к Указанию Банка России
от 12 февраля 2024 года N 6681-У
"О требованиях к осуществлению
брокерской деятельности при
совершении брокером отдельных
сделок за счет клиента"
1. НПР1 рассчитывается по формуле:
S - стоимость портфеля клиента, рассчитываемая в соответствии с пунктом 3 настоящего приложения;
М0 - размер начальной маржи, рассчитываемый в соответствии с пунктом 18 или пунктом 37 настоящего приложения;
Sблок - значение показателя, рассчитываемое по формуле:
Qj,0 - сумма денежных средств в единицах j-й валюты в составе портфеля клиента, в отношении которых было установлено ограничение распоряжения (включая денежные средства в единицах j-й валюты, на которые наложен арест, или распоряжение которыми ограничено на основании решения органа государственной власти, или ограничение распоряжения которыми установлено вследствие недружественных действий иностранных государств, международных организаций, иностранных финансовых организаций, в том числе связанных с введением ограничительных мер в отношении Российской Федерации, российских юридических лиц и граждан Российской Федерации (далее - недружественные действия);
Qi - количество i-х ценных бумаг или i-х драгоценных металлов в составе портфеля клиента, в отношении которых было установлено ограничение распоряжения (включая i-е ценные бумаги, i-е драгоценные металлы, на которые наложен арест, или распоряжение которыми ограничено на основании решения органа государственной власти, или ограничение распоряжения которыми установлено вследствие недружественных действий).
При исчислении показателя Qi не учитываются следующие ценные бумаги, ограничение распоряжения которыми установлено исключительно вследствие недружественных действий:
ценные бумаги, предусмотренные подпунктами 2.4 и 2.5 пункта 2 Указания Банка России от 9 января 2023 года N 6347-У "О ценных бумагах и производных финансовых инструментах, предназначенных для квалифицированных инвесторов" <5>;
--------------------------------
<5> Зарегистрировано Минюстом России 3 марта 2023 года, регистрационный N 72509.
еврооблигации, обязательства по которым исполняются в соответствии с Указом Президента Российской Федерации от 5 июля 2022 года N 430 "О репатриации резидентами - участниками внешнеэкономической деятельности иностранной валюты и валюты Российской Федерации";
еврооблигации Российской Федерации, обязательства по которым исполняются в соответствии с Указом Президента Российской Федерации от 9 сентября 2023 года N 665 "О временном порядке исполнения перед резидентами и иностранными кредиторами государственных долговых обязательств Российской Федерации, выраженных в государственных ценных бумагах, номинальная стоимость которых указана в иностранной валюте, и иных обязательств по иностранным ценным бумагам";
Pi,j - цена i-й ценной бумаги или i-го драгоценного металла, выраженная в j-й валюте, определенная в соответствии с пунктом 16 настоящего приложения;
FXRatej - курс j-й иностранной валюты по отношению к рублю, определяемый в соответствии с пунктом 17 настоящего приложения. В случае если j-й валютой является рубль, значение показателя FXRatej принимается равным 1.
2. НПР2 рассчитывается по формуле:
S - стоимость портфеля клиента, рассчитываемая в соответствии с пунктом 3 настоящего приложения;
Мx - размер минимальной маржи, рассчитываемый в соответствии с пунктом 18 настоящего приложения.
3. Стоимость портфеля клиента S рассчитывается с учетом ограничения, указанного в пункте 19 настоящего приложения, по формуле:
Qi - значение плановой позиции по i-й ценной бумаге, денежным средствам в единицах i-й валюты, i-му драгоценному металлу или по правам предъявить требование по опционным договорам, не предусматривающим уплату сторонами вариационной маржи, права управомоченной стороны по которым, в том числе в отношении цены исполнения, одинаковы (далее при совместном упоминании - i-е имущество), рассчитываемое по формуле, предусмотренной в пункте 4 настоящего приложения;
I - количество значений плановых позиций в расчете стоимости указанного портфеля клиента;
Pi,j - цена (курс) i-го имущества в j-й валюте, определенная (определенный) в соответствии с пунктом 16 настоящего приложения;
FXRatej - курс j-й иностранной валюты по отношению к рублю, определяемый в соответствии с пунктом 17 настоящего приложения. В случае если j-й валютой является рубль, значение показателя FXRatej принимается равным 1.
4. Значение плановой позиции Qi по i-му имуществу рассчитывается по формуле:
Ai - значение показателя, рассчитываемое в соответствии с пунктами 6 - 8 настоящего приложения;
Li - значение показателя, рассчитываемое в соответствии с пунктами 9 - 11 настоящего приложения.
5. В случае если i-я ценная бумага, или i-я иностранная валюта, или i-й драгоценный металл не входит в перечень ликвидного имущества, значение плановой позиции Qi по ним принимается равным 0 при положительной разнице между значением показателя Ai и значением показателя Li, рассчитываемыми по указанному имуществу в соответствии с пунктами 6 и 7, 9 и 10 настоящего приложения соответственно.
В случае если в перечне ликвидного имущества предусмотрена кратность количества i-го имущества его минимальному объему и в пределах указанного количества положительное значение плановой позиции не принимается равным 0, положительное значение плановой позиции Qi по такому имуществу принимается равным количеству этого имущества, кратному его минимальному объему.
Положительное значение плановой позиции Qi по i-й ценной бумаге, i-й иностранной валюте или i-му драгоценному металлу используется при расчете НПР1 и НПР2 не ранее дня размещения брокером на своем сайте перечня ликвидного имущества (предоставления в соответствии с договором о брокерском обслуживании доступа к перечню ликвидного имущества), в который они включены, в соответствии с абзацем третьим (четвертым) пункта 6 настоящего Указания.
6. В случае если i-е имущество является денежными средствами в единицах i-й валюты, значение показателя Ai рассчитывается по формуле:
_ сумма денежных средств в единицах i-й валюты в составе портфеля клиента;
- сумма денежных средств в единицах i-й валюты, являющихся предметом n-го обязательства, исполнение которого принимается брокером в состав портфеля клиента;
- сумма вариационной маржи, условно подлежащая уплате в состав портфеля клиента, определяемая как величина денежной переоценки f-го фьючерсного договора (одного лота фьючерсного договора), выраженная в i-й валюте, рассчитываемая в порядке определения вариационной маржи, предусмотренном в спецификации этого фьючерсного договора и (или) в правилах клиринга, исходя из информации о текущей цене (расчетной цене) такого фьючерсного договора, рассчитанной на момент расчета НПР1 и НПР2, раскрываемой организатором торговли в соответствии с пунктом 7 приложения 4 к Положению Банка России N 437-П (далее - текущая расчетная цена);
- сумма вариационной маржи, условно подлежащая уплате в состав портфеля клиента, определяемая как величина денежной переоценки m-го опционного договора (одного лота опционного договора), выраженная в i-й валюте, рассчитываемая в порядке определения вариационной маржи, предусмотренном в спецификации этого опционного договора и (или) в правилах клиринга, исходя из информации о теоретической цене опционного договора, определенной организатором торговли на момент расчета НПР1 и НПР2 в соответствии с пунктом 8 приложения 2 к Положению Банка России N 437-П (далее - текущая теоретическая цена).
7. В случае если i-е имущество является i-й ценной бумагой или i-м драгоценным металлом, значение показателя Ai рассчитывается по формуле:
- остаток i-х ценных бумаг или i-х драгоценных металлов в составе портфеля клиента;
- количество i-х ценных бумаг или i-х драгоценных металлов, являющихся предметом n-го обязательства, исполнение которого принимается брокером в состав портфеля клиента.
