постановлением Правительства
Российской Федерации
от 6 июня 2024 г. N 774
1. Абзац третий пункта 2 признать утратившим силу.
2. Методику оценки социально-экономических эффектов от проектов строительства (реконструкции) и эксплуатации объектов транспортной инфраструктуры, планируемых к реализации с привлечением средств федерального бюджета, а также с предоставлением государственных гарантий Российской Федерации и налоговых льгот, утвержденную указанным постановлением, изложить в следующей редакции:
постановлением Правительства
Российской Федерации
от 26 ноября 2019 г. N 1512
(в редакции постановления
Правительства Российской Федерации
от 6 июня 2024 г. N 774)
ОЦЕНКИ СОЦИАЛЬНО-ЭКОНОМИЧЕСКИХ ЭФФЕКТОВ ОТ ПРОЕКТОВ
СТРОИТЕЛЬСТВА (РЕКОНСТРУКЦИИ) И ЭКСПЛУАТАЦИИ ОБЪЕКТОВ
ТРАНСПОРТНОЙ ИНФРАСТРУКТУРЫ, ПЛАНИРУЕМЫХ К РЕАЛИЗАЦИИ
С ПРИВЛЕЧЕНИЕМ СРЕДСТВ ФЕДЕРАЛЬНОГО БЮДЖЕТА, А ТАКЖЕ
С ПРЕДОСТАВЛЕНИЕМ ГОСУДАРСТВЕННЫХ ГАРАНТИЙ
РОССИЙСКОЙ ФЕДЕРАЦИИ И НАЛОГОВЫХ ЛЬГОТ
1. Оценка социально-экономических эффектов осуществляется Министерством экономического развития Российской Федерации в отношении проектов строительства (реконструкции) и эксплуатации объектов транспортной инфраструктуры, планируемых к реализации с привлечением средств федерального бюджета, а также с предоставлением государственных гарантий Российской Федерации и налоговых льгот (далее - инфраструктурный проект), стоимостью свыше 3 млрд. рублей на основе данных паспорта инфраструктурного проекта, требования к содержанию которого приведены в приложении N 1.
2. В рамках настоящей методики оцениваются следующие виды социально-экономических эффектов:
а) прирост валовой добавленной стоимости и бюджетных доходов на инвестиционной стадии инфраструктурного проекта от осуществления капитальных вложений;
б) прирост валовой добавленной стоимости и бюджетных доходов на эксплуатационной стадии инфраструктурного проекта от осуществления операционных расходов (расходы на различные виды ремонтов, текущее содержание);
в) прирост валовой добавленной стоимости и бюджетных доходов от прироста выпуска (выручки) непосредственных участников инфраструктурного проекта (перевозчиков пассажиров или грузов, операторов и владельцев транспортной инфраструктуры, концессионеров) при реализации инфраструктурного проекта;
г) прирост валовой добавленной стоимости и бюджетных доходов в результате экономии времени в пути за счет дополнительного свободного времени пассажиров, водителей и экономии на оборотном капитале и транспортных расходах компаний, являющихся грузоотправителями, а также за счет прироста выпуска у производителей в связи с сокращением времени доступа к рынкам сбыта;
д) прирост валовой добавленной стоимости и бюджетных доходов в результате повышения безопасности перевозок пассажиров за счет сокращения числа смертей и ранений пассажиров, в том числе в результате смещения пассажиропотока с автомобильного транспорта на иные виды транспорта;
е) прирост валовой добавленной стоимости и бюджетных доходов в результате агломерационного эффекта за счет прироста населения агломерации;
ж) прирост валовой добавленной стоимости и бюджетных доходов в результате ликвидации инфраструктурных ограничений за счет возникновения дополнительной пропускной способности и (или) сохранения существующей пропускной способности для прироста и (или) сохранения выпуска продукции хозяйствующими субъектами, не являющимися непосредственными участниками инфраструктурного проекта;
з) прирост валовой добавленной стоимости и бюджетных доходов в результате индуцированного прироста туристического потока.
3. Результатом оценки социально-экономических эффектов от реализации инфраструктурного проекта является количественная оценка следующих показателей:
а) суммарный прирост валового внутреннего продукта Российской Федерации;
б) суммарный прирост доходов консолидированного бюджета Российской Федерации;
в) бюджетный эффект, рассчитываемый как разница между приростом доходов консолидированного бюджета Российской Федерации и государственной поддержкой в различных формах;
г) среднегодовой прирост валового внутреннего продукта Российской Федерации на эксплуатационной стадии инфраструктурного проекта;
д) среднегодовой прирост бюджетных доходов на эксплуатационной стадии инфраструктурного проекта;
е) отношение прироста валового внутреннего продукта Российской Федерации на эксплуатационной стадии инфраструктурного проекта к сумме стоимостей всех видов продукции, используемой на инвестиционной и эксплуатационной стадиях инфраструктурного проекта (коэффициент эффективности);
ж) отношение суммы внебюджетных средств, используемых для приобретения всех видов продукции на инвестиционной и эксплуатационной стадиях инфраструктурного проекта, к общим расходам, осуществляемым на инвестиционной и эксплуатационной стадиях инфраструктурного проекта;
з) срок окупаемости бюджетных инвестиций;
и) норма внутренней доходности бюджетного денежного потока.
4. В рамках настоящей методики оцениваются социально-экономические эффекты от инфраструктурных проектов по видам транспорта согласно приложению N 2.
5. Для оценки социально-экономических эффектов от реализации инфраструктурных проектов используются источники информации по перечню согласно приложению N 3. Инициатор инфраструктурного проекта представляет данные только по тем переменным, которые приведены в указанном перечне. Источником данных для инициатора инфраструктурного проекта является соответствующая и имеющаяся в наличии у инициатора инфраструктурного проекта документация, в том числе финансовая модель инфраструктурного проекта (при наличии), сметная документация (при наличии), расчеты инициатора инфраструктурного проекта (технико-экономическое обоснование, предварительная технико-экономическая документация и пр.) и иные документы, которые инициатор инфраструктурного проекта считает подходящими в качестве обосновывающих материалов. Если информация, необходимая для расчета социально-экономического эффекта, инициатором инфраструктурного проекта не представлена, значение такого эффекта принимается равным нулю.
6. Данные паспорта инфраструктурного проекта заполняются в том числе с учетом информации о планах по реализации на выбранной территории других проектов строительства (реконструкции) и эксплуатации объектов транспортной инфраструктуры, которые имеют прямое влияние на рассматриваемый инфраструктурный проект.
В случае если инфраструктурный проект состоит из нескольких проектов строительства (реконструкции) и эксплуатации объектов транспортной инфраструктуры (далее - комплексный инфраструктурный проект) или является конкурирующим с другим проектом строительства (реконструкции) и эксплуатации объектов транспортной инфраструктуры, то представлению подлежат все паспорта указанных проектов с пояснениями об их типах:
а) инфраструктурный проект реализуется самостоятельно без влияния других конкурирующих или дополняющих проектов строительства (реконструкции) и эксплуатации объектов транспортной инфраструктуры;
б) инфраструктурный проект реализуется в составе комплексного инфраструктурного проекта с учетом влияния других частей комплексного инфраструктурного проекта;
в) инфраструктурный проект реализуется при одновременной реализации конкурирующих инфраструктурных проектов, которые могут негативно влиять на основные технико-экономические параметры инфраструктурного проекта.
7. Для целей настоящей методики используются следующие основные понятия:
"агломерация" - совокупность компактно расположенных населенных пунктов и территорий между ними с общей численностью населения более 500 тыс. человек, транспортной доступностью не более 2 часов 30 минут до географического центра наибольшего населенного пункта (по критерию численности населения), связанных совместным использованием инфраструктурных объектов и объединенных интенсивными экономическими, в том числе трудовыми, и социальными связями, выраженными через маятниковую миграцию (регулярное передвижение населения из одного населенного пункта в другой и обратно в целях работы, учебы и т.п.). Время в пути - 2 часа 30 минут рассматривается от географического центра меньшего населенного пункта до географического центра наибольшего населенного пункта в рамках агломерации при использовании любого вида транспорта общего пользования или личного транспорта, при этом при оценке эффектов для транспорта общего пользования учитывается также средневзвешенное время подъезда от (до) вокзалов или иных транспортно-пересадочных узлов в местах отправления (прибытия) до (от) территории населенного пункта. Если в рамках агломерации рассматриваются 2 и более населенных пункта, которые являются сопоставимыми по численности населения и зависимыми по экономическим и иным связям (тип связи "центр - центр"), то такие населенные пункты рассматриваются в качестве центров, а эффекты считаются для каждого из них от снижения времени в пути до другого (других);
"альтернативный путь следования" - путь следования (маршрут), который наиболее часто используется пользователями транспортной инфраструктуры, помимо пути следования, предусмотренного в рамках реализации инфраструктурного проекта. При этом такой путь следования должен соответствовать требованиям к протяженности автомобильных дорог и их участков, обеспечивающих возможность альтернативного бесплатного проезда транспортных средств, предусмотренным частью 2 статьи 37 Федерального закона "Об автомобильных дорогах и о дорожной деятельности в Российской Федерации и о внесении изменений в отдельные законодательные акты Российской Федерации";
"доля косвенных налоговых эффектов в смежных отраслях" - прирост налоговых и иных отчислений в целом по экономике при росте выпуска в одной отрасли за счет межотраслевых связей без учета нефтегазового сектора;
"доля прямых налоговых эффектов" - доля прямых налоговых и иных отчислений в выпуске отраслей экономики без учета нефтегазового сектора;
"инвестиционная стадия инфраструктурного проекта" - период от даты начала создания и (или) реконструкции объектов транспортной инфраструктуры до даты ввода таких объектов (их отдельных частей) в эксплуатацию в рамках инфраструктурного проекта;
"инициатор инфраструктурного проекта" - федеральный орган исполнительной власти, исполнительный орган субъекта Российской Федерации, российское или иностранное юридическое лицо, а также индивидуальный предприниматель либо действующие без образования юридического лица по договору простого товарищества (договору о совместной деятельности) 2 указанных лица и более, планирующие реализацию инфраструктурного проекта;
"непосредственные участники инфраструктурного проекта" - экономические агенты (российские или иностранные юридические лица, а также индивидуальный предприниматель либо действующие без образования юридического лица по договору простого товарищества (договору о совместной деятельности) 2 указанных лица и более), которые являются основными пользователями транспортной инфраструктуры, включая перевозчиков, операторов и владельцев транспортной инфраструктуры;
"продукция, используемая на инвестиционной стадии инфраструктурного проекта" - товары (работы, в том числе научно-исследовательские и опытно-конструкторские работы, услуги), используемые на инвестиционной стадии инфраструктурного проекта;
"продукция, используемая на эксплуатационной стадии инфраструктурного проекта" - товары (работы, услуги), используемые на эксплуатационной стадии инфраструктурного проекта;
"смежные отрасли экономики" - отрасли экономики, обеспечивающие выпуск товаров (работ, услуг), которые необходимы для производства товаров (работ, услуг), используемых при реализации инфраструктурного проекта;
"эксплуатационная стадия инфраструктурного проекта" - период от даты ввода в эксплуатацию объектов транспортной инфраструктуры в рамках инфраструктурного проекта до истечения первых 20 лет их эксплуатации.
