3.1.1.4. Показатели, применяемые для расчета распределения общего объема субсидий на софинансирование расходных обязательств субъектов Российской Федерации между субъектами Российской Федерации в соответствии с правилами предоставления и распределения субсидий бюджетам субъектов Российской Федерации (на второй год планового периода)
3.1.1.4. Показатели, применяемые для расчета распределения общего объема
субсидий на софинансирование расходных обязательств субъектов Российской
Федерации между субъектами Российской Федерации в соответствии с правилами
предоставления и распределения субсидий бюджетам субъектов Российской
Федерации на 20__ год (на второй год планового периода)
|
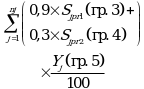
(Sj) |
Объем бюджетных ассигнований с учетом перераспределения высвободившихся средств |
||||||||||
|
понесенные в году, предшествующему году предоставления субсидии, и (или) планируемые в соответствующем финансовом году затраты сельскохозяйственных товаропроизводителей на оплату труда и проживание обучающихся, привлеченных для прохождения практики, в том числе производственной практики, и практической подготовки или осуществляющих трудовую деятельность не более 6 месяцев |
предельный уровень софинансирования расходного обязательства субъекта Российской Федерации, % (Yj) |
размер средств, предусмотренный заявкой субъекта Российской Федерации на предоставление субсидии (Sзаявка) |
расчетный размер субсидии бюджету субъекта Российской Федерации (Sрасч j) |
общий объем бюджетных ассигнований, предусмотренный на предоставление субсидий (S) |
|||||||
|
(если Sрасч j (гр. 7) > Sзаявка (гр. 6), то Sj = Sзаявка (гр. 6); |
|||||||||||
|
если Sрасч j (гр. 7) < Sзаявка (гр. 6), то Sj = Sрасч j (гр. 7)) |
|||||||||||
|
в образовательных организациях Министерства сельского хозяйства Российской Федерации (Sjpr1) |
в иных образовательных организациях (Sjpr2) |
||||||||||
- Гражданский кодекс (ГК РФ)
- Жилищный кодекс (ЖК РФ)
- Налоговый кодекс (НК РФ)
- Трудовой кодекс (ТК РФ)
- Уголовный кодекс (УК РФ)
- Бюджетный кодекс (БК РФ)
- Арбитражный процессуальный кодекс
- Конституция РФ
- Земельный кодекс (ЗК РФ)
- Лесной кодекс (ЛК РФ)
- Семейный кодекс (СК РФ)
- Уголовно-исполнительный кодекс
- Уголовно-процессуальный кодекс
- Производственный календарь на 2025 год
- МРОТ 2026
- ФЗ «О банкротстве»
- О защите прав потребителей (ЗОЗПП)
- Об исполнительном производстве
- О персональных данных
- О налогах на имущество физических лиц
- О средствах массовой информации
- Производственный календарь на 2026 год
- Федеральный закон "О полиции" N 3-ФЗ
- Расходы организации ПБУ 10/99
- Минимальный размер оплаты труда (МРОТ)
- Календарь бухгалтера на 2026 год
- Частичная мобилизация: обзор новостей
- Постановление Правительства РФ N 1875