8. В случае если i-е имущество является правами предъявить требование по опционным договорам, не предусматривающим уплату сторонами вариационной маржи, права управомоченной стороны по которым, в том числе в отношении цены исполнения, одинаковы, значение показателя Ai рассчитывается по формуле:
- количество опционных договоров, не предусматривающих уплату сторонами вариационной маржи, права управомоченной стороны по которым, в том числе в отношении цены исполнения, одинаковы и приобретены в состав портфеля клиента.
9. В случае если i-е имущество является денежными средствами в единицах i-й валюты, значение показателя Li рассчитывается по формуле:
- сумма денежных средств в единицах i-й валюты, являющихся предметом k-го обязательства, исполнение которого должно осуществляться за счет имущества, входящего в состав портфеля клиента;
- значение показателя, рассчитываемое в соответствии с пунктом 12 настоящего приложения, если использование данного показателя предусмотрено договором о брокерском обслуживании;
- значение показателя, рассчитываемое в соответствии с пунктами 13 и 15 настоящего приложения;
- сумма вариационной маржи, условно подлежащая уплате из денежных средств, входящих в состав портфеля клиента, определяемая как величина денежной переоценки f-го фьючерсного договора (одного лота фьючерсного договора), выраженная в i-й валюте, рассчитываемая в порядке определения вариационной маржи, предусмотренном в спецификации этого фьючерсного договора и (или) в правилах клиринга, исходя из информации о текущей расчетной цене такого фьючерсного договора, заключенного на организованных торгах;
- сумма вариационной маржи, условно подлежащая уплате из денежных средств, входящих в состав портфеля клиента, определяемая как величина денежной переоценки m-го опционного договора (одного лота опционного договора), выраженная в i-й валюте, рассчитываемая в порядке определения вариационной маржи, предусмотренном в спецификации этого опционного договора и (или) в правилах клиринга, исходя из информации о текущей теоретической цене такого опционного договора, заключенного на организованных торгах.
10. В случае если i-е имущество является i-й ценной бумагой или i-м драгоценным металлом, значение показателя Li рассчитывается по формуле:
- количество i-х ценных бумаг или i-х драгоценных металлов, являющихся предметом k-го обязательства, исполнение которого должно осуществляться за счет имущества, входящего в состав портфеля клиента;
- значение показателя, рассчитываемое в соответствии с пунктами 14 и 15 настоящего приложения.
11. В случае если i-е имущество является правами предъявить требование по опционным договорам, не предусматривающим уплату сторонами вариационной маржи, права управомоченной стороны по которым, в том числе в отношении цены исполнения, одинаковы, значение показателя Li рассчитывается по формуле:
- количество опционных договоров, не предусматривающих уплату сторонами вариационной маржи, права управомоченной стороны по которым, в том числе в отношении цены исполнения, одинаковы и уплаченные брокеру цены по которым включены в состав портфеля клиента.
12. Показатель
включает в себя суммы вознаграждений и (или) возмещения (оплаты) расходов в единицах i-й валюты, на которые брокер вправе рассчитывать по договору о брокерском обслуживании.
13. В случае если i-е имущество является денежными средствами в единицах i-й валюты, значение показателя
рассчитывается как сумма денежных средств, выраженных в единицах i-й валюты, поступивших в состав портфеля клиента от третьего лица, за исключением следующих лиц:
профессионального участника рынка ценных бумаг;
управляющей компании инвестиционных фондов, паевых инвестиционных фондов и негосударственных пенсионных фондов;
акционерного инвестиционного фонда;
иностранного юридического лица, осуществляющего в соответствии с его личным законом деятельность, аналогичную деятельности, осуществляемой лицами, предусмотренными абзацами вторым - пятым настоящего пункта, предоставившего письменное заверение о том, что в соответствии с его личным законом оно имеет право на осуществление соответствующего вида деятельности, подписанное уполномоченным лицом этого юридического лица;
эмитента ценных бумаг при выплате дохода по ценным бумагам;
юридического лица, не указанного в абзацах втором - седьмом настоящего пункта, если сумма денежных средств поступила от него по договору, не являющемуся договором займа, кредитным договором либо договором брокера, его клиента и указанного юридического лица, предусматривающим предоставление клиенту юридическим лицом денежных средств на возвратной основе и передачу этому лицу брокером информации о находящемся у него в распоряжении имуществе клиента в полном объеме для расчета всех показателей, предусмотренных настоящим приложением.
14. В случае если i-е имущество является i-й ценной бумагой или i-м драгоценным металлом, значение показателя
рассчитывается как количество i-го имущества, поступившего клиенту от третьего лица по договору займа либо по договору брокера, его клиента и указанного юридического лица, предусматривающему предоставление клиенту юридическим лицом имущества на возвратной основе и передачу этому лицу брокером информации о находящемся у него в распоряжении имуществе клиента в полном объеме для расчета всех показателей, предусмотренных настоящим приложением. Ценные бумаги и драгоценные металлы, указанные в настоящем пункте, не принимаются в расчет показателя
, если они учтены в показателе
.
15. Значения показателей, рассчитываемых согласно пунктам 13 и 14 настоящего приложения, уменьшаются соответственно на сумму денежных средств, количество ценных бумаг или количество драгоценных металлов, возвращенных третьему лицу, от которого клиенту поступили указанные денежные средства, ценные бумаги или драгоценные металлы, при условии наличия у брокера документов, подтверждающих их возврат.
16. Цена i-го имущества Pi,j определяется исходя из информации о цене последнего заключенного договора с указанным имуществом, предоставляемой организатором торговли, предусмотренным договором о брокерском обслуживании, участникам торгов в соответствии с подпунктом 1.3 пункта 1 приложения 4 к Положению Банка России N 437-П, за исключением случаев, указанных в абзацах втором, третьем, пятом, шестом и седьмом настоящего пункта.
Цена одной i-й ценной бумаги иностранного эмитента Pi,j определяется исходя из информации о цене последнего договора с i-й ценной бумагой, заключенного на торгах иностранного организатора торговли (иностранной биржи), предоставляемой указанным организатором торговли (иностранной биржей) участникам торгов, при условии, что в договоре о брокерском обслуживании указан иностранный организатор торговли (иностранная биржа), по информации которого (которой) определяется цена ценной бумаги.
Цена одной i-й ценной бумаги Pi,j определяется по средней цене на основе цены лучшей котировки на покупку и цены лучшей котировки на продажу i-й ценной бумаги, информация о которых опубликована в информационной системе "Блумберг" (Bloomberg) или в информационной системе "Рефинитив" (Refinitiv) либо предоставлена НКО АО НРД, или АО "Интерфакс", или ООО "Сбондс.ру" на момент определения Pi,j, при условии, что указанная ценная бумага является облигацией и в договоре о брокерском обслуживании указаны информационная система "Блумберг" (Bloomberg), информационная система "Рефинитив" (Refinitiv), НКО АО НРД, АО "Интерфакс", ООО "Сбондс.ру", по информации которых определяется цена облигаций, а также условное обозначение котировок, применяемое для их идентификации.
Цена одной i-й ценной бумаги, являющейся облигацией, Pi,j определяется с учетом накопленного по ней процентного (купонного) дохода.
Курс i-й валюты Pi,j по отношению к j-й валюте определяется по правилам определения курса j-й валюты к рублю, предусмотренным в пункте 17 настоящего приложения.
Цена i-го опционного договора Pi,j, условия которого соответствуют пункту 53 настоящего приложения и не предусматривают уплату сторонами вариационной маржи, определяется в соответствии с пунктом 54 настоящего приложения либо определяется исходя из информации о текущей теоретической цене опционного договора.
