VII. Метод оценки параметров процесса формирования зон загазованности
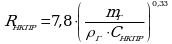
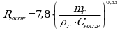
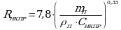
14. Радиус RНКПР (м) и высота ZНКПР (м) зоны, ограничивающие область концентраций, превышающих нижний концентрационный предел распространения пламени (далее - CНКПР), при неподвижной воздушной среде определяется по формулам:
для горючих газов (далее - ГГ)
где mГ - масса ГГ, поступившего в открытое пространство при пожароопасной ситуации, кг;
- плотность ГГ при расчетной температуре и атмосферном давлении, кг/м3;
mП - масса паров ЛВЖ, поступивших в открытое пространство за время испарения, указана в пункте 8 настоящего приложения, кг;
- плотность паров ЛВЖ при расчетной температуре, кг/м3;
CНКПР - нижний концентрационный предел распространения пламени ГГ или паров, % об.
15. За начало отсчета горизонтального размера зоны, ограничивающей область концентраций, превышающих CНКПР при неподвижной воздушной среде, принимают геометрический центр пролива, а в случае если RНКПР меньше габаритных размеров пролива - внешние габаритные размеры пролива.
- Гражданский кодекс (ГК РФ)
- Жилищный кодекс (ЖК РФ)
- Налоговый кодекс (НК РФ)
- Трудовой кодекс (ТК РФ)
- Уголовный кодекс (УК РФ)
- Бюджетный кодекс (БК РФ)
- Арбитражный процессуальный кодекс
- Конституция РФ
- Земельный кодекс (ЗК РФ)
- Лесной кодекс (ЛК РФ)
- Семейный кодекс (СК РФ)
- Уголовно-исполнительный кодекс
- Уголовно-процессуальный кодекс
- Производственный календарь на 2025 год
- МРОТ 2026
- ФЗ «О банкротстве»
- О защите прав потребителей (ЗОЗПП)
- Об исполнительном производстве
- О персональных данных
- О налогах на имущество физических лиц
- О средствах массовой информации
- Производственный календарь на 2026 год
- Федеральный закон "О полиции" N 3-ФЗ
- Расходы организации ПБУ 10/99
- Минимальный размер оплаты труда (МРОТ)
- Календарь бухгалтера на 2026 год
- Частичная мобилизация: обзор новостей
- Постановление Правительства РФ N 1875
; (П3.32)
, (П3.33)
; (П3.34)
, (П3.35)