II. Расчет эффектов на инвестиционной стадии
инфраструктурного проекта от осуществления капитальных
вложений, на эксплуатационной стадии инфраструктурного
проекта от осуществления операционных расходов и от прироста
выпуска (выручки) непосредственных участников
инфраструктурного проекта
8. Прирост валовой добавленной стоимости на инвестиционной стадии инфраструктурного проекта от осуществления капитальных вложений, на эксплуатационной стадии инфраструктурного проекта от осуществления операционных расходов и от прироста выпуска (выручки) непосредственных участников инфраструктурного проекта в году t (ВДСt) определяется по формуле:
- прирост валовой добавленной стоимости в результате эффектов инвестиционного спроса на инвестиционной стадии инфраструктурного проекта в году t, рублей;
- прирост валовой добавленной стоимости в результате эффектов дополнительного спроса на эксплуатационной стадии инфраструктурного проекта в году t, рублей;
- прирост валовой добавленной стоимости в результате прямых эффектов от прироста выручки на эксплуатационной стадии инфраструктурного проекта в году t, рублей.
9. Прирост валовой добавленной стоимости в результате эффектов инвестиционного спроса на инвестиционной стадии инфраструктурного проекта в году t (
) определяется по формуле:
- прирост валовой добавленной стоимости i-го вида экономической деятельности в рамках ОКВЭД 2 по перечню согласно приложению N 4 (далее - i-й вид экономической деятельности), обеспечивающий производство российской продукции, используемой на инвестиционной стадии инфраструктурного проекта в году t, рублей;
- прирост валовой добавленной стоимости, создаваемой отраслями торговли и транспорта, обеспечивающими поставку продукции i-го вида экономической деятельности, используемой на инвестиционной стадии инфраструктурного проекта в году t, рублей;
- прирост валовой добавленной стоимости, создаваемой смежными отраслями экономики, обеспечивающими производство российской продукции i-го вида экономической деятельности, используемой на инвестиционной стадии инфраструктурного проекта в году t, рублей;
I - количество i-х видов экономической деятельности.
10. Прирост валовой добавленной стоимости i-го вида экономической деятельности, обеспечивающий производство российской продукции, используемой на инвестиционной стадии инфраструктурного проекта в году t (
), определяется по формуле:
- стоимость продукции i-го вида экономической деятельности, используемой на инвестиционной стадии инфраструктурного проекта в году t, рублей;
dимпi - доля импортной продукции в i-м виде экономической деятельности, процентов;
ДПi - доля валовой добавленной стоимости продукции i-го вида экономической деятельности, процентов.
11. Прирост валовой добавленной стоимости, создаваемой отраслями торговли и транспорта, обеспечивающими поставку продукции i-го вида экономической деятельности, используемой на инвестиционной стадии инфраструктурного проекта в году t (
), определяется по формуле:
dТТН - доля валовой добавленной стоимости в стоимости выпуска отраслей торговли и транспорта, процентов;
ДТТНi - доля торгово-транспортных наценок в стоимости продукции i-го вида экономической деятельности, процентов.
12. Прирост валовой добавленной стоимости, создаваемой смежными отраслями экономики, обеспечивающими производство российской продукции i-го вида экономической деятельности, используемой на инвестиционной стадии инфраструктурного проекта в году t (
), определяется по формуле:
где dп.импi - коэффициент полной импортоемкости продукции i-го вида экономической деятельности.
13. Прирост валовой добавленной стоимости в результате эффектов дополнительного спроса на эксплуатационной стадии инфраструктурного проекта в году t (
) определяется по формуле:
- прирост валовой добавленной стоимости i-го вида экономической деятельности, обеспечивающего производство российской продукции, используемой на эксплуатационной стадии инфраструктурного проекта в году t, рублей;
- прирост валовой добавленной стоимости, создаваемой отраслями торговли и транспорта, обеспечивающими поставку продукции i-го вида экономической деятельности, используемой на эксплуатационной стадии инфраструктурного проекта в году t, рублей;
- прирост валовой добавленной стоимости, создаваемой смежными отраслями экономики, обеспечивающими производство российской продукции i-го вида экономической деятельности, используемой на эксплуатационной стадии инфраструктурного проекта в году t, рублей.
14. Прирост валовой добавленной стоимости i-го вида экономической деятельности, обеспечивающего производство российской продукции, используемой на эксплуатационной стадии инфраструктурного проекта в году t (
), определяется по формуле:
где
- стоимость продукции i-го вида экономической деятельности, используемой на эксплуатационной стадии инфраструктурного проекта в году t, рублей.
15. Прирост валовой добавленной стоимости, создаваемой отраслями торговли и транспорта, обеспечивающими поставку продукции i-го вида экономической деятельности, используемой на эксплуатационной стадии инфраструктурного проекта в году t (
), определяется по формуле:
16. Прирост валовой добавленной стоимости, создаваемой смежными отраслями экономики, обеспечивающими производство российской продукции i-го вида экономической деятельности, используемой на эксплуатационной стадии инфраструктурного проекта в году t (
), определяется по формуле:
17. Прирост валовой добавленной стоимости в результате прямых эффектов от прироста выручки на эксплуатационной стадии инфраструктурного проекта в году t (
) определяется по формуле:
- суммарный прирост выручки k-го непосредственного участника инфраструктурного проекта от реализации продукции i-го вида экономической деятельности в году t, рублей;
K - количество непосредственных участников инфраструктурного проекта.
Для целей расчета показателя суммарного прироста выручки соответствующая выручка рассчитывается относительно сценария "без реализации" инфраструктурного проекта (учитывается дополнительная выручка, возникающая вследствие реализации инфраструктурного проекта, и снижение выручки на существующих направлениях, если это применимо). Прирост выручки от ликвидации инфраструктурных ограничений учитывается в рамках раздела VI настоящей методики.
III. Расчет эффекта в результате экономии времени
в пути за счет дополнительного свободного времени
пассажиров, водителей и экономии на оборотном капитале
и транспортных расходах компаний, являющихся
грузоотправителями, а также за счет прироста
выпуска у производителей в связи с сокращением
времени доступа к рынкам сбыта
18. Монетизированный эффект в результате экономии времени в пути за счет дополнительного свободного времени пассажиров, водителей и экономии на оборотном капитале и транспортных расходах компаний, являющихся грузоотправителями, а также за счет прироста выпуска у производителей в связи с сокращением времени доступа к рынкам сбыта в году t (
) определяется по формуле:
- монетизированный эффект в результате экономии времени в пути за счет дополнительного свободного времени пассажиров, водителей при реализации инфраструктурного проекта в году t, рублей;
- монетизированный эффект в результате экономии на оборотном капитале и транспортных расходах компаний, являющихся грузоотправителями, а также за счет прироста выпуска у производителей в связи с сокращением времени доступа к рынкам сбыта при реализации инфраструктурного проекта в году t, рублей.
19. Монетизированный эффект в результате экономии времени в пути за счет дополнительного свободного времени пассажиров, водителей при реализации инфраструктурного проекта в году t (
) определяется по формуле:
- высвобождение времени пассажиров и водителей при реализации инфраструктурного проекта в году t, часов;
ЗПСРобщ - средневзвешенная среднемесячная номинальная начисленная заработная плата работников в субъектах Российской Федерации, на территории которых реализуется инфраструктурный проект, в базовом году, к ценам которого для сопоставимости приводятся стоимостные показатели последующих лет (tб) (далее - базовый год), рублей;
- функция произведения прогнозного индекса потребительских цен за период с базового года до года t, процентов;
12 - количество месяцев в календарном году;
247 - среднее количество рабочих дней в календарном году;
8 - продолжительность рабочего дня, часов.
20. Средневзвешенная среднемесячная номинальная начисленная заработная плата работников в субъектах Российской Федерации, на территории которых реализуется инфраструктурный проект, в базовом году (ЗПСРобщ) определяется по формуле:
- среднемесячная номинальная начисленная заработная плата работников каждого n-го субъекта Российской Федерации, на территории которого реализуется инфраструктурный проект, в базовом году, рублей;
- прогнозное суммарное количество пассажиров и водителей по всем маршрутам, отправляющимся из n-го субъекта Российской Федерации при реализации инфраструктурного проекта, по состоянию на первый год эксплуатационной стадии инфраструктурного проекта, человек;
N - количество субъектов Российской Федерации, на территории которых реализуется инфраструктурный проект.
21. При отсутствии у инициатора инфраструктурного проекта сведений о распределении пассажиропотока по субъектам Российской Федерации показатель ЗПСРобщ определяется по формуле:
22. Высвобождение времени пассажиров и водителей при реализации инфраструктурного проекта в году t (
) определяется по формуле:
- прогнозное суммарное количество пассажиров и водителей по всем маршрутам при реализации инфраструктурного проекта в году t, человек;
- индуцированный туристический поток, прирост которого обеспечен реализацией инфраструктурного проекта, в году t по m-му туристическому направлению, человек;
M - общее количество туристических направлений;
- средневзвешенная экономия времени в пути пассажиров и водителей при реализации инфраструктурного проекта в году t, часов;
TЭВпас - коэффициент использования пассажирами и водителями экономии времени для осуществления экономической деятельности, равный 0,45.
