7. Порядок расчета объема средств, подлежащих возврату в бюджет

7. Порядок расчета объема средств, подлежащих

возврату в бюджет

1. В случае недостижения лизингополучателем значения результата предоставления субсидии в 1-м и (или) 2-м отчетном(ых) году(ах), следующем(их) за годом ввода оборудования в эксплуатацию, организация уплачивает пени в размере одной трехсотшестидесятой ключевой ставки Центрального банка Российской Федерации, действующей на дату начала начисления пени, от суммы субсидии за каждый день просрочки (с первого дня, следующего за плановой датой достижения результата предоставления субсидии, до дня фактического достижения результата предоставления субсидии).

2. В случае недостижения лизингополучателем в установленные сроки значения результата предоставления субсидии, установленного в графе 13 раздела 9 Решения, организация возвращает средства субсидии (A), размер которых определяется по формуле:

Рисунок 4

где:

V - размер полученной субсидии;

Dфакт - фактическое значение результата предоставления субсидии;

Dплан - плановое значение результата предоставления субсидии;

P1 - пени, уплаченные организацией за просрочку достижения значения результата предоставления субсидии в 1-м году, следующем за годом ввода оборудования в эксплуатацию;

P2 - пени, уплаченные организацией за просрочку достижения значения результата предоставления субсидии во 2-м году, следующем за годом ввода оборудования в эксплуатацию;

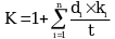
K - коэффициент возврата, учитывающий средний размер ключевой ставки, устанавливаемой Центральным банком Российской Федерации, расчет которого осуществляется по формуле:

Рисунок 5

где:

n - количество периодов, в которых действовали различные уровни ключевой ставки Центрального банка Российской Федерации;

di - количество календарных дней действия ключевой ставки Центрального банка Российской Федерации (в пределах периода со дня заключения лизинговой организацией соглашения о предоставлении субсидии);

ki - значения уровней ключевой ставки Центрального банка Российской Федерации;

t - суммарное количество календарных дней со дня заключения организацией соглашения о предоставлении субсидии.

3. В случае недостижения лизингополучателем в установленные сроки значения результата предоставления субсидии в связи с прекращением производственной деятельности, организация возвращает средства субсидии в доход федерального бюджета в полном объеме, с уплатой пени из расчета одной трехсотшестидесятой ключевой ставки, установленной Центральным банком Российской Федерации, за каждый день пользования указанными средствами.

4. В случае недостижения лизингополучателем в установленные сроки значения характеристики результата предоставления субсидии, установленного в Соглашении о предоставлении субсидии, организация возвращает средства субсидии (B), размер которых определяется по формуле

Рисунок 6

где:

V - размер полученной субсидии;

Fфакт - фактическое значение характеристики предоставления субсидии в стоимостном выражении;

Fплан - плановое значение характеристики предоставления субсидии в стоимостном выражении;

K - коэффициент возврата, учитывающий средний размер ключевой ставки, устанавливаемой Центральным банком Российской Федерации, расчет которого осуществляется по формуле:

Рисунок 7

где:

n - количество периодов, в которых действовали различные уровни ключевой ставки Центрального банка Российской Федерации;

di - количество календарных дней действия ключевой ставки Центрального банка Российской Федерации (в пределах периода со дня заключения организацией соглашения о предоставлении субсидии);

ki - значения уровней ключевой ставки Центрального банка Российской Федерации;

t - суммарное количество календарных дней со дня заключения организацией соглашения о предоставлении субсидии.

5. Возврат средств субсидии, в том числе пеней, предусмотренный пунктами 1 и 2 настоящего раздела, не применяется в случае, если исполнение обязательств по достижению значения результата предоставления субсидии оказалось невозможным вследствие обстоятельств непреодолимой силы.

К обстоятельствам непреодолимой силы не могут быть отнесены такие предпринимательские риски, как нарушение обязанностей со стороны контрагентов получателя субсидии и (или) лизингополучателя, отсутствие на рынке необходимых для исполнения обязательств товаров, отсутствие у получателя субсидии и (или) лизингополучателя средств или невозможность выполнять финансовые обязательства, а также финансово-экономический кризис, изменение валютного курса, девальвация национальной валюты.