(a) Общие положения. Для предотвращения столкновения БВС-ВТ должен иметь систему огней, которая:
(1) Состоит из одного или более одобренных огней для предотвращения столкновения, размещенных так, чтобы излучаемый ими световой поток не ухудшал обзор внешнему пилоту и не ухудшал различимость АНО;
(2) Удовлетворяет требованиям пунктов (b) - (f) данного пункта.
(b) Зона действия. Система должна включать количество огней, способных своим действием с учетом конфигурации и летных характеристик БВС-ВТ охватить его наиболее жизненно важные зоны. Зона действия системы огней должна простираться в каждом направлении в пределах от 30° выше и от 30° ниже горизонтальной плоскости БВС-ВТ, при этом, если их телесные углы в сумме составляют менее 0,5 стерадиана, то допускается наличие зон ограниченной видимости.
(c) Характеристики проблесковых огней. Устройство системы, то есть количество источников света, ширина светового потока, частота вращения и другие характеристики должны обеспечивать эффективную частоту мигания в диапазоне от 40 до 100 циклов в минуту. Эффективной частотой мигания огней, предназначенных для предотвращения столкновения БВС-ВТ, является частота, при которой с какого-либо расстояния полностью просматриваются все огни системы, а также каждый сектор светового потока, включая зоны перекрытия светового потока, возникающие при использовании нескольких источников света. В зонах перекрытия частоты мигания могут превышать 100 циклов в минуту, но не должны быть более 180 циклов в минуту.
(d) Цвет. Каждый огонь для предотвращения столкновения должен быть авиационного красного цвета и должен удовлетворять требованиям, изложенным в пункте БАС-ВТ.1397.
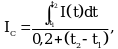
(e) Сила света. Минимальные величины силы света в любой вертикальной плоскости, измеряемые для красного светофильтра (если он используется), представляются в виде эффективных сил света, которые должны удовлетворять требованиям (f). Эффективная сила света IС (кд) определяется из уравнения
IС - эффективная сила света, кд;
I(t) - сила света вспышки как функция времени;
t2 - t1 - продолжительность вспышки, секунд.
Обычно максимальную величину эффективной силы света получают при выборе таких значений t2 и t1, при которых эффективная сила света равна мгновенной силе света при t2 и t1.
(f) Минимальные величины эффективной силы света огня для предотвращения столкновения. Эффективная сила света каждого огня для предотвращения столкновения должна равняться или превышать величины, указанные в таблице:
- Гражданский кодекс (ГК РФ)
- Жилищный кодекс (ЖК РФ)
- Налоговый кодекс (НК РФ)
- Трудовой кодекс (ТК РФ)
- Уголовный кодекс (УК РФ)
- Бюджетный кодекс (БК РФ)
- Арбитражный процессуальный кодекс
- Конституция РФ
- Земельный кодекс (ЗК РФ)
- Лесной кодекс (ЛК РФ)
- Семейный кодекс (СК РФ)
- Уголовно-исполнительный кодекс
- Уголовно-процессуальный кодекс
- Производственный календарь на 2025 год
- МРОТ 2025
- ФЗ «О банкротстве»
- О защите прав потребителей (ЗОЗПП)
- Об исполнительном производстве
- О персональных данных
- О налогах на имущество физических лиц
- О средствах массовой информации
- Производственный календарь на 2026 год
- Федеральный закон "О полиции" N 3-ФЗ
- Расходы организации ПБУ 10/99
- Минимальный размер оплаты труда (МРОТ)
- Календарь бухгалтера на 2025 год
- Частичная мобилизация: обзор новостей
- Постановление Правительства РФ N 1875