Суммарное количество пассажиров и водителей по всем маршрутам при реализации инфраструктурного проекта учитывается на том виде транспорта, к которому относится рассматриваемый инфраструктурный проект.
Экономия времени в пути пассажиров и водителей определяется как разница между временем следования по определенному маршруту в случае реализации инфраструктурного проекта (меньшее время) и временем следования по определенному маршруту без реализации инфраструктурного проекта (большее время).
При наличии нескольких маршрутов социально-экономический эффект необходимо оценивать на основе средневзвешенной экономии времени в пути пассажиров и водителей по всем маршрутам и суммарного количества пассажиров и водителей.
Для воздушного транспорта экономия времени в пути возникает, если маршрут в случае реализации инфраструктурного проекта будет с меньшим количеством пересадок.
23. Средневзвешенная экономия времени в пути пассажиров и водителей при реализации инфраструктурного проекта в году t (
) определяется по формуле:
- прогнозное количество пассажиров и водителей при реализации инфраструктурного проекта в году t на s-м маршруте, человек;
- экономия времени в пути пассажиров и водителей при реализации инфраструктурного проекта в году t на s-м маршруте, часов;
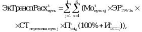
24. Монетизированный эффект в результате экономии на оборотном капитале и транспортных расходах компаний, являющихся грузоотправителями, а также за счет прироста выпуска у производителей в связи с сокращением времени доступа к рынкам сбыта при реализации инфраструктурного проекта в году t (
) определяется по формуле:
- прямой монетизированный эффект экономии времени транспортировки грузов в году t, рублей;
- косвенный монетизированный эффект экономии времени транспортировки грузов в году t, рублей. Косвенный монетизированный эффект экономии времени транспортировки грузов в году t (
) рассчитывается только для инфраструктурных проектов, по которым у инициатора инфраструктурного проекта отсутствуют сведения о приросте выпуска продукции в результате ликвидации инфраструктурных ограничений.
25. Прямой монетизированный эффект экономии времени транспортировки грузов в году t (
) определяется по формуле:
ЭкКапГрt - прямой монетизированный эффект экономии на оборотном капитале в году t, рублей;
ЭкТранспРасхt - прямой монетизированный эффект экономии на транспортных расходах в году t, рублей.
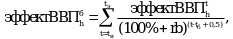
26. Прямой монетизированный эффект экономии на оборотном капитале в году t (ЭкКапГрt) определяется по формуле:
- прогнозный объем перевозок j-го вида продукции в рамках ОКПД 2 по перечню, предусмотренному приложением N 4 к настоящей методике (далее - j-й вид продукции), в году t по s-му маршруту, тонн;
Цпj - внутрироссийская цена единицы j-го вида продукции в базовом году, рублей;
- экономия времени нахождения груза в пути на s-м маршруте при реализации инфраструктурного проекта в году t, часов;
Сток - средняя процентная ставка привлечения одного рубля оборотного капитала в час, процентов;
J - количество видов продукции.
27. В случае если у инициатора инфраструктурного проекта отсутствуют сведения о прогнозных объемах перевозок j-го вида продукции в году t по s-му маршруту (
), прямой монетизированный эффект экономии на оборотном капитале в году t (ЭкКапГрt) определяется по формуле:
- прогнозная интенсивность движения грузового транспорта в году t по s-му маршруту, транспортных средств в год;
ССтг - средняя стоимость груза, перевозимого одним транспортным средством в ценах базового года, рублей (определяется в соответствии с Правилами определения средней стоимости грузов, перевозимых воздушным, автомобильным, морским, внутренним водным и железнодорожным видами транспорта, применяемой при проведении оценки социально-экономических эффектов от проектов строительства (реконструкции) и эксплуатации объектов транспортной инфраструктуры, планируемых к реализации с привлечением средств федерального бюджета, а также с предоставлением государственных гарантий Российской Федерации и налоговых льгот, согласно приложению N 5);
- экономия времени нахождения груза в пути на s-м маршруте при реализации инфраструктурного проекта в году t, часов.
28. Прогнозный объем перевозок j-го вида продукции в году t по s-му маршруту (
) определяется по формуле:
- прогнозный объем перевозок j-го вида продукции в году t по s-му маршруту по почасовому тарифу, тонн;
- прогнозный объем перевозок j-го вида продукции в году t по s-му маршруту по покилометровому тарифу, тонн.
29. Средняя процентная ставка привлечения одного рубля оборотного капитала в час (Сток) определяется по формуле:
КрСт - средневзвешенная процентная ставка по кредитам, предоставленным кредитными организациями нефинансовым организациям в рублях (в целом по Российской Федерации, средняя за квартал, предшествующий кварталу оценки) на срок от 91 до 180 дней, процентов в годовом исчислении;
Днt - количество календарных дней в году t эксплуатационной стадии инфраструктурного проекта;
24 - количество часов в сутках.
30. Экономия времени нахождения груза в пути на s-м маршруте при реализации инфраструктурного проекта в году t (
) определяется по формуле:
ВГРУЗs до - время в пути на s-м маршруте при транспортировке грузов до реализации инфраструктурного проекта, часов;
ВГРУЗs после - время в пути на s-м маршруте при транспортировке грузов после реализации инфраструктурного проекта, часов.
31. Прямой монетизированный эффект экономии на транспортных расходах в году t (ЭкТранспРасхt) определяется по формуле:
- прямой монетизированный эффект экономии на транспортных расходах в году t от экономии времени в пути, рублей;
- прямой монетизированный эффект экономии на транспортных расходах в году t от сокращения расстояния перевозки, рублей.
32. Прямой монетизированный эффект экономии на транспортных расходах в году t от экономии времени в пути (
) определяется по формуле:
где СТперевозка вр j - почасовой тариф на перевозку j-го вида продукции в базовом году, рублей за тонну.
33. В случае если у инициатора инфраструктурного проекта отсутствуют сведения о прогнозных объемах перевозок j-го вида продукции в году t по s-му маршруту по почасовому тарифу (
), прямой монетизированный эффект экономии на транспортных расходах в году t от экономии времени в пути (
) определяется по формуле:
где СТперевозка вр средн - средневзвешенная стоимость почасовой аренды грузового транспортного средства в базовом году, рублей в час.
34. Средневзвешенная стоимость почасовой аренды грузового транспортного средства в базовом году (СТперевозка вр средн) определяется по формуле:
- интенсивность движения q-го вида грузового транспорта в году t по всем маршрутам инфраструктурного проекта, транспортных средств в год;
- интенсивность движения всех видов грузового транспорта в году t по всем маршрутам инфраструктурного проекта, транспортных средств в год;
СТперевозка вр q - стоимость почасовой аренды грузового транспортного средства q-го вида транспорта в базовом году, рублей в час;
Q - количество видов транспорта.
35. Прямой монетизированный эффект экономии на транспортных расходах в году t от сокращения расстояния перевозки (
) определяется по формуле:
- прогнозный объем перевозок j-го вида продукции в году t по s-му маршруту по покилометровому тарифу, тонн;
- экономия тарифного расстояния перевозки груза в году t на s-м маршруте при реализации инфраструктурного проекта, часов;
СТперевозка путь j - покилометровый тариф на перевозку одной тонны груза j-го вида продукции в базовом году, рублей за тонну.
36. Экономия тарифного расстояния перевозки груза в году t на s-м маршруте при реализации инфраструктурного проекта (
), определяется по формуле:
PГРУЗs до - тарифное расстояние в пути на s-м маршруте при транспортировке грузов до реализации инфраструктурного проекта, километров;
PГРУЗs после - тарифное расстояние в пути на s-м маршруте при транспортировке грузов после реализации инфраструктурного проекта, километров.
37. Косвенный монетизированный эффект экономии времени транспортировки грузов в году t (
) определяется по формуле:
- прирост выпуска от снижения транспортных затрат для перевозки j-го вида продукции в году t, тарифицируемых по времени перевозки, рублей;
- прирост выпуска от снижения транспортных затрат для перевозки j-го вида продукции в году t, тарифицируемых по тарифному расстоянию перевозки, рублей.
38. Прирост выпуска от снижения транспортных затрат для перевозки j-го вида продукции в году t, тарифицируемых по времени перевозки (
), определяется по формуле:
где Квыпускj - коэффициент, показывающий прирост выпуска j-го вида продукции в целом по экономике при снижении транспортных затрат на его перевозку на один процент.
В случае если у инициатора инфраструктурного проекта отсутствуют сведения о прогнозных объемах перевозок j-го вида продукции в году t по s-му маршруту по почасовому тарифу (
), значение показателя
принимается равным нулю.
39. Прирост выпуска от снижения транспортных затрат для перевозки j-го вида продукции в году t, тарифицируемых по тарифному расстоянию перевозки (
), определяется по формуле:
В случае если у инициатора инфраструктурного проекта отсутствуют сведения о прогнозных объемах перевозок j-го вида продукции в году t по s-му маршруту по покилометровому тарифу (
), значение показателя
принимается равным нулю.
IV. Расчет эффекта в результате повышения безопасности
перевозок пассажиров за счет сокращения числа смертей
и ранений пассажиров, в том числе в результате смещения
пассажиропотока с автомобильного транспорта
на иные виды транспорта
40. Монетизированный эффект в результате повышения безопасности перевозок пассажиров за счет сокращения числа смертей и ранений пассажиров, в том числе в результате смещения пассажиропотока с автомобильного транспорта на иные виды транспорта, в году t (
) определяется по формуле:
- величина потерь в результате дорожно-транспортных происшествий с участием пассажиров и водителей на пути следования без реализации инфраструктурного проекта в году t в среднем за одни сутки, рублей;
- величина потерь в результате дорожно-транспортных происшествий с участием пассажиров и водителей на пути следования при реализации инфраструктурного проекта в году t в среднем за одни сутки, рублей.
41. Величина потерь в результате дорожно-транспортных происшествий с участием пассажиров и водителей на пути следования в году t в среднем за одни сутки (
) определяется по формуле (применяется для
и
):
Z - коэффициент относительной аварийности (количество дорожно-транспортных происшествий в расчете на один миллион автомобиле-километров);
Сt - среднегодовая суточная интенсивность движения на пути следования при реализации инфраструктурного проекта в году t, автомобилей в сутки;
L - протяженность пути следования, километров;
- средний ущерб от одного дорожно-транспортного происшествия в году t, рублей.