Цена i-го опционного договора Pi,j, условия которого не соответствуют пункту 53 настоящего приложения и не предусматривают уплату сторонами вариационной маржи, принимается равной 0, если иное не предусмотрено договором о брокерском обслуживании.
17. Значения показателя FXRatej определяются исходя из информации о последнем курсе j-й иностранной валюты по отношению к рублю, сложившемся в ходе организованных торгов иностранной валютой, проводимых российским организатором торговли, за исключением случаев, предусмотренных абзацами вторым и третьим настоящего пункта.
В случае если в соответствии с условиями договора, заключенного за счет имущества, входящего в состав портфеля клиента, денежные обязательства, выраженные в j-й иностранной валюте, исполняются в рублях по фиксированному курсу, известному сторонам договора, показатель FXRatej принимает значение указанного фиксированного курса с момента, в который он был опубликован, либо, если это предусмотрено договором о брокерском обслуживании, с момента, когда он стал известен брокеру.
В случае если j-я иностранная валюта не допущена к организованным торгам российским организатором торговли, значения показателя FXRatej определяются исходя из курса j-й иностранной валюты по отношению к рублю или к иной допущенной к организованным торгам российским организатором торговли валюте, информация о котором опубликована в информационной системе "Блумберг" (Bloomberg) или в информационной системе "Рефинитив" (Refinitiv) либо предоставлена НКО АО НРД, или АО "Интерфакс", или ООО "Сбондс.ру". В случае если курс j-й иностранной валюты выражен в иной иностранной валюте (далее - кросс-курс), значение показателя FXRatej определяется в отношении последней в соответствии с абзацем первым настоящего пункта.
В случае отсутствия курса (кросс-курса) j-й иностранной валюты к иной иностранной валюте значение показателя FXRatej определяется исходя из официального курса иностранной валюты по отношению к рублю, установленного Банком России в соответствии с пунктом 15 статьи 4 Федерального закона от 10 июля 2002 года N 86-ФЗ "О Центральном банке Российской Федерации (Банке России)", на момент расчета стоимости портфеля клиента S, размера начальной маржи M0 и размера минимальной маржи Mx.
18. В случае если иное не предусмотрено пунктом 37 настоящего приложения, размер начальной маржи M0 и размер минимальной маржи Mx рассчитываются в отношении каждого портфеля клиента по формулам:
Rj - размер рыночного риска портфеля, выраженный в j-й валюте, рассчитанный в соответствии с пунктом 19 настоящего приложения, если иное не предусмотрено пунктами 23 и 27 настоящего приложения;
FXRatej - курс j-й иностранной валюты по отношению к рублю, определяемый в соответствии с пунктом 17 настоящего приложения. В случае если j-й валютой является рубль, значение показателя FXRatej принимается равным 1.
19. В случае если иное не предусмотрено пунктами 23 и 27 настоящего приложения, размер рыночного риска Rj рассчитывается по формуле:
,
и
- значения показателей, рассчитываемые в соответствии с пунктами 20 - 22 настоящего приложения;
- значение показателя в отношении опционных договоров, условия которых не соответствуют пункту 53 настоящего приложения и не предусматривают уплату сторонами вариационной маржи, определяемое брокером в соответствии с договором о брокерском обслуживании при соблюдении следующих ограничений:
Qi - количество опционных договоров, права управомоченной стороны по которым, в том числе в отношении цены исполнения, одинаковы (далее - опционные договоры i-й категории), условия которых не соответствуют пункту 53 настоящего приложения и не предусматривают уплату сторонами вариационной маржи;
Pi,j - цена опционного договора i-й категории, выраженная в j-й валюте, определенная в соответствии с пунктом 16 настоящего приложения.
20. Значение показателя
рассчитывается по формулам:
20.1.
- для Qi, являющегося значением плановой позиции по i-й иностранной валюте, выраженной в j-й иностранной валюте, или плановой позиции по i-й ценной бумаге, цена которой выражена в j-й валюте, или плановой позиции по i-му драгоценному металлу, цена которого выражена в j-й валюте,
D - показатель, указанный в пункте 33 настоящего приложения, если иное не предусмотрено пунктом 34 или пунктом 35 настоящего приложения;
Pi,j - цена (курс) i-го имущества в j-й валюте, определенная (определенный) в соответствии с пунктом 16 настоящего приложения;
Wi,n - принимается равным 1, если иное не предусмотрено пунктом 24 настоящего приложения.
20.2.
- для Qi, являющегося количеством фьючерсных договоров, заключенных на условиях одной и той же спецификации, базисные активы и сроки исполнения которых совпадают (далее - фьючерсные договоры i-го вида). При этом Qi рассчитывается как разница между количеством фьючерсных договоров i-го вида, предусматривающих уплату вариационной маржи в состав портфеля клиента при увеличении цены фьючерсного договора, и количеством фьючерсных договоров i-го вида, предусматривающих уплату вариационной маржи в состав портфеля клиента при уменьшении цены фьючерсного договора,
Pi,j - текущая расчетная цена фьючерсного договора i-го вида, выраженная в j-й валюте, сложившаяся на организованных торгах;
D - показатель, указанный в пункте 33 настоящего приложения, если иное не предусмотрено пунктом 34 или пунктом 35 настоящего приложения;
VM(Pi,j; D) - значение, которое принимает функция выплаты вариационной маржи по фьючерсному договору i-го вида при изменении текущей расчетной цены Pi,j такого фьючерсного договора, выраженной в j-й валюте, на величину произведения этой цены и значения показателя D в j-й валюте, предусмотренного настоящим пунктом. Функция выплаты вариационной маржи рассчитывается исходя из спецификации фьючерсного договора i-го вида;
Wi,n - принимается равным 1, если иное не предусмотрено пунктом 24 настоящего приложения.
20.3.
- для Qi, являющегося значением плановой позиции по i-й иностранной валюте, выраженной в рублях,
FXRatei - курс i-й иностранной валюты по отношению к рублю, определяемый в соответствии с пунктом 17 настоящего приложения.
D - показатель, указанный в пункте 33 настоящего приложения, если иное не предусмотрено пунктом 34 или пунктом 35 настоящего приложения;
Wi,n - принимается равным 1, если иное не предусмотрено пунктом 24 настоящего приложения;
QRi - количество i-й иностранной валюты, являющейся источником валютного риска вследствие того, что в единицах i-й иностранной валюты выражена цена (курс) g-го имущества. Значение QRi рассчитывается по формуле:
Qg - плановая позиция по g-й ценной бумаге, плановая позиция по g-й иностранной валюте, плановая позиция по g-му драгоценному металлу, количество опционных договоров g-й категории, условия которых соответствуют пункту 53 настоящего приложения и не предусматривают уплату сторонами вариационной маржи, цена (курс) которых выражена (выражен) в i-й иностранной валюте;
Pg,i - цена (курс) g-го имущества в i-й иностранной валюте, определенная в соответствии с пунктом 16 настоящего приложения;
Ri - размер рыночного риска, выраженный в i-й иностранной валюте, рассчитанный в соответствии с пунктом 19 настоящего приложения, если иное не предусмотрено пунктами 23 и 27 настоящего приложения;
Wg,n - принимается равным 1, если иное не предусмотрено пунктом 24 настоящего приложения.
21. Значение показателя
рассчитывается по формулам:
21.1.
