Внимание! Данная редакция применяется при составлении и ведении бюджетных смет на 2025 год. При ведении бюджетных смет на 2024 год применяется предыдущая редакция.

3.1.1.3. Показатели, применяемые для расчета распределения общего объема субсидий на софинансирование расходных обязательств субъектов Российской Федерации между субъектами Российской Федерации в соответствии с правилами предоставления и распределения субсидий бюджетам субъектов Российской Федерации (на второй год планового периода)

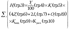
3.1.1.3. Показатели, применяемые для расчета распределения общего объема

субсидий на софинансирование расходных обязательств субъектов Российской

Федерации между субъектами Российской Федерации в соответствии с правилами

предоставления и распределения субсидий бюджетам субъектов Российской

Федерации на 20__ год (на второй год планового периода)

Наименование субъекта Российской Федерации

Код строки

Показатели по субъектам Российской Федерации

Единые показатели для всех субъектов Российской Федерации

Объем субсидии

(Si)

количество спортивных школ олимпийского резерва в субъекте Российской Федерации, ед

(Hi)

предельный уровень софинансирования расходного обязательства субъекта Российской Федерации

(Yi)

региональный коэффициент

(Ki)

среднее количество тренеров в спортивных школах олимпийского резерва субъекта Российской Федерации

коэффициент эффективности подготовки спортивного резерва для спортивных сборных команд Российской Федерации в спортивных школах олимпийского резерва субъекта Российской Федерации (Kканд)

коэффициент расходов на материально-техническое обеспечение (спортивное оборудование, инвентарь, экипировку) из бюджета субъекта Российской Федерации, местного бюджета, внебюджетных источников в спортивных школах олимпийского резерва субъекта Российской Федерации

(Kрасх)

Рисунок 139

общий объем расходов, предусмотренный на предоставление субсидий

(Aфб)

имеющих высшую квалификационную категорию

(Zi)

имеющих первую квалификационную категорию

(Li)

имеющих вторую квалификационную категорию и не имеющих квалификационную категорию

(Oi)

1

2

3

4

5

6

7

8

9

10

11

12

13

001

x

x

002

Итого

900

x

x

x

x

x

x

x

x