В случае если в рамках инфраструктурного проекта предполагается создание нового пути следования и у инициатора инфраструктурного проекта отсутствуют сведения о среднегодовой суточной интенсивности движения в году t по альтернативному пути следования, среднегодовая суточная интенсивность движения по альтернативному пути принимается по средней интенсивности движения по нему за предыдущие 5 лет либо периоду его эксплуатации в случае его введения в эксплуатацию менее 5 лет назад.
42. Коэффициент относительной аварийности (Z) принимает следующие значения в зависимости от характеристик автомобильных дорог:
б) для многополосных дорог с разделительной полосой - 0,25;
в) для многополосных дорог без разделительной полосы - 0,29;
г) для двухполосных и прочих дорог - 0,42.
43. Средний ущерб от одного дорожно-транспортного происшествия в году t (
) определяется по формуле:
- средний социально-экономический ущерб от гибели человека в результате дорожно-транспортного происшествия в году t, рублей;
- среднее количество погибших в расчете на одно дорожно-транспортное происшествие, человек;
- средний социально-экономический ущерб от ранения человека в результате дорожно-транспортного происшествия в году t, рублей;
- среднее количество раненых в расчете на одно дорожно-транспортное происшествие, человек.
44. Средний социально-экономический ущерб от гибели человека в результате дорожно-транспортного происшествия в году t (
) определяется по формуле:
P - среднее расчетное количество лет трудового стажа, утерянного в результате гибели человека, для года t реализации инфраструктурного проекта (с округлением до целых лет);
- функция произведения прогнозного индекса потребительских цен за период с года t по год t+P-1;
12 - количество месяцев в календарном году.
45. Среднее расчетное количество лет трудового стажа, утерянного в результате гибели человека, для года t реализации инфраструктурного проекта (P) определяется по формуле (округляется до целого числа):
- средний возраст выхода граждан на пенсию в соответствии с законодательством Российской Федерации о трудовых пенсиях в году t реализации инфраструктурного проекта, лет;
- средний возраст гражданина Российской Федерации в году t реализации инфраструктурного проекта, лет.
46. Средний возраст выхода граждан на пенсию в соответствии с законодательством Российской Федерации о трудовых пенсиях в году t реализации инфраструктурного проекта (
) определяется по формуле:
- возраст, установленный законодательством Российской Федерации о трудовых пенсиях, по достижении которого мужчины получают право на трудовую пенсию по старости для года t реализации инфраструктурного проекта, лет;
- прогнозная численность мужчин в Российской Федерации в году t реализации инфраструктурного проекта, человек;
- возраст, установленный законодательством Российской Федерации о трудовых пенсиях, по достижении которого женщины получают право на трудовую пенсию по старости для года t реализации инфраструктурного проекта, лет;
- прогнозная численность женщин в Российской Федерации в году t реализации инфраструктурного проекта, человек.
47. Средний возраст гражданина Российской Федерации в году t реализации инфраструктурного проекта (
) определяется по формуле:
- численность населения в v-й возрастной группе в году t реализации инфраструктурного проекта, человек;
- возраст населения в v-й возрастной группе в году t реализации инфраструктурного проекта, лет. В случае если возрастная группа охватывает население разного возраста, для расчета используется среднее значение возраста в этой возрастной группе. Для возрастной группы лиц младше трудоспособного возраста (до 15 лет) значение показателя
равно 8 лет. Для возрастной группы лиц трудоспособного возраста необходимо вычислять средний возраст в этой возрастной группе аналогично пункту 46 настоящей методики с учетом увеличения верхней границы трудоспособности (рост пенсионного возраста). Для возрастной группы старше трудоспособного возраста верхней границей возраста этой возрастной группы следует считать ожидаемую продолжительность жизни при рождении в соответствующем году;
V - количество возрастных групп.
48. Средний социально-экономический ущерб от ранения человека в результате дорожно-транспортного происшествия в году t (
) определяется по формуле:
где Tреаб - среднее количество месяцев нетрудоспособности одного раненого в результате дорожно-транспортного происшествия, равное 12.
49. Среднее количество погибших в расчете на одно дорожно-транспортное происшествие (
) определяется по формуле:
Чуг - количество погибших в дорожно-транспортных происшествиях в субъекте Российской Федерации, на территории которого реализуется инфраструктурный проект, человек в год;
ЧДТП - количество дорожно-транспортных происшествий в субъекте Российской Федерации, на территории которого реализуется инфраструктурный проект, единиц в год.
50. Среднее количество раненых в расчете на одно дорожно-транспортное происшествие (
) определяется по формуле:
где Чур - количество раненых в дорожно-транспортных происшествиях в субъекте Российской Федерации, на территории которого реализуется инфраструктурный проект, человек в год.
51. В случае если инфраструктурный проект реализуется не в сфере автомобильного транспорта и направлен на смещение пассажиропотока (с учетом водителей) с автомобильного транспорта на иные виды транспорта, то значение показателя
определяется по формуле:
где
- коэффициент смещения пассажиропотока с существующего на предполагаемый маршрут движения при реализации инфраструктурного проекта в году t, процентов. При невозможности расчета инициатором инфраструктурного проекта указанного коэффициента его значение устанавливается равным 5 процентам.
V. Расчет эффекта в результате агломерационного эффекта
за счет прироста населения агломерации
52. Монетизированный эффект в результате агломерационного эффекта за счет прироста населения агломерации в году t (
) определяется по формуле:
ВДСотр.i - величина валовой добавленной стоимости i-го вида экономической деятельности субъектов Российской Федерации, на территории которых реализуется инфраструктурный проект, рублей;
Квдс.i - коэффициент изменения валовой добавленной стоимости i-го вида экономической деятельности при изменении численности населения агломерации, процентов;
- функция произведения прогнозного индекса-дефлятора валового внутреннего продукта Российской Федерации за период с года, следующего за годом формирования данных о величине валовой добавленной стоимости i-го вида экономической деятельности субъектов Российской Федерации, на территории которых реализуется инфраструктурный проект (tf), до года t, процентов;
- увеличение численности населения агломерации за счет включения в ее состав u-го населенного пункта как результат реализации инфраструктурного проекта, а также реализации градостроительного потенциала со строительством новых жилых микрорайонов в году t, человек. При реализации инфраструктурного проекта в сфере железнодорожного или водного транспорта при расчете показателя
учитываются населенные пункты, в которых имеются остановочные пункты, с учетом наличия минимальной тактовости сообщения (не менее одного рейса в 30 минут в утренние и вечерние часы пик);
U - количество населенных пунктов, включаемых в агломерацию в результате реализации инфраструктурного проекта;
Кудал.u - коэффициент удаленности, определяющий степень вовлечения населения u-х населенных пунктов, включаемых в агломерацию в результате реализации инфраструктурного проекта, в экономическую активность агломерации, в зависимости от времени в пути от центра u-го населенного пункта до центра агломерации (центра наибольшего населенного пункта агломерации), процентов;
E - численность населения субъектов Российской Федерации, на территории которых реализуется инфраструктурный проект, человек.
53. Коэффициент удаленности (Кудал) определяется по формуле:
Кудалпосле - коэффициент удаленности при времени в пути на самом быстром виде транспорта (за исключением воздушного) после реализации инфраструктурного проекта;
Кудалдо - коэффициент удаленности при времени в пути на самом быстром виде транспорта (за исключением воздушного) до реализации инфраструктурного проекта.
Значения показателей Кудалдо и Кудалпосле приведены в приложении N 6.
54. В случаях когда реализация инфраструктурного проекта приводит к росту индуцированного (нового, а не переключаемого с иных видов транспорта) пассажиропотока из населенных пунктов в центр агломерации (например, за счет увеличения комфортности поездок или увеличения частоты рейсов, реализации градостроительного потенциала и возникновения новых жилых микрорайонов, а также иных факторов, обеспечивающих появление индуцированного пассажиропотока), но при этом такие населенные пункты не попадают в зону действия агломерационного эффекта (время в пути от данных населенных пунктов до центра агломерации после реализации инфраструктурного проекта превышает 2,5 часа) или при реализации инфраструктурного проекта значение показателя Кудал равно нулю, то монетизированный агломерационный эффект в результате агломерационного эффекта за счет прироста населения агломерации в году t (
) определяется по формуле:
- прогнозный прирост индуцированного пассажиропотока по s-му маршруту в рамках инфраструктурного проекта с учетом возможной реализации градостроительного потенциала в году t, человек;
ЗПs2 - среднемесячная номинальная начисленная заработная плата работников субъекта Российской Федерации, в который направлен индуцированный пассажиропоток по s-му маршруту, рублей;
ЗПs1 - среднемесячная номинальная начисленная заработная плата работников субъекта Российской Федерации, из которого направлен индуцированный пассажиропоток по s-му маршруту, рублей;
12 - количество месяцев в календарном году;
ВВП - объем валового внутреннего продукта Российской Федерации, рублей;
ФОТнр - расходы на оплату труда наемных работников по экономике в целом, рублей.
VI. Расчет эффекта в результате ликвидации
инфраструктурных ограничений за счет возникновения
дополнительной пропускной способности и (или) сохранения
существующей пропускной способности для прироста
и (или) сохранения выпуска продукции хозяйствующими
субъектами, не являющимися непосредственными
участниками инфраструктурного проекта
55. Монетизированный эффект в результате ликвидации инфраструктурных ограничений за счет возникновения дополнительной пропускной способности и (или) сохранения существующей пропускной способности для прироста и (или) сохранения выпуска продукции хозяйствующими субъектами, не являющимися непосредственными участниками инфраструктурного проекта, в году t (
) определяется по формуле:
- прирост валовой добавленной стоимости от отрасли, обеспечивающей выпуск дополнительного j-го вида продукции и (или) сохранение выпуска j-го вида продукции в году t, рублей;
- прирост валовой добавленной стоимости, создаваемой смежной отраслью экономики, обеспечивающей выпуск дополнительного j-го вида продукции и (или) сохранение выпуска j-го вида продукции в году t, рублей.
