Рекомендации при опробовании угольных пластов на газоносность
13. Опробование угольных пластов на газоносность рекомендуется производить в присутствии комиссии, в состав которой включаются буровой мастер, геолог по изучению газоносности. Состав комиссии может определяться главным инженером шахты.
14. Отбор проб угля, намеченных для определения газоносности, рекомендуется производить одинарной или двойной колонковой трубой или специальным колонковым снарядом-керногазонаборником.
Перед перебуриванием угольного пласта скважину рекомендуется полностью очистить от породного керна, буровой мелочи и шлама во избежание истирания угля при бурении и засорения керногазонаборника шламом.
Пробы рекомендуется отбирать в виде кусков кернов:
для изучения физико-механических свойств - длиной 30 - 40 см (или три образца длиной по 15 см);
для изготовления шлифов - 5 см;
для определения общей и открытой пористости - до 10 см.
15. Каждую пробу, направляемую в лабораторию, рекомендуется маркировать своим номером.
Рекомендуемый состав лабораторных работ: дегазация проб, химический анализ извлеченного газа, изготовление шлифов, аншлифов-брикетов, подготовка образцов и определение основных показателей коллекторских свойств (для углей - общая пористость, кажущаяся и действительная плотность, сорбционная газоемкость, трещиноватость, прочность). Пробы угля, пород и жидкости (промывочная жидкость, шахтные и самоизливающиеся из скважин воды), направляемые в лабораторию для определения их газосодержания, и пробы газа принимаются в керноприемниках и пробоотборниках при отсутствии видимых дефектов (плохо пригнанных крышек и пробок, пробоин в шлангах). В лабораториях рекомендуется организовывать учет поступивших проб с присвоением каждой пробе лабораторного номера.
16. Перед постановкой керноприемника на дегазацию рекомендуется предварительно определять количество керна в нем с помощью дефектоскопа.
Перед дегазацией проб, отобранных в керноприемники, в последних рекомендуется измерять газовое давление мановакуумметром.
Дегазацию проб, отобранных в керноприемники и сосуды для жидкости, рекомендуется производить на дегазационной установке, предназначенной для извлечения газа из проб углей.
17. При наличии избыточного газового давления в керноприемниках пробы рекомендуется дегазировать в следующем порядке:
собирается газ, выделяющийся при комнатной температуре;
собирается газ, выделяющийся при термовакуумной дегазации проб, с нагревом в водяной ванне до 60 - 90 °C при вакууме с остаточным давлением 5 - 10 мм рт. ст.
пробы полуантрацитов и антрацитов, а также пород для полного извлечения газа подвергаются дроблению с последующей дегазацией.
18. Дегазацию жидкости рекомендуется производить в горизонтальной бюретке при вакууме с остаточным давлением 5 - 10 мм рт. ст. при нагревании до 60 - 90 °C.
Дегазацию проб можно считать законченной, когда при нагреве до 60 - 90 °C под вакуумом с остаточным давлением 5 - 10 мм рт. ст. из нее за 1 час выделится 10 - 15 см3 газа, что составит не более 1% извлеченного газа.
19. Угольные керны рекомендуется сдавать на технический анализ раздельно. Таюке рекомендуется сдавать на технический анализ шлам и случайные обломки породы, так как учитывается вся органическая масса, из которой выделяется газ.
20. Анализ извлеченного газа для определения основных компонентов: углекислого газа, кислорода, водорода, метана и его гомологов, азота и редких газов - рекомендуется производить на газоаналитических аппаратах по применяемым лабораторией методикам.
Объемы газов, извлеченных из газосборника и керноприемника, приводятся к следующим условиям (760 мм рт. ст. и 20 °C):
где VГ - объем извлеченного газа, см3;
К' - коэффициент перерасчета для приведения газа к нормальным условиям.
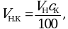
Определяются объемы VН.К компонентов, см3, по объемам VН, и данным газового анализа:
где cК - содержание компонента, %.
Определяются общие объемы VН.К. каждого компонента (в случае поэтапной дегазации пробы с раздельным анализом газов):
Рассчитывается газосодержание XП соответствующего компонента на 1 г пробы, см3/г:
Рассчитывается газосодержание каждого компонента на 1 г сухой беззольной массы пробы, см3/г с.б.м.:
где MГ - количество горючей массы пробы, г, определяемое по формуле:
где AC и W - зольность и влажность пробы соответственно, %.
Газоносность рассчитывается с учетом поправочного коэффициента, величину которого рекомендуется устанавливать для каждого угольного бассейна.
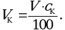
По данным газового анализа и объему извлеченного газа содержание газовых компонентов VK, см3, в газосодержащей жидкости рекомендуется рассчитывать по формуле:
Из объема газовой смеси исключается объем кислорода и азота воздуха, растворившихся в жидкости при ее отборе.
Содержание газовых компонентов в извлеченном из пробы газе, %, рассчитывается по соотношению:
где Vпр - количество извлеченного газа (без атмосферного кислорода и азота), см3.
Абсолютное содержание отдельных газовых компонентов на 1 л жидкости, см3/л, определяется по формуле:
- Гражданский кодекс (ГК РФ)
- Жилищный кодекс (ЖК РФ)
- Налоговый кодекс (НК РФ)
- Трудовой кодекс (ТК РФ)
- Уголовный кодекс (УК РФ)
- Бюджетный кодекс (БК РФ)
- Арбитражный процессуальный кодекс
- Конституция РФ
- Земельный кодекс (ЗК РФ)
- Лесной кодекс (ЛК РФ)
- Семейный кодекс (СК РФ)
- Уголовно-исполнительный кодекс
- Уголовно-процессуальный кодекс
- Производственный календарь на 2025 год
- МРОТ 2025
- ФЗ «О банкротстве»
- О защите прав потребителей (ЗОЗПП)
- Об исполнительном производстве
- О персональных данных
- О налогах на имущество физических лиц
- О средствах массовой информации
- Производственный календарь на 2026 год
- Федеральный закон "О полиции" N 3-ФЗ
- Расходы организации ПБУ 10/99
- Минимальный размер оплаты труда (МРОТ)
- Календарь бухгалтера на 2025 год
- Частичная мобилизация: обзор новостей
- Постановление Правительства РФ N 1875







