III. Рекомендации при проведении оценки эффективности применения дегазации
33. Как правило, критерием, определяющим необходимость выполнения работ по дегазации источников метановыделения, является превышение расчетной (или фактической) метанообильности выработок I сверх допустимой по фактору вентиляции IВ (без дегазации):
I - метанообильность выработки (фактическая или по прогнозу), м3/мин;
IВ - допустимое по фактору вентиляции метановыделение в выработку без дегазации источников метановыделения, м3/мин;
- скорость движения воздуха в выработке, м/с;
c - допустимая концентрация метана в вентиляционной струе, %;
c0 - концентрация метана в поступающей вентиляционной струе, %;
KН - коэффициент неравномерности метановыделения, принимается согласно нормативному документу по вентиляции шахт.
При превышении метановыделения в подготовительной выработке рекомендуется предусматривать барьерную или ограждающую дегазацию.
При превышении метановыделения в очистную выработку рекомендуется предусматривать предварительную дегазацию разрабатываемого угольного пласта.
При превышении метановыделения на выемочном участке и из выработанного пространства рекомендуется предусматривать дегазацию сближенных пластов и (или) выработанного пространства.
При превышении метановыделения на выемочном участке рекомендуется применять комплексную дегазацию.
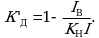
34. Значение коэффициента дегазации (K'Д) горной выработки, угольного пласта, сближенных пластов и выработанного пространства, выемочного участка или подготовительной выработки определяется по формуле:
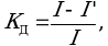
35. Фактическую эффективность дегазации рекомендуется оценивать коэффициентом дегазации КД, доли единицы, равным отношению величины снижения газообильности горной выработки за счет дегазации к газообильности выработки без применения дегазации:
где I' метановыделение в выработку при применении дегазации, м3/мин.
При фактически измеренном расходе каптируемого метана величина коэффициента KД может быть определена по формуле:
где GД - суммарный расход (дебит) метана, извлекаемого на выемочном участке средствами дегазации, м3/мин.
36. Суммарное значение коэффициента дегазации KДЕГ нескольких источников метановыделения на выемочном участке, горные работы которого воздействуют на угленосную толщу или свиту угольных пластов, складывается из величин:
nПЛ, nС.П, nС.Н, nП - долевое участие в метанообильности выработки соответственно разрабатываемого пласта, сближенных подрабатываемых пластов, сближенных надрабатываемых пластов и газоносных пород, доли единицы;
kД.ПЛ, kД.С.П, kД.С.Н, kД.П - коэффициент дегазации соответственно разрабатываемого пласта, сближенных подрабатываемых пластов, сближенных надрабатываемых пластов и газоносных пород, доли единицы.
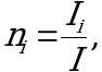
Долевое участие i-го источника ni доли единицы, метановыделения в газовом балансе участка без дегазации устанавливается из соотношения:
Ii - метановыделение на участке из i-го источника метановыделения, м3/мин;
I - метанообильность выемочного участка, м3/мин.
Значения ni, Ii, I устанавливаются согласно нормативному документу по вентиляции шахт.
Коэффициент дегазации i-го источника метановыделения kДi, доли единицы, рассчитывается по формуле:
где GДi - дебит метана, извлекаемого средствами дегазации из i-го источника, м3/мин.
37. Контроль эффективности дегазации способа (схемы) рекомендуется осуществлять путем замера дебитов метана на скважинах, расчета фактического коэффициента дегазации и сравнения его с проектным значением.
При оценке эффективности комплекса способов (схем) дегазации выемочного участка рекомендуется определять фактические коэффициенты дегазации каждого способа и комплексной схемы в целом.
Эффективность работы дегазационной системы на шахте может оцениваться величиной коэффициента:
k - число дегазируемых подготовительных и очистных выработок;
j - индекс дегазируемого участка;
GДj - дебит извлеченного средствами дегазации метана на j-м дегазируемом участке, м3/мин;
- метановыделение в вентиляционную сеть j-м дегазируемом участке, м3/мин.
Количество извлеченного средствами дегазации метана GДj м3/мин, и газовыделение в вентиляционную сеть
, м3/мин, рекомендуется принимать по отдельно взятым участкам.
38. Коэффициент дегазации источника метановыделения при последовательном применении нескольких способов его дегазации составит:
39. Для предварительной дегазации угольного массива влияние суммарного воздействия предварительной дегазации и естественной дегазации массива угля впереди очистного забоя при разгрузке от горного давления на интегральный показатель эффективности дегазации kДС к началу выемки угля комбайном может определяться:
при предварительной дегазации пласта подземными скважинами и естественной его дегазации:
при дегазации пласта с применением средств воздействия на него через подземные или наземные скважины и последующей естественной дегазации массива угля вследствие его разгрузки от горного давления:
kД.ПЛ и
- соответственно коэффициенты дегазации разрабатываемого пласта при предварительной (скважинной) дегазации и с применением средств гидравлического воздействия на пласт, доли единицы;
kе - коэффициент естественной дегазации массива угля впереди очистного забоя, доли единицы, определяется опытным путем.
- Гражданский кодекс (ГК РФ)
- Жилищный кодекс (ЖК РФ)
- Налоговый кодекс (НК РФ)
- Трудовой кодекс (ТК РФ)
- Уголовный кодекс (УК РФ)
- Бюджетный кодекс (БК РФ)
- Арбитражный процессуальный кодекс
- Конституция РФ
- Земельный кодекс (ЗК РФ)
- Лесной кодекс (ЛК РФ)
- Семейный кодекс (СК РФ)
- Уголовно-исполнительный кодекс
- Уголовно-процессуальный кодекс
- Производственный календарь на 2025 год
- МРОТ 2026
- ФЗ «О банкротстве»
- О защите прав потребителей (ЗОЗПП)
- Об исполнительном производстве
- О персональных данных
- О налогах на имущество физических лиц
- О средствах массовой информации
- Производственный календарь на 2026 год
- Федеральный закон "О полиции" N 3-ФЗ
- Расходы организации ПБУ 10/99
- Минимальный размер оплаты труда (МРОТ)
- Календарь бухгалтера на 2025 год
- Частичная мобилизация: обзор новостей
- Постановление Правительства РФ N 1875