Значение показателя
не может рассчитываться одновременно со значением показателя
в случае, если рассматриваются одни и те же виды и объемы продукции, перевозимые по тем же маршрутам.
56. Прирост валовой добавленной стоимости от отрасли, обеспечивающей выпуск дополнительного j-го вида продукции и (или) сохранение выпуска j-го вида продукции в году t (
), определяется по формуле:
- прирост выпуска хозяйствующими субъектами j-го вида продукции и (или) сохранение выпуска хозяйствующими субъектами j-го вида продукции в году t в результате ликвидации инфраструктурных ограничений, обязательства по реализации которых предусмотрены договорами, в том числе предварительными договорами, заключенными такими хозяйствующими субъектами с органами государственной власти и (или) органами местного самоуправления, владельцем объекта транспортной инфраструктуры, рублей;
- долгосрочная прогнозная внутрироссийская цена единицы j-го вида продукции в году t, рублей;
ДПj - доля валовой добавленной стоимости в стоимости j-го вида продукции, процентов.
57. В случае если у инициатора инфраструктурного проекта отсутствует информация о долгосрочной прогнозной внутрироссийской цене единицы j-го вида продукции в году t, значение показателя
определяется по формуле:
- внутрироссийская цена единицы j-го вида продукции в базовом году, рублей;
- функция произведения прогнозного индекса-дефлятора по j-му виду продукции за период с базового года до года t, процентов.
58. Прирост валовой добавленной стоимости, создаваемой смежной отраслью экономики, обеспечивающей выпуск дополнительного j-го вида продукции и (или) сохранение выпуска j-го вида продукции в году t (
), определяется по формуле:
- стоимость дополнительной j-го вида продукции и (или) сохранение стоимости выпуска j-го вида продукции, реализация которых возможна в результате ликвидации инфраструктурных ограничений в году t в связи с реализацией инфраструктурного проекта, рублей;
dп.импj - коэффициент полной импортоемкости j-го вида продукции.
VII. Расчет эффекта в результате индуцированного прироста
туристического потока
59. Монетизированный эффект в результате индуцированного прироста туристического потока в году t (
) определяется по формуле:
- индуцированный туристический поток, прирост которого обеспечен реализацией инфраструктурного проекта, в году t по m-му туристическому направлению, человек;
Дниm - среднее время пребывания туриста по m-му туристическому направлению, дней;
ТурРасходыm - средние суточные дополнительные расходы туриста по m-му туристическому направлению, рублей.
В случае отсутствия данных по среднему времени пребывания туриста по m-му туристическому направлению (Дниm) в расчете используется значение длительности ночевки одного туриста в коллективных средствах размещения в субъекте Российской Федерации, в котором реализуется инфраструктурный проект, определенное по данным Федеральной службы государственной статистики, увеличенное на единицу.
Монетизированный эффект в результате индуцированного прироста туристического потока в году t (
) рассчитывается для тех инфраструктурных проектов, которые на туристическом направлении снижают время в пути минимум на один час, что при этом составляет не менее 10 процентов суммарного времени в пути от точки генерации туристического потока в место назначения.
Монетизированный эффект в результате индуцированного прироста туристического потока в году t (
) может рассчитываться для 2 и более конкурирующих на рассматриваемом направлении инфраструктурных проектов. В этом случае значение показателя
распределяется между инфраструктурными проектами пропорционально существующему суммарному туристическому потоку, а при отсутствии данных по суммарному туристическому потоку значение показателя
распределяется поровну между инфраструктурными проектами.
60. Индуцированный туристический поток, прирост которого обеспечен реализацией инфраструктурного проекта, в году t по m-му туристическому направлению (
) определяется по формуле:
ДоляПриростаm - доля суммарного потенциального прироста туристического потока, приходящаяся на пару субъектов Российской Федерации, по территории которых проходит m-е туристическое направление, процентов. В паре субъектов Российской Федерации один субъект Российской Федерации является регионом отправления туристов, а другой - регионом назначения туристов. В случае если m-е туристическое направление обеспечивает поездки туристов в регион назначения из более чем одного региона отправления, соответствующие доли складываются. В случае если m-е туристическое направление не подразумевает привлечения туристов из других субъектов Российской Федерации, эффект прироста индуцированного туристического потока принимается равным нулю;
ПриростТуристовТранспортt - прогнозный индуцированный прирост туристического потока в году t, произошедший по причине улучшения транспортной доступности, человек.
61. Прогнозный индуцированный прирост туристического потока в году t, произошедший по причине улучшения транспортной доступности (ПриростТуристовТранспортt), определяется по формуле:
ПриростТуристовt - прогнозный суммарный прирост туристического потока в целом по Российской Федерации в году t, человек;
ДоляТуристыТранспорт - доля прироста туристического потока, произошедшего по причине улучшения транспортной доступности, процентов.
62. Средние суточные дополнительные расходы туриста по m-му туристическому направлению (ТурРасходыm) определяются по формуле:
Чекm - объем среднесуточных расходов туриста по m-му туристическому направлению, рублей;
ДоходыСутки - объем денежных доходов населения Российской Федерации на базовый год проведения расчетов (по данным Федеральной службы государственной статистики) из расчета на одни сутки в течение календарного года, рублей;
ПотребРасходы - доля расходов населения Российской Федерации по статье "потребительские расходы" в суммарных денежных доходах на базовый год проведения расчетов (по данным Федеральной службы государственной статистики), процентов.
В случае отсутствия данных по объему среднесуточных расходов туриста по m-му туристическому направлению (Чекm) в расчете используются данные о среднесуточных расходах туристов во внутреннем туризме на базовый год проведения расчетов.
63. Объем денежных доходов населения Российской Федерации на базовый год проведения расчетов (по данным Федеральной службы государственной статистики) из расчета на одни сутки в течение календарного года (ДоходыСутки) определяется по формуле:
ДоходыМесяц - среднемесячная номинальная начисленная заработная плата работников по полному кругу организаций в целом по экономике Российской Федерации (по данным Федеральной службы государственной статистики), рублей;
12 - количество месяцев в году;
365 - количество календарных дней.
64. Доля расходов населения Российской Федерации по статье "потребительские расходы" в суммарных денежных доходах на базовый год проведения расчетов (по данным Федеральной службы государственной статистики) (ПотребРасходы), определяется по формуле:
ПотребРасходы = Всегоденежныхдоходов /
/ Потребительскиерасходы,
Всегоденежныхдоходов - расходы, учитываемые по статье "всего денежных доходов" баланса денежных доходов и расходов населения (по данным Федеральной службы государственной статистики) за базовый год проведения расчетов, рублей;
Потребительскиерасходы - расходы, учитываемые по статье "потребительские расходы" баланса денежных доходов и расходов населения (по данным Федеральной службы государственной статистики) за базовый год проведения расчетов, рублей.
VIII. Расчет прироста валового внутреннего
продукта Российской Федерации в связи с реализацией
инфраструктурного проекта
65. Прирост валового внутреннего продукта Российской Федерации при реализации инфраструктурного проекта в ценах, приведенных к базовому году (ВВПб), определяется по формуле:
- прирост валовой добавленной стоимости в результате эффектов инвестиционного спроса на инвестиционной стадии инфраструктурного проекта в ценах, приведенных к базовому году, рублей;
- прирост валовой добавленной стоимости в результате эффектов дополнительного спроса на эксплуатационной стадии инфраструктурного проекта в ценах, приведенных к базовому году, рублей;
- прирост валовой добавленной стоимости в результате прямых эффектов от прироста выручки на эксплуатационной стадии инфраструктурного проекта в ценах, приведенных к базовому году, рублей;
- прирост валового внутреннего продукта Российской Федерации в результате экономии времени в пути за счет дополнительного свободного времени пассажиров, водителей и экономии на оборотном капитале и транспортных расходах компаний, являющихся грузоотправителями, а также за счет прироста выпуска у производителей в связи с сокращением времени доступа к рынкам сбыта при реализации инфраструктурного проекта в ценах, приведенных к базовому году, рублей;
- прирост валового внутреннего продукта Российской Федерации в результате повышения безопасности перевозок пассажиров за счет сокращения числа смертей и ранений пассажиров, в том числе в результате смещения пассажиропотока с автомобильного транспорта на иные виды транспорта, при реализации инфраструктурного проекта в ценах, приведенных к базовому году, рублей;
- прирост валового внутреннего продукта Российской Федерации в результате агломерационного эффекта за счет прироста населения агломерации при реализации инфраструктурного проекта в ценах, приведенных к базовому году, рублей;
- прирост валового внутреннего продукта Российской Федерации в результате ликвидации инфраструктурных ограничений за счет возникновения дополнительной пропускной способности и (или) сохранения существующей пропускной способности для прироста и (или) сохранения выпуска продукции хозяйствующими субъектами, не являющимися непосредственными участниками инфраструктурного проекта, при реализации инфраструктурного проекта в ценах, приведенных к базовому году, рублей;
- прирост валового внутреннего продукта Российской Федерации в результате индуцированного прироста туристического потока при реализации инфраструктурного проекта в ценах, приведенных к базовому году, рублей.
66. Прирост валовой добавленной стоимости или валового внутреннего продукта Российской Федерации в результате h-го эффекта при реализации инфраструктурного проекта, который указан в пункте 65 настоящей методики, в ценах, приведенных к базовому году (
), определяется по формуле:
- прирост валовой добавленной стоимости по h-му эффекту при реализации инфраструктурного проекта в году t, рублей;
rb - ставка дисконтирования, процентов;
0,5 - корректирующая величина, обеспечивающая распределение дисконтируемых денежных потоков в течение года;
tи - год начала инвестиционной стадии инфраструктурного проекта, лет;
tэ - год завершения эксплуатационной стадии инфраструктурного проекта, лет.
67. Ставка дисконтирования (rb) принимается равной величине средней доходности долгосрочных облигаций федерального займа со сроком погашения 10 лет и определяется по формуле:
Yg(10) - опубликованное на официальном сайте публичного акционерного общества "Московская Биржа ММВБ-РТС" (далее - Московская биржа) в информационно-телекоммуникационной сети "Интернет" соответствующее сроку погашения 10 лет значение G-кривой (зависимости бескупонной доходности государственных обязательств от их дюрации), рассчитанное Московской биржей по результатам торгов на Московской бирже на последний день года, за который имеется весь набор необходимых исходных статистических данных;
gk - количество торговых дней в квартале, предшествующем кварталу проведения оценки, в течение которых осуществлялись торги с использованием системы электронных торгов Московской биржи и за которые на официальном сайте Московской биржи в информационно-телекоммуникационной сети "Интернет" было опубликовано значение Yg(10);
g - индекс дня, принимающий значения от 1 до gk.
