к Методике определения размера платы
за оказание услуги по проведению
экспертизы промышленной безопасности,
утвержденной приказом
Федеральной службы по экологическому,
технологическому и атомному надзору
от 8 октября 2024 г. N 310
1. Определение размера платы за оказание услуги по экспертизе промышленной безопасности документации на консервацию, ликвидацию опасного производственного объекта (С):
Св1 - стоимость анализа документации;
Св2 - стоимость формирования выводов;
Св3 - стоимость оформления заключения экспертизы.
1.1. Стоимость анализа документации (Св1):
Зпр1 - прямые расходы на выполнение анализа документации при проведении экспертизы;
Зн1 - накладные расходы на выполнение анализа документации при проведении экспертизы.
Прямые расходы на выполнение анализа документации при проведении экспертизы (Зпр1):
Ртр1 - расходы на оплату труда работников, принимающих непосредственное участие в проведении анализа документации при проведении экспертизы;
Нтр1 - начисления на фонд оплаты труда работников, принимающих непосредственное участие в проведении анализа документации при проведении экспертизы, установленные законодательством Российской Федерации о налогах и сборах, с учетом предельных размеров баз для начисления страховых взносов.
Расходы на оплату труда работников, принимающих непосредственное участие в проведении анализа документации при проведении экспертизы (Ртр1):
ТЗ1 - средняя стоимость трудозатрат 1 человеко-часа работников экспертной организации, принимающих непосредственное участие в проведении анализа документации при проведении экспертизы, с учетом выплат компенсационного и стимулирующего характера, выплачиваемых в соответствии с законодательством Российской Федерации;
Вэ1 - время, фактически необходимое работникам экспертной организации на проведение анализа документации при проведении экспертизы.
Ртр1 = 1 262,5 руб. x 100 чел.-час = 126 250,0 руб.
Начисления на фонд оплаты труда работников (Нтр1):
Нтр1 = 126 250,0 руб * 0,302 = 38 127,5 руб.,
0,302 - коэффициент начислений на фонд оплаты труда, применяемый в экспертной организации в соответствии с законодательством Российской Федерации.
Зпр1 = 126 250,0 руб. + 38 127,5 руб. = 164 377,5 руб.
Kн - коэффициент накладных расходов (без учета расходов, связанных со служебными командировками), равный 0,45;
Рк1 - расходы, связанные со служебными командировками, необходимые для анализа документации при проведении экспертизы.
Зн1 = 0,45 x 126 250,0 руб. + 126 250,0 руб. =
= 183 062,5 руб.
Норма прибыли (Пн) определена в размере 5%.
1.2. Стоимость формирования выводов (Св2):
Зпр2 _ прямые расходы на формирование выводов по итогам анализа документации при проведении экспертизы;
Зн2 - накладные расходы на формирование выводов по итогам анализа документации при проведении экспертизы.
Прямые расходы на формирование выводов по итогам анализа документации при проведении экспертизы (Зпр2):
Ртр2 - расходы на оплату труда работников, принимающих непосредственное участие в формировании выводов;
Нтр2 - начисления на фонд оплаты труда работников, принимающих непосредственное участие в формировании выводов, установленные законодательством Российской Федерации о налогах и сборах, с учетом предельных размеров баз для начисления страховых взносов.
Расходы на оплату труда работников, принимающих непосредственное участие в формировании выводов (Ртр2):
ТЗ2 - средняя стоимость трудозатрат 1 человеко-часа работников экспертной организации, принимающих непосредственное участие в формировании выводов, с учетом выплат компенсационного и стимулирующего характера, выплачиваемых в соответствии с законодательством Российской Федерации;
Вэ2 - время, фактически необходимое работникам экспертной организации на формирование выводов при проведении экспертизы.
Ртр2 = 1 262,5 руб. x 140 чел.-час = 176 750,0 руб.
Начисления на фонд оплаты труда работников (Нтр2):
Нтр2 = 176 750,0 руб * 0,302 = 53 378,5 руб.,
0,302 - коэффициент начислений на фонд оплаты труда, применяемый в экспертной организации в соответствии с законодательством Российской Федерации.
