к приказу Министерства труда
и социальной защиты
Российской Федерации
от 30 июля 2024 г. N 377н
1. Оценка эффективности реализации индивидуальной программы реабилитации и абилитации инвалида (ребенка-инвалида) (далее - ИПРА) включает в себя реализацию мероприятий и оказание услуг по отдельным основным направлениям комплексной реабилитации и абилитации и рассчитывается как интегральный показатель в процентах по формуле:
P - критерий полноты реализации мероприятий и оказания услуг по отдельным основным направлениям комплексной реабилитации и абилитации, включенных в ИПРА;
R - критерий достижения практических результатов реализации мероприятий и оказания услуг по отдельным основным направлениям комплексной реабилитации и абилитации, включенных в ИПРА;
D - критерий достижения поставленных целей ИПРА в результате реализации мероприятий и оказания услуг по отдельным основным направлениям комплексной реабилитации и абилитации, включенных в ИПРА.
2. Под критерием полноты реализации мероприятий и оказания услуг по отдельным основным направлениям комплексной реабилитации и абилитации, включенных в ИПРА, понимается итоговое исполнение мероприятий и услуг по основным направлениям комплексной реабилитации и абилитации, включенных в ИПРА, при ее реализации.
Критерий полноты реализации мероприятий и оказания услуг по отдельным основным направлениям комплексной реабилитации и абилитации, включенных в ИПРА, рассчитывается по формуле:
b - количество фактически реализованных мероприятий и оказанных услуг по отдельным основным направлениям комплексной реабилитации и абилитации (сумма баллов из графы 4 приложения к критериям оценки эффективности реализации ИПРА (далее - критерии);
a - количество мероприятий и услуг по отдельным основным направлениям комплексной реабилитации и абилитации, отметка о нуждаемости в которых содержится в ИПРА (сумма баллов из графы 3 приложения к критериям).
Оценка результатов критерия полноты реализации мероприятий и оказания услуг по отдельным основным направлениям комплексной реабилитации и абилитации, включенных в ИПРА, осуществляется по следующим показателям:
3. Под критерием достижения практических результатов реализации мероприятий и оказания услуг по отдельным основным направлениям комплексной реабилитации и абилитации, включенных в ИПРА, понимается полученный результат фактической реализации мероприятий и оказания услуг по комплексной реабилитации и абилитации инвалидов, включенных в ИПРА.
Критерий достижения практических результатов реализации мероприятий и оказания услуг по отдельным основным направлениям комплексной реабилитации и абилитации, включенных в ИПРА, рассчитывается по формуле:
c - результаты фактически реализованных мероприятий и оказанных услуг по отдельным основным направлениям комплексной реабилитации и абилитации, включенных в ИПРА (сумма баллов из графы 5 приложения к критериям);
b - количество фактически реализованных мероприятий и оказанных услуг по отдельным основным направлениям комплексной реабилитации и абилитации, включенных в ИПРА (сумма баллов из графы 4 приложения к критериям).
Оценка результатов критерия достижения практических результатов реализованных мероприятий и оказанных услуг по отдельным основным направлениям комплексной реабилитации и абилитации, включенных в ИПРА, осуществляется по следующим показателям:
4. Под критерием достижения поставленных целей ИПРА в результате реализации мероприятий и оказания услуг по отдельным основным направлениям комплексной реабилитации и абилитации, включенных в ИПРА, понимается итоговое достижение целей ИПРА (восстановление или компенсация нарушенных функций организма инвалида (ребенка-инвалида), восстановление или формирование способностей инвалида (ребенка-инвалида) к выполнению определенных видов деятельности) в результате реализации мероприятий и оказания услуг по отдельным основным направлениям комплексной реабилитации и абилитации, включенных в ИПРА.
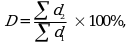
Критерий достижения поставленных целей ИПРА в результате реализации мероприятий и оказания услуг по отдельным основным направлениям комплексной реабилитации и абилитации, включенным в ИПРА, рассчитывается по формуле:
d2 - результат фактического достижения цели ИПРА в результате реализации мероприятий и оказания услуг по отдельным основным направлениям комплексной реабилитации и абилитации, включенных в ИПРА (графа 7 приложения к критериям);
d1 - цель, определенная в ИПРА для реализации мероприятий и оказания услуг по отдельным основным направлениям комплексной реабилитации и абилитации (графа 6 приложения к критериям).
Оценка результатов достижения целей реабилитации, определенных в ИПРА, осуществляется по следующим показателям:
5. Оценка эффективности реализации ИПРА осуществляется по следующим показателям:
- Гражданский кодекс (ГК РФ)
- Жилищный кодекс (ЖК РФ)
- Налоговый кодекс (НК РФ)
- Трудовой кодекс (ТК РФ)
- Уголовный кодекс (УК РФ)
- Бюджетный кодекс (БК РФ)
- Арбитражный процессуальный кодекс
- Конституция РФ
- Земельный кодекс (ЗК РФ)
- Лесной кодекс (ЛК РФ)
- Семейный кодекс (СК РФ)
- Уголовно-исполнительный кодекс
- Уголовно-процессуальный кодекс
- Производственный календарь на 2025 год
- МРОТ 2026
- ФЗ «О банкротстве»
- О защите прав потребителей (ЗОЗПП)
- Об исполнительном производстве
- О персональных данных
- О налогах на имущество физических лиц
- О средствах массовой информации
- Производственный календарь на 2026 год
- Федеральный закон "О полиции" N 3-ФЗ
- Расходы организации ПБУ 10/99
- Минимальный размер оплаты труда (МРОТ)
- Календарь бухгалтера на 2026 год
- Частичная мобилизация: обзор новостей
- Постановление Правительства РФ N 1875