Дисконтирование по значению показателя Yg(10) используется в случае необходимости сравнения эффективности инфраструктурных проектов, реализуемых на рыночных условиях. В иных случаях используется дисконтирование по значению индекса-дефлятора валового внутреннего продукта Российской Федерации в году t (
).
68. Прирост валового внутреннего продукта Российской Федерации в результате экономии времени в пути за счет дополнительного свободного времени пассажиров, водителей и экономии на оборотном капитале и транспортных расходах компаний, являющихся грузоотправителями, а также за счет прироста выпуска у производителей в связи с сокращением времени доступа к рынкам сбыта при реализации инфраструктурного проекта в году t (
) определяется по формуле:
где
- доля валовой добавленной стоимости в стоимости продукции обрабатывающих производств, виды которой в рамках ОКПД 2 приведены в перечне, предусмотренном приложением N 4 к настоящей методике, процентов.
69. Прирост валового внутреннего продукта Российской Федерации в результате повышения безопасности перевозок пассажиров за счет сокращения числа смертей и ранений пассажиров, в том числе в результате смещения пассажиропотока с автомобильного транспорта на иные виды транспорта, при реализации инфраструктурного проекта в году t (
) определяется по формуле:
70. Прирост валового внутреннего продукта Российской Федерации в результате агломерационного эффекта за счет прироста населения агломерации при реализации инфраструктурного проекта в году t (
) определяется по формуле:
71. Прирост валового внутреннего продукта Российской Федерации в результате ликвидации инфраструктурных ограничений за счет возникновения дополнительной пропускной способности и (или) сохранения существующей пропускной способности для прироста и (или) сохранения выпуска продукции хозяйствующими субъектами, не являющимися непосредственными участниками инфраструктурного проекта, при реализации инфраструктурного проекта в году t (
) определяется по формуле:
72. Прирост валового внутреннего продукта Российской Федерации в результате индуцированного прироста туристического потока при реализации инфраструктурного проекта в году t (
) определяется по формуле:
- доля валовой добавленной стоимости в стоимости продукции составной отрасли туризма, процентов;
- коэффициент-мультипликатор, показывающий прирост валовой добавленной стоимости в смежных туризму отраслях экономики при росте выпуска продукции в туризме на один рубль.
IX. Расчет налоговых и иных обязательных
платежей в бюджеты бюджетной системы Российской Федерации
при реализации инфраструктурного проекта
73. Налоговые и иные обязательные поступления в бюджеты бюджетной системы Российской Федерации, включающие все налоги и сборы, в том числе отчисления в фонды социального страхования (далее - налоговые и иные обязательные поступления), при реализации инфраструктурного проекта в ценах, приведенных к базовому году (НПб), определяются по формуле:
- прирост налоговых и иных обязательных поступлений в результате эффектов инвестиционного спроса на инвестиционной стадии инфраструктурного проекта в ценах, приведенных к базовому году, рублей;
- прирост налоговых и иных обязательных поступлений в результате эффектов дополнительного спроса на эксплуатационной стадии инфраструктурного проекта в ценах, приведенных к базовому году, рублей;
- прирост налоговых и иных обязательных поступлений в результате прямых эффектов от прироста выручки на эксплуатационной стадии инфраструктурного проекта в ценах, приведенных к базовому году, рублей;
- прирост налоговых и иных обязательных поступлений в результате экономии времени в пути за счет дополнительного свободного времени пассажиров, водителей и экономии на оборотном капитале и транспортных расходах компаний, являющихся грузоотправителями, а также за счет прироста выпуска у производителей в связи с сокращением времени доступа к рынкам сбыта при реализации инфраструктурного проекта в ценах, приведенных к базовому году, рублей;
- прирост налоговых и иных обязательных поступлений в результате повышения безопасности перевозок пассажиров за счет сокращения числа смертей и ранений пассажиров, в том числе в результате смещения пассажиропотока с автомобильного транспорта на иные виды транспорта, при реализации инфраструктурного проекта в ценах, приведенных к базовому году, рублей;
- прирост налоговых и иных обязательных поступлений в результате агломерационного эффекта за счет прироста населения агломерации при реализации инфраструктурного проекта в ценах, приведенных к базовому году, рублей;
- прирост налоговых и иных обязательных поступлений в результате ликвидации инфраструктурных ограничений за счет возникновения дополнительной пропускной способности и (или) сохранения существующей пропускной способности для прироста и (или) сохранения выпуска продукции хозяйствующими субъектами, не являющимися непосредственными участниками инфраструктурного проекта, при реализации инфраструктурного проекта в ценах, приведенных к базовому году, рублей;
- прирост налоговых и иных обязательных поступлений в результате индуцированного прироста туристического потока при реализации инфраструктурного проекта в ценах, приведенных к базовому году, рублей.
74. Прирост налоговых и иных обязательных поступлений в результате h-го эффекта при реализации инфраструктурного проекта, который указан в пункте 73 настоящей методики, в ценах, приведенных к базовому году (
), определяется по формуле:
- прирост налоговых и иных обязательных поступлений по h-му эффекту при реализации инфраструктурного проекта в году t, рублей;
0,5 - корректирующая величина, обеспечивающая распределение дисконтируемых денежных потоков в течение года.
75. Прирост налоговых и иных обязательных поступлений в результате эффектов инвестиционного спроса на инвестиционной стадии инфраструктурного проекта в году t (
) определяется по формуле:
- доля прямых налоговых эффектов в i-м виде экономической деятельности, процентов;
- доля косвенных налоговых эффектов в смежных отраслях в i-м виде экономической деятельности, процентов.
76. Прирост налоговых и иных обязательных поступлений в результате эффектов дополнительного спроса на эксплуатационной стадии инфраструктурного проекта в году t (
) определяется по формуле, аналогичной формуле, приведенной в пункте 75 настоящей методики (при этом вместо показателя
используется показатель
).
77. Прирост налоговых и иных обязательных поступлений в результате прямых эффектов от прироста выручки на эксплуатационной стадии инфраструктурного проекта (
) в году t определяется по формуле:
78. Налоговые и иные обязательные платежи в результате экономии времени в пути за счет дополнительного свободного времени пассажиров, водителей и экономии на оборотном капитале и транспортных расходах компаний, являющихся грузоотправителями, а также за счет прироста выпуска у производителей в связи с сокращением времени доступа к рынкам сбыта при реализации инфраструктурного проекта в году t (
) определяются по формуле:
dНП - доля налоговых и иных обязательных платежей в валовой добавленной стоимости (в целом по экономике Российской Федерации), процентов;
- налоговая ставка по налогу на прибыль организаций в году t, процентов.
79. Налоговые и иные обязательные платежи в результате повышения безопасности перевозок пассажиров за счет сокращения числа смертей и ранений пассажиров, в том числе в результате смещения пассажиропотока с автомобильного транспорта на иные виды транспорта, при реализации инфраструктурного проекта в году t (
) определяются по формуле:
80. Прирост налоговых и иных обязательных поступлений в результате агломерационного эффекта за счет прироста населения агломерации при реализации инфраструктурного проекта в году t (
) определяется по формуле:
81. Прирост налоговых и иных обязательных поступлений в результате ликвидации инфраструктурных ограничений за счет возникновения дополнительной пропускной способности и (или) сохранения существующей пропускной способности для прироста и (или) сохранения выпуска продукции хозяйствующими субъектами, не являющимися непосредственными участниками инфраструктурного проекта, при реализации инфраструктурного проекта в году t (
) определяется по формуле:
82. Прирост налоговых и иных обязательных поступлений в результате индуцированного прироста туристического потока при реализации инфраструктурного проекта в году t (
) определяется по формуле:
X. Расчет бюджетных эффектов от реализации
инфраструктурного проекта
83. Бюджетные эффекты от реализации инфраструктурного проекта в ценах, приведенных к базовому году (БЭб), определяются по формуле:
НЛб - налоговые льготы, предоставляемые для целей реализации инфраструктурного проекта, в ценах, приведенных к базовому году, рублей;
БРб - расходы федерального бюджета и бюджетов субъектов Российской Федерации, осуществляемые для реализации инфраструктурного проекта, в ценах, приведенных к базовому году, рублей.
84. Налоговые льготы, предоставляемые для целей реализации инфраструктурного проекта, в ценах, приведенных к базовому году (НЛб), определяются по формуле:
НЛt - налоговые льготы, предоставляемые для целей реализации инфраструктурного проекта в году t, рублей;
0,5 - корректирующая величина, обеспечивающая распределение дисконтируемых денежных потоков в течение года.
85. Налоговые льготы, предоставляемые для целей реализации инфраструктурного проекта в году t (НЛt), определяются по формуле:
- сумма платежей по w-му виду налога при реализации инфраструктурного проекта в году t в соответствии с законодательством Российской Федерации о налогах и сборах исходя из налоговой базы и налоговой ставки, предусмотренной для организаций отрасли, в которой реализуется инфраструктурный проект, рублей;
- сумма платежей по w-му виду налога при реализации инфраструктурного проекта в году t в соответствии с данными инициатора инфраструктурного проекта, рублей;
86. Расходы федерального бюджета и бюджетов субъектов Российской Федерации, осуществляемые для реализации инфраструктурного проекта, в ценах, приведенных к базовому году (БРб), определяются по формуле:
БРt - расходы федерального бюджета и бюджетов субъектов Российской Федерации, осуществляемые для реализации инфраструктурного проекта в году t, рублей;
0,5 - корректирующая величина, обеспечивающая распределение дисконтируемых денежных потоков в течение года.
87. Расходы федерального бюджета и бюджетов субъектов Российской Федерации, осуществляемые для реализации инфраструктурного проекта в году t (БРt), определяются по формуле:
ФРt - фиксированные расходы федерального бюджета и бюджетов субъектов Российской Федерации, осуществляемые для реализации инфраструктурного проекта в году t, рублей;
ОРt - обусловленные расходы федерального бюджета и бюджетов субъектов Российской Федерации, предусмотренные для реализации инфраструктурного проекта в году t, рублей.