Зпр2 = 176 750,0 руб. + 53 378,5 руб. = 230 128,5 руб.
Кн - коэффициент накладных расходов (без учета расходов, связанных со служебными командировками), равный 0,45;
Рк2 - расходы, связанные со служебными командировками, необходимые для формирования выводов при проведении экспертизы.
Зн2 = 0,45 x 176 750,0 руб. + 176 750,0 руб. =
= 256 287,5 руб.
Норма прибыли (Пн) определена в размере 5%.
1.3. Стоимость оформления заключения экспертизы (Св3):
Зпр3 - прямые расходы на оформление заключения экспертизы;
Зн3 - накладные расходы на оформление заключения экспертизы.
Прямые расходы на оформление заключения экспертизы (Зпр3):
Ртр3 _ расходы на оплату труда работников, принимающих непосредственное участие в оформлении заключения экспертизы;
Нтр3 - начисления на фонд оплаты труда работников, принимающих непосредственное участие в оформлении заключения экспертизы, установленные законодательством Российской Федерации о налогах и сборах, с учетом предельных размеров баз для начисления страховых взносов.
Расходы на оплату труда работников, принимающих непосредственное участие в оформлении заключения экспертизы (Ртр3):
ТЗ3 - средняя стоимость трудозатрат 1 человеко-часа работников экспертной организации, принимающих непосредственное участие в оформлении заключения экспертизы, с учетом выплат компенсационного и стимулирующего характера, выплачиваемых в соответствии с законодательством Российской Федерации;
Вэ3 - время, фактически необходимое работникам экспертной организации на оформление заключения экспертизы.
Ртр3 = 1 262,5 руб. x 360 чел.-час = 454 500,0 руб.
Начисления на фонд оплаты труда работников (Нтр3):
Нтр3 = 454 500,0 руб. * 0,302 = 137 259,0 руб.,
0,302 - коэффициент начислений на фонд оплаты труда, применяемый в экспертной организации в соответствии с законодательством Российской Федерации.
Зпр3 = 454 500,0 руб. + 137 259,0 руб. = 591 759,0 руб.
Кн - коэффициент накладных расходов (без учета расходов, связанных со служебными командировками), равный 0,45;
Рк3 - расходы, связанные со служебными командировками, необходимые на оформление заключения экспертизы.
Зн3 = 0,45 x 454 500,0 руб. + 454 500,0 руб. =
= 659 025,0 руб.
Норма прибыли (Пн) определена в размере 5%.
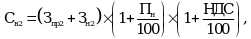
2. Размер платы за оказание услуги по экспертизе промышленной безопасности документации на консервацию, ликвидацию опасного производственного объекта (С):
С = Св1 + Св2 + Св3 = 437 774,4 + 612 884,2 + 1 575 987,8 =
= 2 626 646,4 руб.
3. Сметный расчет стоимости оказания услуги по экспертизе промышленной безопасности документации на консервацию, ликвидацию опасного производственного объекта:
- Гражданский кодекс (ГК РФ)
- Жилищный кодекс (ЖК РФ)
- Налоговый кодекс (НК РФ)
- Трудовой кодекс (ТК РФ)
- Уголовный кодекс (УК РФ)
- Бюджетный кодекс (БК РФ)
- Арбитражный процессуальный кодекс
- Конституция РФ
- Земельный кодекс (ЗК РФ)
- Лесной кодекс (ЛК РФ)
- Семейный кодекс (СК РФ)
- Уголовно-исполнительный кодекс
- Уголовно-процессуальный кодекс
- Производственный календарь на 2025 год
- МРОТ 2026
- ФЗ «О банкротстве»
- О защите прав потребителей (ЗОЗПП)
- Об исполнительном производстве
- О персональных данных
- О налогах на имущество физических лиц
- О средствах массовой информации
- Производственный календарь на 2026 год
- Федеральный закон "О полиции" N 3-ФЗ
- Расходы организации ПБУ 10/99
- Минимальный размер оплаты труда (МРОТ)
- Календарь бухгалтера на 2026 год
- Частичная мобилизация: обзор новостей
- Постановление Правительства РФ N 1875