- для Qi, являющегося количеством опционных договоров i-й категории, предусматривающих уплату сторонами вариационной маржи. При этом Qi рассчитывается как разница между количеством опционных договоров i-й категории, предусматривающих уплату вариационной маржи в состав портфеля клиента при увеличении цены такого опционного договора, и количеством опционных договоров i-й категории, предусматривающих уплату вариационной маржи в состав портфеля клиента при уменьшении цены такого опционного договора,
- цена базисного актива опционного договора i-й категории, выраженная в j-й валюте, определенная в соответствии с пунктом 16 настоящего приложения, либо, если базисным активом является фьючерсный договор, текущая расчетная цена указанного фьючерсного договора, сложившаяся на организованных торгах;
- выраженное в долях единицы значение теоретической волатильности цены базисного актива опционного договора, рассчитываемое по формулам, предусмотренным в пункте 54 настоящего приложения;
D - показатель, указанный в пункте 33 настоящего приложения, если иное не предусмотрено пунктом 34 или пунктом 35 настоящего приложения;
- коэффициент корректировки значения волатильности, указанный в пункте 36 настоящего приложения;
- значение, которое принимает функция выплаты вариационной маржи по опционному договору i-й категории при изменении текущей цены базисного актива
такого опционного договора, выраженной в j-й валюте, на величину произведения этой цены и значения показателя D в j-й валюте, предусмотренного настоящим пунктом, а также при изменении теоретической волатильности
, использованной для расчета вариационной маржи, на величину произведения этой волатильности и значения коэффициента
, указанного в пункте 36 настоящего приложения. Функция выплаты вариационной маржи рассчитывается исходя из спецификации опционного договора i-й категории;
Wi,n - принимается равным 1, если иное не предусмотрено пунктом 24 настоящего приложения.
21.2.
- для Qi, являющегося количеством опционных договоров i-й категории, условия которых соответствуют пункту 53 настоящего приложения и не предусматривают уплату сторонами вариационной маржи. При этом Qi рассчитывается как разница между количеством опционных договоров i-й категории, по которым цена опционного договора уплачена из портфеля клиента, и количеством опционных договоров i-й категории, по которым цена опционного договора уплачена в состав портфеля клиента,
- цена базисного актива опционного договора i-й категории, выраженная в j-й валюте, определенная в соответствии с пунктом 16 настоящего приложения, либо, если базисным активом является фьючерсный договор, текущая расчетная цена указанного фьючерсного договора, сложившаяся на организованных торгах;
- выраженное в долях единицы значение теоретической волатильности цены базисного актива опционного договора, рассчитываемое по формулам, предусмотренным в пункте 54 настоящего приложения;
D - показатель, указанный в пункте 33 настоящего приложения, если иное не предусмотрено пунктом 34 или пунктом 35 настоящего приложения;
- коэффициент корректировки значения волатильности, указанный в пункте 36 настоящего приложения;
- теоретическая цена опционного договора i-й категории, не предусматривающего уплату сторонами вариационной маржи, определенная в соответствии с пунктом 54 настоящего приложения в сценарии изменения цены базисного актива
указанного опционного договора, выраженной в j-й валюте, на величину произведения этой цены базисного актива и значения показателя D в j-й валюте, предусмотренного настоящим пунктом, а также изменения теоретической волатильности
, использованной для расчета указанной теоретической цены, на величину произведения этой волатильности и значения коэффициента
, указанного в пункте 36 настоящего приложения;
- теоретическая цена опционного договора i-й категории, не предусматривающего уплату сторонами вариационной маржи, определенная в соответствии с пунктом 54 настоящего приложения;
Wi,n - принимается равным 1, если иное не предусмотрено пунктом 24 настоящего приложения.
22. Значение показателя
рассчитывается по формуле:
Kcall - совокупность категорий опционных договоров, предусматривающих приобретение управомоченной стороной выгод по опционному договору при цене базисного актива выше цены исполнения опционного договора, заключенных за счет портфеля клиента, базисным активом которых является k-я иностранная валюта, k-я ценная бумага, k-й драгоценный металл или фьючерсный договор k-го вида;
Kput - совокупность категорий опционных договоров, предусматривающих приобретение управомоченной стороной выгод по опционному договору при цене базисного актива ниже цены исполнения опционного договора, заключенных за счет портфеля клиента, базисным активом которых является k-я иностранная валюта, k-я ценная бумага, k-й драгоценный металл или фьючерсный договор k-го вида;
Qi,k - количество опционных договоров i-й категории, базисным активом которых является k-я иностранная валюта, k-я ценная бумага, k-й драгоценный металл или фьючерсный договор k-го вида. Для опционных договоров, не предусматривающих уплату сторонами вариационной маржи, Qi,k рассчитывается как разница между количеством опционных договоров i-й категории, по которым цена опционного договора подлежит уплате из портфеля клиента, и количеством опционных договоров i-й категории, по которым цена опционного договора подлежит уплате в состав портфеля клиента. Для опционных договоров, предусматривающих уплату сторонами вариационной маржи, Qi,k рассчитывается как разница между количеством опционных договоров i-й категории, предусматривающих уплату вариационной маржи в состав портфеля клиента при увеличении цены такого опционного договора, и количеством опционных договоров i-й категории, предусматривающих уплату вариационной маржи в состав портфеля клиента при уменьшении цены такого опционного договора;
Qk - значение плановой позиции по k-й иностранной валюте, k-й ценной бумаге, k-му драгоценному металлу или количество фьючерсных договоров k-го вида, рассчитанное в соответствии с подпунктом 20.2 пункта 20 настоящего приложения, являющихся базисным активом k опционного договора i-й категории;
Vi,k - количество единиц базисного актива k, предусмотренного опционным договором i-й категории;
Wi,n - принимается равным 1, если иное не предусмотрено пунктом 24 настоящего приложения;
Wk,n - принимается равным 1, если иное не предусмотрено пунктом 24 настоящего приложения;
,
- начальные ставки риска в j-й валюте, значения которых, если иное не предусмотрено настоящим приложением, рассчитываются в соответствии с пунктами 39 - 42 настоящего приложения в отношении k-й иностранной валюты, k-й ценной бумаги, k-го драгоценного металла или фьючерсных договоров k-го вида, являющихся базисным активом k опционного договора i-й категории;
Pk,j - цена (курс) k-й иностранной валюты, k-й ценной бумаги, k-го драгоценного металла или фьючерсных договоров k-го вида, являющихся базисным активом k опционного договора i-й категории, выраженная (выраженный) в j-й валюте, определенная (определенный) в соответствии с пунктом 16 и подпунктом 20.2 пункта 20 настоящего приложения;
- коэффициент, значение которого принимается равным 0,1, если договором о брокерском обслуживании не определено более высокое значение.
23. В случае если это предусмотрено договором о брокерском обслуживании, брокер рассчитывает размер начальной маржи M0 исходя из наличия зависимости между изменениями цен ценных бумаг, цен драгоценных металлов, курсов иностранных валют, цен фьючерсных договоров, цен базисных активов опционных договоров и изменением цены (курса, пунктов) иного имущества, иного фьючерсного договора или индекса (далее - базовый индикатор).
24. В случае, предусмотренном пунктом 23 настоящего приложения, брокер определяет набор множеств из имущества, включенного в состав портфеля клиента, фьючерсных и (или) опционных договоров, заключенных за счет указанного портфеля (далее - инструменты множества), доли Wi,n (Wg,n, Wk,n) i-го (g-го, k-го) имущества, объема фьючерсных договоров i-го (k-го) вида или объема опционных договоров i-й (g-й, k-й) категории, в которой они включены в каждое множество (далее - множество с зависимыми ценами Cn), а также соответствующие каждому множеству с зависимыми ценами Cn базовые индикаторы.