88. Фиксированные расходы федерального бюджета и бюджетов субъектов Российской Федерации, осуществляемые для реализации инфраструктурного проекта в году t (ФРt), включают в себя бюджетные ассигнования на закупки товаров (работ, услуг) для обеспечения государственных и муниципальных нужд, на предоставление субсидий и бюджетных инвестиций, которые осуществляются за счет средств федерального бюджета в году t для целей реализации инфраструктурного проекта.
В случае если для целей реализации инфраструктурного проекта предполагается использование бюджетных ассигнований на закупки товаров (работ, услуг) для обеспечения государственных и муниципальных нужд, на предоставление субсидий и бюджетных инвестиций, осуществляемых за счет средств бюджетов субъектов Российской Федерации, источником финансового обеспечения которых являются межбюджетные трансферты из федерального бюджета, указанные бюджетные ассигнования учитываются при определении фиксированных расходов федерального бюджета и бюджетов субъектов Российской Федерации, осуществляемых для реализации инфраструктурного проекта в году t (ФРt).
89. Обусловленные расходы федерального бюджета и бюджетов субъектов Российской Федерации, предусмотренные для реализации инфраструктурного проекта в году t (ОРt), определяются по формуле:
pо - вероятность возникновения обязательств при реализации инфраструктурного проекта, процентов. Актуализируется ежегодно по фактическим данным предыдущих 5 лет;
МГДt - размер расходных обязательств федерального бюджета и бюджетов субъектов Российской Федерации по обеспечению минимального гарантированного дохода при реализации инфраструктурного проекта в году t, рублей. Включает в себя размер расходных обязательств Российской Федерации по обеспечению минимального гарантированного дохода при реализации инфраструктурного проекта в году t;
ГГt - оценочный размер предъявленных требований об исполнении государственных гарантий Российской Федерации и субъектов Российской Федерации, предоставляемых в рамках реализации инфраструктурного проекта, в году t, рублей. Включает в себя оценочный размер предъявленных требований об исполнении государственных гарантий Российской Федерации, предоставляемых в рамках реализации инфраструктурного проекта в году t.
90. В случае если для целей реализации инфраструктурного проекта предполагается использование бюджетных ассигнований на закупки товаров (работ, услуг) для обеспечения государственных и муниципальных нужд, на предоставление субсидий и бюджетных инвестиций, которые осуществляются за счет средств бюджетов субъектов Российской Федерации, указанные бюджетные ассигнования учитываются при определении размера фиксированных расходов федерального бюджета и бюджетов субъектов Российской Федерации, осуществляемых для реализации инфраструктурного проекта в году t (ФРt), за исключением размера бюджетных ассигнований, источником финансового обеспечения которых являются межбюджетные трансферты из федерального бюджета бюджетам субъектов Российской Федерации.
91. В случае если для целей реализации инфраструктурного проекта предполагается исполнение расходных обязательств субъектов Российской Федерации по обеспечению минимального дохода при реализации инфраструктурного проекта, размер соответствующих расходных обязательств субъектов Российской Федерации учитывается при определении размера расходных обязательств федерального бюджета и бюджетов субъектов Российской Федерации по обеспечению минимального гарантированного дохода при реализации инфраструктурного проекта в году t (МГДt).
92. В случае если для целей реализации инфраструктурного проекта предполагается предоставление государственных гарантий субъектов Российской Федерации, соответствующие государственные гарантии субъектов Российской Федерации учитываются при определении оценочного размера предъявленных требований об исполнении государственных гарантий Российской Федерации и субъектов Российской Федерации, предоставляемых в рамках реализации инфраструктурного проекта, в году t (ГГt).
93. Расчет оценочного размера предъявляемых требований об исполнении государственных гарантий Российской Федерации и субъектов Российской Федерации, предоставляемых в рамках реализации инфраструктурного проекта, в году t (ГГt) осуществляется исходя из фактических объемов и сроков обязательств, возникающих при реализации инфраструктурного проекта, обеспеченных действующими на дату проведения оценки государственными гарантиями.
XI. Расчет коэффициентов эффективности реализации
инфраструктурного проекта
94. Коэффициент эффективности инвестиций в инфраструктурный проект (КЭзв) определяется по формуле:
- прирост валового внутреннего продукта Российской Федерации на эксплуатационной стадии инфраструктурного проекта в ценах, приведенных к базовому году, рублей;
- сумма стоимостей продукций всех i-х видов экономической деятельности, используемых на инвестиционной стадии инфраструктурного проекта, в ценах, приведенных к базовому году, рублей;
- сумма стоимостей продукций всех i-х видов экономической деятельности, используемых на эксплуатационной стадии инфраструктурного проекта, в ценах, приведенных к базовому году, рублей.
Коэффициент эффективности инвестиций в инфраструктурный проект (КЭзв) рассчитывается для целей сравнения инфраструктурных проектов.
95. Прирост валового внутреннего продукта Российской Федерации на эксплуатационной стадии инфраструктурного проекта в ценах, приведенных к базовому году (
), определяется по формуле:
96. Коэффициент эффективности бюджетных вложений (ЭБ) определяется по формуле:
97. Доля внебюджетных средств, планируемых к привлечению при реализации инфраструктурного проекта (ВРзв), определяется по формуле:
98. Среднегодовой прирост валового внутреннего продукта на эксплуатационной стадии инфраструктурного проекта в случае реализации инфраструктурного проекта (ВВПсргодб) определяется по формуле:
99. Среднегодовой бюджетный эффект при реализации инфраструктурного проекта (
) определяется по формуле:
100. Срок окупаемости бюджетных инвестиций (БИокуп) определяется по формуле:
101. Вклад каждого отдельного h-го эффекта в совокупный прирост валового внутреннего продукта Российской Федерации при реализации инфраструктурного проекта в ценах, приведенных к базовому году (
), определяется по формуле:
где
- прирост валового внутреннего продукта Российской Федерации в результате h-го эффекта при реализации инфраструктурного проекта, который указан в пункте 65 настоящей методики, в ценах, приведенных к базовому году, рублей.
102. Чистая приведенная стоимость потока бюджетных средств (
) определяется по формуле:
103. Внутренняя норма доходности потока бюджетных средств (ВНДБ) определяется по формуле:
где ВНД - ставка внутренней нормы доходности, при которой значение показателя ВНДБ равняется нулю.
к методике оценки
социально-экономических
эффектов от проектов строительства
(реконструкции) и эксплуатации
объектов транспортной инфраструктуры,
планируемых к реализации с привлечением
средств федерального бюджета, а также
с предоставлением государственных
гарантий Российской Федерации
и налоговых льгот
К СОДЕРЖАНИЮ ПАСПОРТА ПРОЕКТА СТРОИТЕЛЬСТВА (РЕКОНСТРУКЦИИ)
И ЭКСПЛУАТАЦИИ ОБЪЕКТОВ ТРАНСПОРТНОЙ ИНФРАСТРУКТУРЫ,
ПЛАНИРУЕМОГО К РЕАЛИЗАЦИИ С ПРИВЛЕЧЕНИЕМ СРЕДСТВ
ФЕДЕРАЛЬНОГО БЮДЖЕТА, А ТАКЖЕ С ПРЕДОСТАВЛЕНИЕМ
ГОСУДАРСТВЕННЫХ ГАРАНТИЙ РОССИЙСКОЙ ФЕДЕРАЦИИ
И НАЛОГОВЫХ ЛЬГОТ
1. Паспорт проекта строительства (реконструкции) и эксплуатации объектов транспортной инфраструктуры, планируемого к реализации с привлечением средств федерального бюджета, а также с предоставлением государственных гарантий Российской Федерации и налоговых льгот, стоимостью свыше 3 млрд. рублей (далее соответственно - инфраструктурный проект, паспорт инфраструктурного проекта) заполняется инициатором инфраструктурного проекта.
2. Все данные заполняются на период от даты начала создания и (или) реконструкции объектов транспортной инфраструктуры до даты ввода таких объектов (их отдельных частей) в эксплуатацию в рамках инфраструктурного проекта, а также на период от даты ввода в эксплуатацию объектов транспортной инфраструктуры в рамках инфраструктурного проекта до истечения первых 20 лет их эксплуатации. Все денежные показатели заполняются в ценах соответствующих лет.
3. Паспорт инфраструктурного проекта включает набор данных, источником информации по которым является документация, представляемая инициатором инфраструктурного проекта согласно приложению N 3 к методике оценки социально-экономических эффектов от проектов строительства (реконструкции) и эксплуатации объектов транспортной инфраструктуры, планируемых к реализации с привлечением средств федерального бюджета, а также с предоставлением государственных гарантий Российской Федерации и налоговых льгот, утвержденной постановлением Правительства Российской Федерации от 26 ноября 2019 г. N 1512 "Об утверждении методики оценки социально-экономических эффектов от проектов строительства (реконструкции) и эксплуатации объектов транспортной инфраструктуры, планируемых к реализации с привлечением средств федерального бюджета, а также с предоставлением государственных гарантий Российской Федерации и налоговых льгот" (в редакции постановления Правительства Российской Федерации от 6 июня 2024 г. N 774), а также сведения о названии и инициаторе инфраструктурного проекта, перечень субъектов Российской Федерации, на территории которых планируется реализация инфраструктурного проекта, сведения о видах транспорта в рамках инфраструктурного проекта, сроке инвестиционной стадии, категориях автомобильных дорог (до и после реализации инфраструктурного проекта).
