II. Порядок определения общей кадровой потребности по производственным видам экономической деятельности
II. Порядок определения общей кадровой потребности
по производственным видам экономической деятельности
7. Для определения общей кадровой потребности в определенных в соответствии с подпунктом "б" пункта 3 настоящей методики производственных видах экономической деятельности используются следующие группы показателей:
а) макроэкономические показатели по видам экономической деятельности:
физический объем валовой добавленной стоимости или валового регионального продукта (индексы и прогнозные значения по данным Министерства экономического развития Российской Федерации);
производительность труда (индексы и прогнозные значения по данным Министерства экономического развития Российской Федерации);
совокупные затраты труда (индексы, прогнозные значения, расчет);
б) показатели рынка труда, характеризующие спрос на труд по видам экономической деятельности:
общее количество рабочих мест (работ) (на всех видах работ по производству товаров и услуг в среднем за год, ретроспективные значения);
общее количество отработанного времени на всех видах работ (совокупные затраты труда) по производству товаров и услуг (в среднем за год, ретроспективные значения по данным Федеральной службы государственной статистики);
среднегодовая численность занятых в экономике (ретроспективные значения по данным Федеральной службы государственной статистики).
8. Базой для прогнозирования численности занятых является определение индексов и их соотношений в текущем периоде и на прогнозный 5-летний период. Все индексы рассчитываются ежегодно.
9. На основе соотнесения прогнозных значений индексов физического объема валовой добавленной стоимости и производительности труда для каждого вида экономической деятельности рассчитываются значения индекса совокупных затрат труда (
), который характеризует прогнозную динамику общего количества отработанного времени на всех видах работ по производству товаров и услуг, по формуле:
- индекс физического объема валовой добавленной стоимости на прогнозный год t по данным Министерства экономического развития Российской Федерации;
- индекс производительности труда на прогнозный год t по данным Министерства экономического развития Российской Федерации;
t - год, на который производится расчет.
10. Исходя из значений индекса совокупных затрат труда на каждый год прогнозного периода определяются прогнозные значения общего количества рабочих мест (работ) по производственным видам экономической деятельности (
) по формуле:
- количество рабочих мест (работ) за предыдущий год, единиц;
t-1 - год, предшествующий году, на который производится расчет.
В рамках настоящей методики среднее количество отработанного времени в расчете на одно рабочее место (работу) в прогнозных периодах принимается за константу.
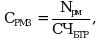
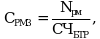
11. На основе ретроспективных данных (за 5 лет) об общем количестве рабочих мест (работ) и среднегодовой численности занятых в экономике (по балансу трудовых ресурсов) для каждого производственного вида экономической деятельности определяются значения среднего количества рабочих мест (работ) в расчете на одного занятого в экономике (СРМЗ) по следующим формулам:
Nрм - количество рабочих мест (работ), единиц;
СЧБТР - среднегодовая численность занятых по балансу трудовых ресурсов, млн. человек;
б) для каждого года прогнозного периода:
где t-5 - год, отдаленный на 5 лет в ретроспективу относительно года, на который производится расчет.
В соответствии со сложившимися тенденциями определяются прогнозные значения среднего количества рабочих мест (работ) в расчете на одного занятого в экономике.
12. Полученные в соответствии с пунктом 11 настоящей методики прогнозные значения среднего количества рабочих мест (работ) в расчете на одного занятого корректируются с учетом потенциала роста интенсивности труда занятых в экономике.
Изменение интенсивности труда занятых в экономике оценивается через индекс среднего количества отработанных часов в расчете на одного занятого (индекс интенсивности) (
), который рассчитывается по следующим формулам:
- количество отработанных часов в год, на который производится расчет, тыс. часов;
- среднегодовая численность занятых в год, на который производится расчет, млн. человек;
б) для каждого года прогнозного периода, если среднегодовое значение индекса среднего количества отработанных часов в расчете на одного занятого (индекс интенсивности)
больше 1:
- индекс среднего количества отработанных часов в расчете на одного занятого (индекс интенсивности) в год (для каждого года прогнозного периода, кроме 1-го года), предшествующий году, на который производится расчет (для 1-го года прогнозного периода используется значение
);
Тср - среднегодовой темп изменения индекса в перспективе на 5 лет, который рассчитывается по формуле:
- среднегодовое значение индекса среднего количества отработанных часов в расчете на одного занятого (индекс интенсивности);
k-1 - год, предшествующий 1-му прогнозному году;
k-5 - год, отдаленный на 5 лет в ретроспективу относительно 1-го прогнозного года.
Если в ретроспективе среднегодовое значение превышало 1, то в прогнозном периоде предусматривается равномерное уменьшение значений до 1 в последнем году прогнозного периода. После достижения во всех видах экономической деятельности уменьшения значения индекса до 1 во все последующие годы этот индекс принимается на уровне 1 (не влияет на расчет) с гипотезой о выработке потенциала роста интенсивности труда занятых в экономике.
В случае если в ретроспективе среднегодовое значение индекса среднего количества отработанных часов в расчете на одного занятого (индекс интенсивности) (
) меньше 1 (то есть среднее количество отработанных часов снижалось), то в прогнозном периоде значение индекса принимается на уровне 1.
13. Прогнозная оценка общей кадровой потребности по производственным видам экономической деятельности (
) рассчитывается по формуле:
- Гражданский кодекс (ГК РФ)
- Жилищный кодекс (ЖК РФ)
- Налоговый кодекс (НК РФ)
- Трудовой кодекс (ТК РФ)
- Уголовный кодекс (УК РФ)
- Бюджетный кодекс (БК РФ)
- Арбитражный процессуальный кодекс
- Конституция РФ
- Земельный кодекс (ЗК РФ)
- Лесной кодекс (ЛК РФ)
- Семейный кодекс (СК РФ)
- Уголовно-исполнительный кодекс
- Уголовно-процессуальный кодекс
- Производственный календарь на 2025 год
- МРОТ 2026
- ФЗ «О банкротстве»
- О защите прав потребителей (ЗОЗПП)
- Об исполнительном производстве
- О персональных данных
- О налогах на имущество физических лиц
- О средствах массовой информации
- Производственный календарь на 2026 год
- Федеральный закон "О полиции" N 3-ФЗ
- Расходы организации ПБУ 10/99
- Минимальный размер оплаты труда (МРОТ)
- Календарь бухгалтера на 2026 год
- Частичная мобилизация: обзор новостей
- Постановление Правительства РФ N 1875