Доля Wi,0 i-х имущества, объема фьючерсных договоров i-го вида и объема опционных договоров i-й категории, не включенная брокером ни в одно из множеств с зависимыми ценами Cn, рассчитывается по формуле:
Wi,n - доля i-х инструментов множества, включенных в множество с зависимыми ценами Cn.
25. В одно множество с зависимыми ценами Cn по решению брокера инструменты множества включаются только при одновременном соблюдении следующих условий:
их цены (курсы) выражены в одной и той же валюте;
в отношении инструментов множества и базового индикатора множества с зависимыми ценами Cn рассчитаны относительные ставки риска в соответствии с пунктом 46 настоящего приложения.
26. Помимо условий, предусмотренных пунктом 25 настоящего приложения, опционные договоры могут быть включены в множество с зависимыми ценами Cn только в случае, если их условия соответствуют пункту 53 настоящего приложения, базисным активом таких опционных договоров является базовый индикатор этого множества с зависимыми ценами Cn и (или) фьючерсный договор, базисным активом которого является указанный базовый индикатор, а также в это множество с зависимыми ценами Cn включены только предусмотренные настоящим пунктом инструменты множества.
27. В случае, предусмотренном пунктом 23 настоящего приложения, размер рыночного риска Rj рассчитывается по формуле:
Rj,0 - размер рыночного риска, выраженный в j-й валюте, рассчитанный в соответствии с пунктом 19 настоящего приложения с учетом положений абзаца второго пункта 24 настоящего приложения в отношении i-й иностранной валюты, i-х ценных бумаг, i-х драгоценных металлов, фьючерсных договоров i-го вида и опционных договоров i-й категории, которые не включены брокером ни в одно из множеств с зависимыми ценами;
N - количество множеств с зависимыми ценами;
Rj,n - размер рыночного риска инструментов множества, включенных в множество с зависимыми ценами Cn, который рассчитывается по формуле:
размер рыночного риска инструментов множества, включенных в множество с зависимыми ценами Cn, рассчитанный в сценариях изменения цены (курса, пунктов) базового индикатора указанного множества в соответствии с пунктом 28 настоящего приложения;
- размер отклонения рыночного риска инструментов множества, включенных в множество с зависимыми ценами Cn, от рыночного риска базового индикатора указанного множества, рассчитанный в соответствии с пунктами 31 и 32 настоящего приложения.
28. Размер рыночного риска
рассчитывается по формуле:
Rx,j,n - размер рыночного риска инструментов множества, включенных в множество с зависимыми ценами Cn, рассчитанный в каждом x-м сценарии изменения цены (курса, пунктов) базового индикатора указанного множества. При этом изменения цены (курса, пунктов) базового индикатора в сценариях (x = 0 и x = M) определяются как значения показателя D, предусмотренные абзацами вторым и третьим пункта 34 настоящего приложения для каждого из указанных сценариев.
29. В случае если в множество с зависимыми ценами Cn не включены опционные договоры, значения показателя Rx,j,n определяются только в сценариях изменения цены (курса, пунктов) базового индикатора (x = 0 и x = M) по формуле:
- значение показателя, рассчитываемое для каждого i-го инструмента множества в соответствии с пунктом 20 настоящего приложения с учетом положений пункта 24 настоящего приложения;
SgnRi,j,n - показатель, характеризующий зависимость между изменениями цен i-го имущества или фьючерсного договора i-го вида и изменениями значений базового индикатора множества с зависимыми ценами Cn, выраженными в единицах j-й валюты, и принимающий следующие значения:
1 - при прямой зависимости между указанными изменениями цен (значений);
-1 - при обратной зависимости между указанными изменениями цен (значений).
30. В случае если в множество с зависимыми ценами Cn включены опционные договоры, изменения цены (курса, пунктов) базового индикатора в сценариях x
{1, ..., (M - 1)} определяются как значения показателя D, которые выше значения показателя D в сценарии x = 0 и ниже значения показателя D в сценарии x = M.
Количество сценариев x изменения цены (курса, пунктов) базового индикатора должно составлять не менее количества, определенного по формуле и округленного до 0 знаков после запятой по правилам математического округления:
и
- начальные ставки риска, предусмотренные абзацами вторым и третьим пункта 34 настоящего приложения.
Значение показателя Rx,j,n для множества с зависимыми ценами Cn, в которое включены опционные договоры, рассчитывается по формуле:
- значение показателя, рассчитываемое для каждого i-го инструмента множества, за исключением опционных договоров, в соответствии с пунктом 20 настоящего приложения с учетом положений пункта 24 настоящего приложения;
- значение показателя, рассчитываемое для опционных договоров i-й категории, включенных в множество с зависимыми ценами Cn, в соответствии с пунктом 21 настоящего приложения с учетом положений пункта 24 настоящего приложения;
SgnRi,j,n - показатель, предусмотренный пунктом 29 настоящего приложения;
SgnRj,n - показатель, характеризующий зависимость между изменениями цен базисного актива опционного договора i-й категории и изменениями значений базового индикатора множества с зависимыми ценами Cn, выраженными в единицах j-й валюты, и принимающий следующие значения:
1 - при прямой зависимости между указанными изменениями цен (значений);
-1 - при обратной зависимости между указанными изменениями цен (значений).
31. В случае если в множестве с зависимыми ценами Cn отсутствуют опционные договоры, значение показателя
рассчитывается по формуле:
- значение показателя, рассчитываемое для каждого i-го инструмента множества, за исключением опционных договоров, в соответствии с пунктом 20 настоящего приложения с учетом положений пункта 24 настоящего приложения.
