на реализацию проекта для иных лиц - победителей конкурса определяется оператором по результатам проведенного конкурса по отбору поступивших и допущенных к участию в конкурсе заявок участников по следующей формуле:
Ga - общий размер гранта, предоставляемого оператором иному лицу на основании договора о предоставлении гранта, определяемый как сумма затрат за счет средств гранта на разработку конструкторской документации по видам затрат (в рублях), заявленной победителем конкурса в смете реализации проекта;
Te - вид затрат, наименование которого приведено в разделе "Финансовое обеспечение затрат (расходов) получателя гранта" настоящего Решения и размер которых указан в заявленной победителем конкурса смете реализации проекта;
nt - количество видов затрат, наименования которых приведены в разделе "Финансовое обеспечение затрат (расходов) получателя гранта" настоящего Решения и указаны в смете реализации проекта, заявленной победителем конкурса.
Грант предоставляется на финансовое обеспечение затрат (расходов) получателя гранта, при условии возникновения обязательств по их оплате получателем гранта в рамках периода реализации проекта, но не ранее даты заключения договора о предоставлении гранта, если не предусмотрено иное.
Оператор в пределах максимального размера гранта на реализацию проекта, определенного согласно условиям и порядку предоставления и использования гранта, согласованным с Министерством промышленности и торговли Российской Федерации, осуществляет софинансирование не более 80 процентов затрат (расходов) по проектам, предусматривающим разработку конструкторской документации на комплектующие для отраслей промышленности (не более 100 процентов затрат (расходов) по проектам, предусматривающим разработку конструкторской документации на комплектующие для продукции радиоэлектронной промышленности).
Общий размер средств грантов, предоставленных оператором иным лицам (грантополучателям) в отчетном году на основании заключенных по результатам проведенных конкурсов договоров о предоставлении гранта, не может превышать размера субсидии на соответствующий финансовый год, установленного в соглашении о предоставлении субсидии, заключенном с Министерством промышленности и торговли Российской Федерации.
- Гражданский кодекс (ГК РФ)
- Жилищный кодекс (ЖК РФ)
- Налоговый кодекс (НК РФ)
- Трудовой кодекс (ТК РФ)
- Уголовный кодекс (УК РФ)
- Бюджетный кодекс (БК РФ)
- Арбитражный процессуальный кодекс
- Конституция РФ
- Земельный кодекс (ЗК РФ)
- Лесной кодекс (ЛК РФ)
- Семейный кодекс (СК РФ)
- Уголовно-исполнительный кодекс
- Уголовно-процессуальный кодекс
- Производственный календарь на 2025 год
- МРОТ 2026
- ФЗ «О банкротстве»
- О защите прав потребителей (ЗОЗПП)
- Об исполнительном производстве
- О персональных данных
- О налогах на имущество физических лиц
- О средствах массовой информации
- Производственный календарь на 2026 год
- Федеральный закон "О полиции" N 3-ФЗ
- Расходы организации ПБУ 10/99
- Минимальный размер оплаты труда (МРОТ)
- Календарь бухгалтера на 2026 год
- Частичная мобилизация: обзор новостей
- Постановление Правительства РФ N 1875



