2.1. Мониторинг мер по адаптации к изменениям климата, предусмотренных отраслевыми, региональными и корпоративными планами адаптации к изменениям климата (далее - планы адаптации), рекомендуется осуществлять на ежегодной основе по следующим характеристикам:
а) общий прогресс выполнения адаптационных мероприятий;
б) текущий уровень выполнения адаптационных мероприятий;
в) общий прогресс выполнения показателей достижения целей адаптации (далее - целевые показатели), предусмотренных Показателями достижения целей адаптации к изменениям климата, утвержденными приказом Минэкономразвития России от 13 мая 2021 г. N 267;
г) текущий уровень выполнения плана адаптации.
2.2. Определение указанных характеристик рекомендуется осуществлять на основе текущего статуса выполнения мероприятий и целевых показателей по состоянию на 31 декабря отчетного года (далее - отчетная дата).
2.3. Общий прогресс выполнения адаптационных мероприятий рекомендуется определять по формуле:
ОПМ - общий прогресс выполнения адаптационных мероприятий, %;
N1 - количество выполненных мероприятий плана адаптации по состоянию на отчетную дату;
N - общее количество мероприятий плана адаптации.
2.4. Текущий уровень выполнения адаптационных мероприятий рекомендуется определять по формуле:
ТМ - текущий уровень выполнения адаптационных мероприятий, %;
N1 - количество выполненных мероприятий плана адаптации по состоянию на отчетную дату;
Nт - количество мероприятий плана адаптации, плановый срок выполнения которых истекает до отчетной даты (включая отчетную дату).
В случае отсутствия мероприятий плана адаптации, плановый срок выполнения которых истекает до отчетной даты (включая отчетную дату), текущий уровень выполнения адаптационных мероприятий (ТМ) рекомендуется не рассчитывать, а в формуле, предусмотренной пунктом 2.7 главы 2 Рекомендаций, характеристика текущего уровня выполнения адаптационных мероприятий (ТМ) рекомендуется принимать равной нулю.
(абзац введен Приказом Минэкономразвития России от 29.12.2025 N 854)
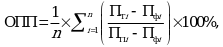
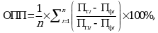
2.5. Общий прогресс выполнения целевых показателей рекомендуется определять по следующей формуле:
ОПП - общий прогресс выполнения целевых показателей, %;
n - общее количество целевых показателей в плане адаптации;
ПТi - значение i-го целевого показателя по состоянию на отчетную дату;
ППi - плановое значение i-го целевого показателя в 2027 году (в случае завершения адаптационного мероприятия, которому соответствует целевой показатель, до 2027 года рекомендуется указывать значение показателя ППi на год завершения мероприятия);
(в ред. Приказа Минэкономразвития России от 29.12.2025 N 854)
(см. текст в предыдущей редакции)
Пфi - фактическое значение i-го целевого показателя в 2023 году.
2.6. При отсутствии в плане адаптации целевых показателей значение общего прогресса выполнения целевых показателей рекомендуется принимать равным нулю.
2.7. Текущий уровень выполнения плана адаптации (ТПА, в %) рекомендуется определять по формуле:
2.8. Результаты мониторинга мер по адаптации к изменениям климата рекомендуется представлять по рекомендуемой форме для представления результатов мониторинга мер по адаптации к изменениям климата, приведенной в приложении N 1 к Рекомендациям.
- Гражданский кодекс (ГК РФ)
- Жилищный кодекс (ЖК РФ)
- Налоговый кодекс (НК РФ)
- Трудовой кодекс (ТК РФ)
- Уголовный кодекс (УК РФ)
- Бюджетный кодекс (БК РФ)
- Арбитражный процессуальный кодекс
- Конституция РФ
- Земельный кодекс (ЗК РФ)
- Лесной кодекс (ЛК РФ)
- Семейный кодекс (СК РФ)
- Уголовно-исполнительный кодекс
- Уголовно-процессуальный кодекс
- Производственный календарь на 2025 год
- МРОТ 2026
- ФЗ «О банкротстве»
- О защите прав потребителей (ЗОЗПП)
- Об исполнительном производстве
- О персональных данных
- О налогах на имущество физических лиц
- О средствах массовой информации
- Производственный календарь на 2026 год
- Федеральный закон "О полиции" N 3-ФЗ
- Расходы организации ПБУ 10/99
- Минимальный размер оплаты труда (МРОТ)
- Календарь бухгалтера на 2026 год
- Частичная мобилизация: обзор новостей
- Постановление Правительства РФ N 1875