32. В случае если в множество с зависимыми ценами Cn включены опционные договоры, значение показателя
рассчитывается по формуле:
s - совокупность опционных договоров с одинаковыми базисными активами и сроками исполнения, включенных в множество с зависимыми ценами Cn, которые заключены на условиях одной спецификации (на одних примерных условиях, утвержденных в соответствии с пунктом 1 статьи 51.5 Федерального закона от 22 апреля 1996 года N 39-ФЗ "О рынке ценных бумаг");
- доля i-х инструментов множества, одновременно являющихся базисным активом опционных договоров, включенных в совокупность s, определяемая брокером для указанных опционных договоров;
- значение показателя, рассчитываемое для множества с зависимыми ценами Cn в соответствии с пунктом 22 настоящего приложения;
- размер отклонения рыночного риска опционных договоров, включенных в совокупность s, от рыночного риска базового индикатора множества с зависимыми ценами Cn, рассчитываемый по формуле:
- значение показателя, рассчитываемое для каждого i-го инструмента множества, за исключением опционных договоров, в соответствии с пунктом 20 настоящего приложения с учетом положений пункта 24 настоящего приложения;
- начальная ставка риска или скорректированная величина ставки риска, определенная в соответствии с пунктом 34 настоящего приложения в отношении базового индикатора множества с зависимыми ценами Cn в сценарии, при котором
;
D - показатель, предусмотренный пунктом 35 настоящего приложения;
- коэффициент корректировки волатильности множества с зависимыми ценами Cn, при котором
;
- значение показателя, рассчитываемое по формулам:
- для Qk, являющегося количеством опционных договоров k-й категории, предусматривающих уплату сторонами вариационной маржи, включенных в совокупность s. При этом Qk рассчитывается как разница между количеством опционных договоров k-й категории, предусматривающих уплату вариационной маржи в состав портфеля клиента при увеличении цены такого опционного договора, и количеством опционных договоров k-й категории, предусматривающих уплату вариационной маржи в состав портфеля клиента при уменьшении цены такого опционного договора;
- значение, которое принимает функция выплаты вариационной маржи по опционному договору k-й категории при изменении текущей цены базисного актива
такого опционного договора, выраженной в j-й валюте, на величину произведения этой цены и значения показателя
в j-й валюте, а также при изменении теоретической волатильности
, использованной для расчета вариационной маржи, на величину произведения этой волатильности и значения коэффициента
, предусмотренного настоящим пунктом. Функция выплаты вариационной маржи рассчитывается исходя из спецификации опционного договора k-й категории;
- выраженное в долях единицы значение теоретической волатильности цены i-го инструмента множества, являющегося базисным активом опционного договора, включенного в совокупность s, рассчитываемое по формулам, предусмотренным в пункте 54 настоящего приложения;
Wk,n - доля опционных договоров k-й категории, включенных в совокупность s;
- для Qk, являющегося количеством опционных договоров k-й категории, не предусматривающих уплату сторонами вариационной маржи. При этом Qk рассчитывается как разница между количеством опционных договоров k-й категории, по которым цена опционного договора уплачена из портфеля клиента, и количеством опционных договоров k-й категории, по которым цена опционного договора уплачена в состав портфеля клиента;
- теоретическая цена опционного договора k-й категории, не предусматривающего уплату сторонами вариационной маржи, определенная в соответствии с пунктом 54 настоящего приложения в сценарии изменения цены базисного актива
указанного опционного договора, выраженной в j-й валюте, на величину произведения этой цены базисного актива и значения показателя
в j-й валюте, а также изменения теоретической волатильности
, использованной для расчета указанной теоретической цены, на величину произведения этой волатильности и значения коэффициента
, предусмотренного настоящим пунктом;
- теоретическая цена опционного договора k-й категории, не предусматривающего уплату сторонами вариационной маржи, определенная в соответствии с пунктом 54 настоящего приложения;
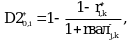
33. В случае если размер рыночного риска Rj рассчитывается в соответствии с пунктом 19 настоящего приложения, показатель D принимает следующие значения:
, где
- начальная ставка риска в j-й валюте, значение которой, если иное не предусмотрено настоящим приложением, рассчитывается в соответствии с пунктами 39 - 42 настоящего приложения в отношении i-й иностранной валюты (кроме иностранной валюты, выраженной в рублях), i-й ценной бумаги, i-го драгоценного металла или фьючерсного договора i-го вида при Qi > 0, если показатель Qi является соответственно значением плановой позиции по i-й иностранной валюте (кроме иностранной валюты, выраженной в рублях), по i-й ценной бумаге, по i-му драгоценному металлу или если показатель Qi является количеством фьючерсных договоров i-го вида, рассчитанным в соответствии с подпунктом 20.2 пункта 20 настоящего приложения;
, где
- начальная ставка риска, значение которой, если иное не предусмотрено настоящим приложением, рассчитывается в соответствии с пунктами 39 - 42 настоящего приложения в отношении i-й иностранной валюты, выраженной в рублях, при Qi + QRi > 0, если показатель Qi является значением плановой позиции по i-й иностранной валюте, выраженной в рублях;
, где
- начальная ставка риска в j-й валюте, значение которой, если иное не предусмотрено настоящим приложением, рассчитывается в соответствии с пунктами 39 - 42 настоящего приложения в отношении базисного актива опционного договора i-ой категории при Qi > 0, если показатель Qi является количеством опционных договоров i-й категории, предусматривающих приобретение управомоченной стороной выгод по опционному договору при цене базисного актива выше цены исполнения опционного договора, либо при Qi < 0, если показатель Qi является количеством опционных договоров i-й категории, предусматривающих приобретение управомоченной стороной выгод по опционному договору при цене базисного актива ниже цены исполнения опционного договора;
, где
- начальная ставка риска в j-й валюте, значение которой, если иное не предусмотрено настоящим приложением, рассчитывается в соответствии с пунктами 39 - 42 настоящего приложения в отношении i-й иностранной валюты (кроме иностранной валюты, выраженной в рублях), i-й ценной бумаги, i-го драгоценного металла или фьючерсного договора i-го вида при Qi < 0, если показатель Qi является соответственно значением плановой позиции по i-й иностранной валюте (кроме иностранной валюты, выраженной в рублях), по i-й ценной бумаге, по i-му драгоценному металлу или если показатель Qi является количеством фьючерсных договоров i-го вида, рассчитанным в соответствии с подпунктом 20.2 пункта 20 настоящего приложения;
, где
- начальная ставка риска, значение которой, если иное не предусмотрено настоящим приложением, рассчитывается в соответствии с пунктами 39 - 42 настоящего приложения в отношении i-й иностранной валюты, выраженной в рублях, при Qi + QRi < 0, если показатель Qi является значением плановой позиции по i-й иностранной валюте, выраженной в рублях;
, где
- начальная ставка риска в j-й валюте, значение которой, если иное не предусмотрено настоящим приложением, рассчитывается в соответствии с пунктами 39 - 42 настоящего приложения в отношении базисного актива опционного договора i-й категории при Qi < 0, если показатель Qi является количеством опционных договоров i-й категории, предусматривающих приобретение управомоченной стороной выгод по опционному договору при цене базисного актива выше цены исполнения опционного договора, либо при Qi > 0, если показатель Qi является количеством опционных договоров i-й категории, предусматривающих приобретение управомоченной стороной выгод по опционному договору при цене базисного актива ниже цены исполнения опционного договора.
34. В случае если размер рыночного риска Rj,n рассчитывается в соответствии с пунктом 27 настоящего приложения, показатель D принимает следующие значения:
, где
- начальная ставка риска в j-й валюте, значение которой, если иное не предусмотрено настоящим приложением, рассчитывается в соответствии с пунктами 39 - 42 настоящего приложения в отношении базового индикатора множества с зависимыми ценами Cn в сценарии x = 0;
, где
- начальная ставка риска в j-й валюте, значение которой, если иное не предусмотрено настоящим приложением, рассчитывается в соответствии с пунктами 39 - 42 настоящего приложения в отношении базового индикатора множества с зависимыми ценами Cn в сценарии x = M;
, где
- скорректированная величина ставки риска в j-й валюте, определенная в соответствии с пунктом 30 настоящего приложения в отношении базового индикатора множества с зависимыми ценами Cn в сценарии x
{1, ..., M - 1}.
35. В случае расчета показателя
, предусмотренного пунктами 31 и 32 настоящего приложения, показатель D принимает значение di,j,n, где di,j,n - относительная ставка риска в j-й валюте, значение которой, если иное не предусмотрено настоящим приложением, рассчитывается в соответствии с пунктами 46 - 48 настоящего приложения в отношении i-го инструмента множества, включенного в множество с зависимыми ценами Cn, и (или) в отношении i-го инструмента множества, включенного в множество с зависимыми ценами Cn, являющегося базисным активом опционного договора, включенного в указанное множество.
36. Коэффициент корректировки значения волатильности
принимает следующие значения:
(-0,3) при Qi > 0, если в договоре о брокерском обслуживании не определено меньшее значение;
0,3 при Qi < 0, если в договоре о брокерском обслуживании не определено большее значение.
37. В случае если это предусмотрено договором о брокерском обслуживании, брокер рассчитывает размер начальной маржи M0 по формуле:
ГО - сумма, рассчитываемая по правилам расчета размера индивидуального клирингового обеспечения, требуемого для обеспечения обязательств, исполнение которых осуществляется за счет портфеля клиента, с учетом риска обесценения имущества, включенного в состав указанного портфеля, и положений подпункта 38.4 пункта 38 настоящего приложения;
k - коэффициент, равный 1 (100%), если большее значение не предусмотрено договором о брокерском обслуживании.
