Документ утратил силу или отменен. Подробнее см. Справку

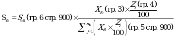
3.1. Алгоритм расчета распределения общего объема субсидий на софинансирование расходных обязательств субъектов Российской Федерации и г. Байконура между субъектами Российской Федерации и г. Байконуром в соответствии с правилами предоставления и распределения субсидий бюджетам субъектов Российской Федерации и бюджету г. Байконура

3.1. Алгоритм расчета распределения общего объема субсидий на

софинансирование расходных обязательств субъектов Российской Федерации и г.

Байконура между субъектами Российской Федерации и г. Байконуром в

соответствии с правилами предоставления и распределения субсидий бюджетам

субъектов Российской Федерации и бюджету г. Байконура

Рисунок 7