При прогнозировании количества ЧС в течение выбранного временного интервала применяем распределение Пуассона.
Распределение Пуассона - распределение случайной величины дискретного типа, представляющей собой число событий, произошедших за фиксированное время, при условии, что данные события происходят с некоторой фиксированной средней интенсивностью и независимо друг от друга.
Интенсивность потока
- среднее число событий, которые появляются в единицу времени (размерность [1/сут]).
Пусть
- некоторый промежуток времени (размерность [сут]), X - дискретная случайная величина, равная числу событий k пуассоновского потока интенсивности
в промежутке длительностью
.
При нахождении распределения дискретной случайной величины X с указанными свойствами используется теорема Пуассона, в соответствии со смыслом которой она имеет распределение Пуассона с параметром
:
При вычислениях значения множителя
рекомендуется использование разложения в ряд Маклорена для экспоненты:
Основным параметром в (1 - 2) является произведение
(безразмерная величина). В зависимости от его величины можно выделить три случая.
1. Величина параметра
достаточно велика (
порядка единицы или больше). В этом случае необходимо производить расчет по общей формуле (1).
2. Величина параметра
достаточно велика (
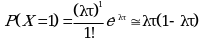
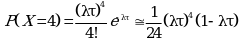
меньше или порядка единицы). В этом случае необходимо производить расчет по формуле (1) с подстановкой первых членов разложения (2):
3. Величина параметра
достаточно мала (
много меньше единицы). Также учитываем разложение (2), согласно которому для малых значений параметра справедливо приближение:
В данном случае для малых значений параметра также может применяться более точный расчет вероятностей числа событий k в течение времени
с использованием формулы Бернулли (рассмотрен ниже).
- Гражданский кодекс (ГК РФ)
- Жилищный кодекс (ЖК РФ)
- Налоговый кодекс (НК РФ)
- Трудовой кодекс (ТК РФ)
- Уголовный кодекс (УК РФ)
- Бюджетный кодекс (БК РФ)
- Арбитражный процессуальный кодекс
- Конституция РФ
- Земельный кодекс (ЗК РФ)
- Лесной кодекс (ЛК РФ)
- Семейный кодекс (СК РФ)
- Уголовно-исполнительный кодекс
- Уголовно-процессуальный кодекс
- Производственный календарь на 2025 год
- МРОТ 2025
- ФЗ «О банкротстве»
- О защите прав потребителей (ЗОЗПП)
- Об исполнительном производстве
- О персональных данных
- О налогах на имущество физических лиц
- О средствах массовой информации
- Производственный календарь на 2026 год
- Федеральный закон "О полиции" N 3-ФЗ
- Расходы организации ПБУ 10/99
- Минимальный размер оплаты труда (МРОТ)
- Календарь бухгалтера на 2025 год
- Частичная мобилизация: обзор новостей
- Постановление Правительства РФ N 1875
,
(1)
(2)
или 