38. Размер начальной маржи M0 рассчитывается в соответствии с пунктом 37 настоящего приложения только при одновременном соблюдении следующих условий:
38.1. В составе портфеля клиента отсутствуют плановые позиции, которые не включены в расчет ГО.
38.2. Значения плановых позиций, в отношении которых осуществляется расчет ГО, равны значениям плановых позиций в составе портфеля клиента, рассчитанным в соответствии с пунктом 4 настоящего приложения.
38.3. Расчет ГО осуществляется на момент принятия брокером каждого поручения от клиента и не реже одного раза в 10 минут торгового дня.
38.4. Параметры расчета рисков для расчета ГО заданы таким образом, чтобы обеспечить размер ГО в сумме не меньшей, чем требуемый размер индивидуального клирингового обеспечения, рассчитываемый клиринговой организацией в отношении портфеля клиента брокера в соответствии с параметрами расчета рисков, раскрытых на сайте клиринговой организации.
38.5. При расчете клиринговой организацией ГО использовались значения ставок риска, соответствующие требованиям настоящего приложения.
39. В случае если размер начальной маржи M0 рассчитывается в отношении портфеля клиента, отнесенного в соответствии с пунктами 28 и 34 настоящего Указания к категории клиентов с повышенным уровнем риска, значения начальных ставок риска
,
,
и
, значения начальных ставок риска
и
, значения начальных ставок риска
и
рассчитываются соответственно как значения начальных ставок риска
и
исходя из:
ставок и корректирующих указанные ставки коэффициентов, применяемых клиринговой организацией при осуществлении клиринга с участием центрального контрагента для определения размера обеспечения исполнения обязательств соответственно из сделки с i-м имуществом или фьючерсным договором i-го вида (за исключением коллективного клирингового обеспечения), требуемого в соответствии с правилами клиринга в отсутствие у него иных обязательств, допущенных к клирингу, если указанные ставки и корректирующие коэффициенты применяются клиринговой организацией;
ставок и корректирующих указанные ставки коэффициентов, рассчитанных клиринговой организацией в соответствии с требованиями абзаца второго пункта 40 настоящего приложения, но не применяемых клиринговой организацией при осуществлении клиринга с участием центрального контрагента, если клиринговая организация рассчитывает указанные ставки и корректирующие коэффициенты.
40. Ставки, предусмотренные абзацами вторым и третьим пункта 39 настоящего приложения (далее - ставки клиринговой организации), используются для определения размера начальной маржи M0 для клиентов, отнесенных брокером в соответствии с пунктами 28 и 34 настоящего Указания к категории клиентов с повышенным уровнем риска, если ставки клиринговой организации раскрываются на сайте клиринговой организации.
Ставка клиринговой организации используется для расчета размера начальной маржи M0 для клиентов, отнесенных брокером в соответствии с пунктом 28 и 34 настоящего Указания к категории клиентов с повышенным уровнем риска, если указанная ставка превышает соответственно изменения цены i-го имущества или изменения цены фьючерсного договора i-го вида (по модулю) за определенный период времени в течение одного года с доверительным интервалом не менее 99 процентов.
В случае если период, в течение которого фьючерсный договор i-го вида может быть заключен на организованных торгах, не превышает одного года по условиям спецификации этого фьючерсного договора, для расчета ставки риска может использоваться информация о цене иного фьючерсного договора при условии, что указанные фьючерсные договоры заключены на условиях одной и той же спецификации и базисные активы указанных фьючерсных договоров совпадают.
41. В случае если ставки клиринговой организации в отношении i-го имущества или фьючерсного договора i-го вида рассчитаны клиринговой организацией в валюте, отличной от j-й валюты, значения начальных ставок риска
и
рассчитываются по формулам:
- ставка клиринговой организации для случая уменьшения стоимости i-го имущества или цены фьючерсного договора i-го вида (в долях единицы), значение которой рассчитывается в k-й валюте;
- ставка клиринговой организации для случая увеличения стоимости i-го имущества или цены фьючерсного договора i-го вида (в долях единицы), значение которой рассчитывается в k-й валюте;
- ставка клиринговой организации для случая уменьшения курса k-й валюты (в долях единицы) по отношению к j-й валюте;
- ставка клиринговой организации для случая увеличения курса k-й валюты (в долях единицы) по отношению к j-й валюте.
42. В случае если в расчете ставки клиринговой организации указанный в абзаце втором пункта 40 период времени не равен 2 торговым дням, значения начальных ставок риска
и
рассчитываются по формулам:
и
- ставки клиринговой организации для случая уменьшения стоимости i-го имущества или цены фьючерсного договора i-го вида (в долях единицы) и для случая увеличения стоимости i-го имущества или цены фьючерсного договора i-го вида (в долях единицы);
T - период времени, определенный в расчете ставки клиринговой организации, исчисляемый в количестве торговых дней.
43. Для клиентов, отнесенных брокером в соответствии с пунктами 28 и 34 настоящего Указания к категории клиентов со стандартным уровнем риска, значения начальных ставок риска
,
,
и
, предусмотренные пунктом 33 настоящего приложения, значения начальных ставок риска
и
, предусмотренные пунктом 22 настоящего приложения, значения начальных ставок риска
и
, предусмотренные пунктом 34 настоящего приложения, рассчитываются соответственно как значения начальных ставок риска
и
по формулам:
и
- значения начальных ставок риска, которые рассчитываются в соответствии с пунктами 39 - 42 настоящего приложения.
44. Для клиентов, отнесенных брокером в соответствии с пунктом 28 настоящего Указания к категории клиентов с начальным уровнем риска, значения начальных ставок риска
,
,
и
, предусмотренные пунктом 33 настоящего приложения, значения начальных ставок риска
и
, предусмотренные пунктом 22 настоящего приложения, значения начальных ставок риска
и
, предусмотренные пунктом 34 настоящего приложения, рассчитываются соответственно как значения начальных ставок риска
и
по формулам:
и
- значения начальных ставок риска, которые рассчитываются в соответствии с пунктом 43 настоящего приложения.
45. В случае если i-й валютой является рубль, значение начальной ставки риска принимается равным 0.
46. Значение относительной ставки риска di,j,n применяется для клиентов, отнесенных брокером в соответствии с пунктами 28 и 34 настоящего Указания к категории клиентов с повышенным уровнем риска, при условии, что она рассчитана клиринговой организацией за установленный ею период времени в течение одного года с доверительным интервалом не менее 99 процентов для значений показателя
, где:
- относительное изменение выраженного в j-й валюте значения базового индикатора множества с зависимыми ценами Cn, рассчитанное за период времени, указанный в абзаце первом настоящего пункта;
- относительное изменение выраженной в j-й валюте цены i-го имущества или цены фьючерсного договора i-го вида, рассчитанное за тот же период времени, за который рассчитан показатель
;
SgnRi,j,n - показатель, предусмотренный пунктом 29 настоящего приложения.
47. В случае если период, указанный в абзаце первом пункта 46 настоящего приложения, не равен 2 торговым дням, значения относительных ставок риска di,j,n рассчитываются по формуле:
- относительная ставка риска (в долях единицы), рассчитанная для периода T;
T - период времени, за который рассчитываются значения показателей
и
, исчисляемый в количестве торговых дней.