к методике оценки
социально-экономических
эффектов от проектов строительства
(реконструкции) и эксплуатации
объектов транспортной инфраструктуры,
планируемых к реализации с привлечением
средств федерального бюджета, а также
с предоставлением государственных
гарантий Российской Федерации
и налоговых льгот
СОЦИАЛЬНО-ЭКОНОМИЧЕСКИЕ ЭФФЕКТЫ
ОТ ПРОЕКТОВ СТРОИТЕЛЬСТВА (РЕКОНСТРУКЦИИ) И ЭКСПЛУАТАЦИИ
ОБЪЕКТОВ ТРАНСПОРТНОЙ ИНФРАСТРУКТУРЫ, ПЛАНИРУЕМЫХ
К РЕАЛИЗАЦИИ С ПРИВЛЕЧЕНИЕМ СРЕДСТВ ФЕДЕРАЛЬНОГО
БЮДЖЕТА, А ТАКЖЕ С ПРЕДОСТАВЛЕНИЕМ ГОСУДАРСТВЕННЫХ
ГАРАНТИЙ РОССИЙСКОЙ ФЕДЕРАЦИИ И НАЛОГОВЫХ ЛЬГОТ,
ПО ВИДАМ ТРАНСПОРТА
|
Прирост валовой добавленной стоимости и бюджетных доходов в результате |
||||||
|
инвестиционного спроса и прямых эффектов от прироста выручки |
||||||
Примечания: 1. "V" - социально-экономический эффект рассчитывается.
2. "-" - социально-экономический эффект не рассчитывается.
к методике оценки
социально-экономических
эффектов от проектов строительства
(реконструкции) и эксплуатации
объектов транспортной инфраструктуры,
планируемых к реализации с привлечением
средств федерального бюджета, а также
с предоставлением государственных
гарантий Российской Федерации
и налоговых льгот
ИСТОЧНИКОВ ИНФОРМАЦИИ ДЛЯ ОЦЕНКИ
СОЦИАЛЬНО-ЭКОНОМИЧЕСКИХ ЭФФЕКТОВ ОТ РЕАЛИЗАЦИИ ПРОЕКТОВ
СТРОИТЕЛЬСТВА (РЕКОНСТРУКЦИИ) И ЭКСПЛУАТАЦИИ ОБЪЕКТОВ
ТРАНСПОРТНОЙ ИНФРАСТРУКТУРЫ, ПЛАНИРУЕМЫХ К РЕАЛИЗАЦИИ
С ПРИВЛЕЧЕНИЕМ СРЕДСТВ ФЕДЕРАЛЬНОГО БЮДЖЕТА, А ТАКЖЕ
С ПРЕДОСТАВЛЕНИЕМ ГОСУДАРСТВЕННЫХ ГАРАНТИЙ
РОССИЙСКОЙ ФЕДЕРАЦИИ И НАЛОГОВЫХ ЛЬГОТ
|
доля валовой добавленной стоимости продукции i-го вида экономической деятельности, процентов |
||
|
стоимость продукции i-го вида экономической деятельности, используемой в период от даты начала создания и (или) реконструкции объектов транспортной инфраструктуры до даты ввода таких объектов (их отдельных частей) в эксплуатацию в рамках проекта строительства (реконструкции) и эксплуатации объектов транспортной инфраструктуры, планируемого к реализации с привлечением средств федерального бюджета, а также с предоставлением государственных гарантий Российской Федерации и налоговых льгот, стоимостью свыше 3 млрд. рублей (далее - инфраструктурный проект) в году t, рублей |
документация, представляемая инициатором инфраструктурного проекта |
|
|
доля импортной продукции в i-м виде экономической деятельности, процентов |
||
|
доля торгово-транспортных наценок в стоимости продукции i-го вида экономической деятельности, процентов |
||
|
доля валовой добавленной стоимости в стоимости выпуска отраслей торговли и транспорта, процентов |
||
|
коэффициент полной импортоемкости продукции i-го вида экономической деятельности |
||
|
стоимость продукции i-го вида экономической деятельности, используемой в периоде от даты ввода в эксплуатацию объектов транспортной инфраструктуры в рамках инфраструктурного проекта до истечения первых 20 лет их эксплуатации (далее - эксплуатационная стадия инфраструктурного проекта) в году t, рублей |
документация, представляемая инициатором инфраструктурного проекта |
|
|
суммарный прирост выручки k-го непосредственного участника инфраструктурного проекта от реализации продукции i-го вида экономической деятельности в году t, рублей |
документация, представляемая инициатором инфраструктурного проекта |
|
|
налоговая ставка по налогу на прибыль организаций в году t, процентов |
Налоговый кодекс Российской Федерации, основные направления бюджетной, налоговой и таможенно-тарифной политики Российской Федерации |
|
|
доля прямых налоговых эффектов в i-м виде экономической деятельности, процентов |
||
|
доля косвенных налоговых эффектов в смежных отраслях в i-м виде экономической деятельности, процентов |
||
|
средневзвешенная среднемесячная номинальная начисленная заработная плата работников в субъектах Российской Федерации, на территории которых реализуется инфраструктурный проект, в базовом году, к ценам которого для сопоставимости приводятся стоимостные показатели последующих лет (далее - базовый год), рублей |
||
|
среднемесячная номинальная начисленная заработная плата работников каждого n-го субъекта Российской Федерации, на территории которого реализуется инфраструктурный проект, в базовом году, рублей |
||
|
прогнозное суммарное количество пассажиров и водителей по всем маршрутам при реализации инфраструктурного проекта в году t, человек |
документация, представляемая инициатором инфраструктурного проекта |
|
|
экономия времени в пути груза в году t на s-м маршруте, часов |
документация, представляемая инициатором инфраструктурного проекта |
|
|
прогнозное количество пассажиров и водителей при реализации инфраструктурного проекта в году t на s-м маршруте, человек |
документация, представляемая инициатором инфраструктурного проекта |
|
|
экономия времени в пути пассажиров и водителей при реализации инфраструктурного проекта в году t на s-м маршруте, часов |
документация, представляемая инициатором инфраструктурного проекта |
|
|
масса груза, перевозимого одним транспортным средством q-го вида транспорта в году t, тонн |
документация, представляемая инициатором инфраструктурного проекта |
|
|
прогнозный объем перевозок j-го вида продукции в году t по s-му маршруту по почасовому тарифу, тонн |
документация, представляемая инициатором инфраструктурного проекта |
|
|
прогнозный объем перевозок j-го вида продукции в году t по s-му маршруту по покилометровому тарифу, тонн |
документация, представляемая инициатором инфраструктурного проекта |
|
|
почасовой тариф на перевозку j-го вида продукции в базовом году, рублей за тонну |
документация, представляемая инициатором инфраструктурного проекта |
|
|
покилометровый тариф на перевозку одной тонны груза j-го вида продукции в базовом году, рублей за тонну |
документация, представляемая инициатором инфраструктурного проекта |
|
|
интенсивность движения q-го вида грузового транспорта в году t по всем маршрутам инфраструктурного проекта, транспортных средств в год |
документация, представляемая инициатором инфраструктурного проекта |
|
|
прогнозная интенсивность движения грузового транспорта в году t по s-му маршруту, транспортных средств в год |
документация, представляемая инициатором инфраструктурного проекта |
|
|
коэффициент, показывающий прирост выпуска j-го вида продукции в целом по экономике при снижении транспортных затрат на его перевозку на один процент |
||
|
средняя стоимость груза, перевозимого одним транспортным средством в ценах базового года, рублей |
документация, представляемая инициатором инфраструктурного проекта |
|
|
средняя стоимость одной тонны груза, перевозимого транспортными средствами q-го вида транспорта, в ценах базового года, рублей за тонну |
документация, представляемая инициатором инфраструктурного проекта |
|
|
средневзвешенная процентная ставка по кредитам, предоставленным кредитными организациями нефинансовым организациям в рублях (в целом по Российской Федерации, средняя за квартал, предшествующий кварталу оценки) на срок от 91 до 180 дней, процентов в годовом исчислении |
данные Банка России (www.cbr.ru), последние доступные данные |
|
|
количество календарных дней в году t эксплуатационной стадии инфраструктурного проекта |
||
|
среднегодовая суточная интенсивность движения на пути следования при реализации инфраструктурного проекта в году t, автомобилей в сутки |
документация, представляемая инициатором инфраструктурного проекта |
|
|
коэффициент смещения пассажиропотока с существующего на предполагаемый маршрут движения при реализации инфраструктурного проекта в году t, процентов |
документация, представляемая инициатором инфраструктурного проекта |
|
|
количество погибших в дорожно-транспортных происшествиях в субъекте Российской Федерации, на территории которого реализуется инфраструктурный проект, человек в год |
данные МВД России (www.stat.gibdd.ru), последние доступные данные |
|
|
количество дорожно-транспортных происшествий в субъекте Российской Федерации, на территории которого реализуется инфраструктурный проект, единиц в год |
данные МВД России (www.stat.gibdd.ru), последние доступные данные |
|
|
возраст, установленный законодательством Российской Федерации о трудовых пенсиях, по достижении которого мужчины получают право на трудовую пенсию по старости для года t реализации инфраструктурного проекта, лет |
||
|
возраст, установленный законодательством Российской Федерации о трудовых пенсиях, по достижении которого женщины получают право на трудовую пенсию по старости для года t реализации инфраструктурного проекта, лет |
||
|
прогнозная численность мужчин в Российской Федерации в году t реализации инфраструктурного проекта, человек |
- Гражданский кодекс (ГК РФ)
- Жилищный кодекс (ЖК РФ)
- Налоговый кодекс (НК РФ)
- Трудовой кодекс (ТК РФ)
- Уголовный кодекс (УК РФ)
- Бюджетный кодекс (БК РФ)
- Арбитражный процессуальный кодекс
- Конституция РФ
- Земельный кодекс (ЗК РФ)
- Лесной кодекс (ЛК РФ)
- Семейный кодекс (СК РФ)
- Уголовно-исполнительный кодекс
- Уголовно-процессуальный кодекс
- Производственный календарь на 2025 год
- МРОТ 2025
- ФЗ «О банкротстве»
- О защите прав потребителей (ЗОЗПП)
- Об исполнительном производстве
- О персональных данных
- О налогах на имущество физических лиц
- О средствах массовой информации
- Производственный календарь на 2026 год
- Федеральный закон "О полиции" N 3-ФЗ
- Расходы организации ПБУ 10/99
- Минимальный размер оплаты труда (МРОТ)
- Календарь бухгалтера на 2025 год
- Частичная мобилизация: обзор новостей
- Постановление Правительства РФ N 1875









































,










,





.

















.