48. Относительная ставка риска di,j,n используется для определения размера начальной маржи M0, если на сайте клиринговой организации раскрыта следующая информация:
сведения об имуществе, фьючерсном договоре или индексе, принятых клиринговой организацией в качестве базового индикатора, по отношению к которому определяются изменения цен i-го имущества или цен фьючерсных договоров i-го вида;
сведения о валюте, в которой выражен базовый индикатор (далее - валюта базового индикатора);
ставка клиринговой организации, рассчитанная в отношении базового индикатора в валюте базового индикатора;
относительная ставка риска в отношении i-го имущества или фьючерсного договора i-го вида в валюте базового индикатора и показатель направления зависимости между изменениями цен i-го имущества или фьючерсного договора i-го вида и изменениями значений базового индикатора.
49. Для клиентов, отнесенных брокером в соответствии с пунктами 28 и 34 настоящего Указания к категории клиентов со стандартным уровнем риска, значение относительной ставки риска di,j,n, предусмотренной пунктом 35 настоящего приложения, рассчитывается как значение относительной ставки риска d1i,j,n по формуле:
di,j,n - значение относительной ставки риска, которое рассчитывается в соответствии с пунктами 46 и 47 настоящего приложения.
50. Для клиентов, отнесенных брокером в соответствии с пунктом 28 настоящего Указания к категории клиентов с начальным уровнем риска, значение относительной ставки риска di,j,n, предусмотренной пунктом 35 настоящего приложения, рассчитывается как значение относительной ставки d0i,j,n по формуле:
d1i,j,n - значение относительной ставки риска, которое рассчитывается в соответствии с пунктом 49 настоящего приложения.
51. В случае если в отношении i-го имущества или фьючерсного договора i-го вида применяется или рассчитана более чем одна ставка клиринговой организации или если в отношении n-го базового индикатора и i-го имущества или фьючерсного договора i-го вида применяется или рассчитана более чем одна относительная ставка риска di,j,n, в том числе в связи с тем, что такие ставки применяются или рассчитаны несколькими клиринговыми организациями, брокер использует большую из указанных ставок, если иное не предусмотрено договором о брокерском обслуживании. При изменении значения ставки клиринговой организации или относительной ставки риска, которую брокер использовал для расчета размера начальной маржи M0, новое значение указанной ставки должно быть использовано брокером не позднее одного часа с момента ее раскрытия на сайте клиринговой организации или с момента предоставления брокеру клиринговой организацией сведений об указанной ставке.
52. По решению брокера для каждого отдельного портфеля клиента используются более высокие значения начальных ставок риска и относительных ставок риска по сравнению с начальными ставками риска и относительными ставками риска, предусмотренными настоящим приложением.
53. Цена опционного договора i-й категории, не предусматривающего уплату сторонами вариационной маржи, Pi,j рассчитывается в соответствии с пунктом 54 настоящего приложения, если указанный договор содержит:
фиксированную цену исполнения опционного договора;
безусловное право предъявить требование по опционному договору;
дату окончания срока опционного договора;
не более одного базисного актива, цена которого определяется в соответствии с пунктом 16 настоящего приложения и в отношении которого определена начальная ставка риска в соответствии с требованиями пункта 39 настоящего приложения.
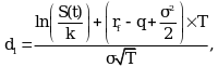
54. Цена опционного договора i-й категории, не предусматривающего уплату сторонами вариационной маржи, Pi,j признается равной теоретической цене опционного договора
и определяется брокером с использованием одной из следующих моделей определения теоретической цены опционных договоров, предусмотренной договором о брокерском обслуживании:
54.1. В соответствии с моделью 1 теоретическая цена опционного договора, предусматривающего приобретение управомоченной стороной выгод по опционному договору при цене базисного актива выше цены исполнения опционного договора Call(t), и теоретическая цена опционного договора, предусматривающего приобретение управомоченной стороной выгод по опционному договору при цене базисного актива ниже цены исполнения опционного договора Put(t), определяются по формулам:
- текущая рыночная стоимость базисного актива опционного договора i-й категории на момент времени t, выраженная в j-й валюте;
d1, d2 - коэффициенты, рассчитываемые по формулам:
k - цена исполнения опционного договора;
rf - безрисковая ставка в валюте базисного актива (в долях единицы). В случае если базисным активом опционного договора является фьючерсный договор, значение показателя rf принимается равным 0;
T - время от момента расчета теоретической цены опционного договора до момента окончания срока действия опционного договора (в годах);
q - дивидендная доходность акций, являющихся базисным активом опционного договора (в долях единицы), определяемая исходя из раскрытой эмитентом информации о начисленных (объявленных) и (или) выплаченных дивидендах либо из цен на акции или производные финансовые инструменты, базисным активом которых являются акции. В случае если базисным активом опционного договора не являются акции, значение показателя q принимается равным 0;
- значение теоретической волатильности цены базисного актива опционного договора i-й категории (в долях единицы);
N(d) - функция стандартного нормального распределения, заданная по формуле:
54.2. В соответствии с моделью 2 теоретическая цена опционного договора, предусматривающего приобретение управомоченной стороной выгод по опционному договору при цене базисного актива выше цены исполнения опционного договора Call(t), и теоретическая цена опционного договора, предусматривающего приобретение управомоченной стороной выгод по опционному договору при цене базисного актива ниже цены исполнения опционного договора Put(t), определяются по формулам:
- текущая рыночная стоимость базисного актива опционного договора i-й категории на момент времени t, выраженная в j-й валюте;
d - коэффициент, рассчитываемый по формуле:
k - цена исполнения опционного договора;
rf - безрисковая ставка в валюте базисного актива (в долях единицы). В случае если базисным активом опционного договора является фьючерсный договор, значение показателя rf принимается равным 0;
T - время от момента расчета теоретической цены опционного договора до момента окончания срока действия опционного договора (в годах);
q - дивидендная доходность акций, являющихся базисным активом опционного договора (в долях единицы), определяемая исходя из раскрытой эмитентом информации о начисленных (объявленных) и (или) выплаченных дивидендах либо из цен на акции или производные финансовые инструменты, базисным активом которых являются акции. В случае если базисным активом опционного договора не являются акции, значение показателя q принимается равным 0;
- значение теоретической волатильности цены базисного актива опционного договора i-й категории (в долях единицы);
N(d) - функция стандартного нормального распределения, заданная по формуле:
n(x) - функция плотности стандартного нормального распределения, заданная по формуле:
- Гражданский кодекс (ГК РФ)
- Жилищный кодекс (ЖК РФ)
- Налоговый кодекс (НК РФ)
- Трудовой кодекс (ТК РФ)
- Уголовный кодекс (УК РФ)
- Бюджетный кодекс (БК РФ)
- Арбитражный процессуальный кодекс
- Конституция РФ
- Земельный кодекс (ЗК РФ)
- Лесной кодекс (ЛК РФ)
- Семейный кодекс (СК РФ)
- Уголовно-исполнительный кодекс
- Уголовно-процессуальный кодекс
- Производственный календарь на 2025 год
- МРОТ 2025
- ФЗ «О банкротстве»
- О защите прав потребителей (ЗОЗПП)
- Об исполнительном производстве
- О персональных данных
- О налогах на имущество физических лиц
- О средствах массовой информации
- Производственный календарь на 2026 год
- Федеральный закон "О полиции" N 3-ФЗ
- Расходы организации ПБУ 10/99
- Минимальный размер оплаты труда (МРОТ)
- Календарь бухгалтера на 2025 год
- Частичная мобилизация: обзор новостей
- Постановление Правительства РФ N 1875
























при D = 0.



















