Определение объемов метана, каптируемого при дегазации разрабатываемых угольных пластов
231. Для определения фактического расхода метана, каптируемого пластовой скважиной, рекомендуется выполнять замеры расхода газовоздушной смеси и содержания в ней метана на замерном устройстве, установленном на дегазационной скважине.
Для определения фактического расхода метана, каптируемого несколькими пластовыми скважинами, рекомендуется выполнить замеры расхода газовоздушной смеси и содержания в ней метана на замерном устройстве, установленном на дегазационном трубопроводе, к которому подключены эти скважины.
Для определения фактического расхода метана, каптируемого пластовыми скважинами на выемочном участке, в подготовительной выработке рекомендуется выполнить замеры расхода газовоздушной смеси и содержания в ней метана на замерном устройстве, установленном на участковом дегазационном трубопроводе.
Динамика скважинной добычи метана на участке разрабатываемого пласта приведена на рисунке 59.
Рисунок 59 - Динамика извлечения метана скважинами,
пробуренными по разрабатываемому пласту
на выемочном участке:
gN - дебит метана из скважины при дегазации участка разрабатываемого пласта;
t - время; tб - время обуривания дегазируемого участка разрабатываемого пласта;
- время дегазации, отсчитываемое с момента окончания буровых работ на дегазируемом участке разрабатываемого пласта
Проектное значение дебита метана при дегазации пласта параллельно-одиночными скважинами Gпл, м3мин, определяется:
в процессе обуривания участка (блока) пласта:
после завершения буровых работ на участке:
G'б - дебит метана из скважин за время t'б, сут, обуривания участка, м3/мин;
- дебит метана из скважин после завершения буровых работ на участке разрабатываемого пласта, м3/мин;
Gб - дебит метана из N скважин на момент завершения буровых работ, м3/мин;
l'с - полезная длина скважины, м;
m - мощность угольных пачек пласта, м;
N', N - число скважин на участке в процессе обуривания и после завершения буровых работ соответственно;
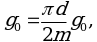
g0 - начальное удельное метановыделение в скважину,
;
a - коэффициент, характеризующий темп снижения во времени газовыделения из пласта в скважину, сут-1;
aN - коэффициент, характеризующий темп снижения во времени газовыделения из N скважин, сут-1;
t'б - продолжительность дегазации, отсчитываемая с начала бурения скважин N' на дегазируемом участке разрабатываемого пласта, сут;
- продолжительность дегазации, отсчитываемая с момента окончания буровых работ на дегазируемом участке разрабатываемого пласта, сут.
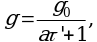
Снижение интенсивности метановыделения g,
, из неразгруженного пласта угля в дегазационную скважину во времени описывается:
g0 - начальное удельное метановыделение из пласта в скважину, м3/(м2·сут);
g - метановыделение в скважину на период времени
(сут) дегазации пласта, м3/(м2·сут);
a - коэффициент снижения метановыделения из пласта в скважину в зависимости от времени его дегазации, сут-1;
- продолжительность дегазации пласта скважиной, сут.
Время
отсчитывается с момента окончания бурения скважины.
Показатели газоотдачи неразгруженных пластов угля в дегазационные скважины g0 и a рекомендуется определять:
по фактическим данным метановыделения из пласта в дегазационные скважины на участке лавы-аналога;
на основе опыта ведения дегазационных работ на шахтах;
по газовоздушным съемкам, выполненным в проводимой в массиве угля тупиковой подготовительной выработке (с последующим перерасчетом показателей газоотдачи пласта в дегазационные скважины).
232. Фактические замеры дебита метана на скважинах, оборудованных диафрагмами, переводятся в удельное метановыделение (дебит метана, поделенный на полезную длину скважины и на мощность пласта), строится график зависимости
, (рисунок 60 а) и определяются начальное метановыделение из пласта в скважины (g0) и коэффициент его снижения (a) во времени
.
Рисунок 60 - Графики зависимости удельного метановыделения
из угольных пластов в скважины
Динамика метановыделения из пласта в группу скважин на выемочном участке, установленная по результатам фактических замеров дебита метана из пластовых скважин на участковой диафрагме, описывается зависимостью, изображенной на рисунке 60 б.
По зависимости метановыделения, полученной по результатам фактических замеров в течение времени
, определяются фактические значения gmax и aN:
а при фиксированной величине tб:
где gmax и aN - коэффициенты при дегазации пласта группой скважин, определенные по результатам фактических замеров.
233. Показатели газоотдачи разрабатываемого пласта в дегазационные скважины рассчитываются:
начальное удельное метановыделение:
коэффициент a, сут-1, снижения метановыделения во времени:
для пластов с Vdaf = 25 - 40%:
X - метаноносность пласта, м3/т с. б. м;
m - мощность угольных пачек пласта, м;
Vdaf - выход летучих веществ, %.
234. При проведении газовоздушной съемки в действующей тупиковой выработке на подготавливаемом к отработке участке разрабатываемого пласта показатели газоотдачи угольного массива в выработку перерассчитываются в показатели газоотдачи пласта в дегазационные скважины:
g0 - начальное метановыделение из пласта в подготовительную выработку, м3/(м2·сут);
d - диаметр дегазационных скважин, м;
m - мощность угольных пачек пласта, м;
k - коэффициент, характеризующий газодинамические и фильтрационные свойства угольного пласта (k-фактор), м2/м3;
k - фактор определяется тангенсом угла наклона прямой 
а начальное метановыделение g0 рассчитывается:
Значения показателей газоотдачи пласта g0 и a, рассчитанные по формулам (80), (85) и (86), рекомендуется корректировать по мере накопления данных о метановыделении в скважины или группу скважин.
Показатели газоотдачи угольных пластов в скважины рекомендуется определять до начала дегазационных работ по материалам газовоздушных съемок.
При применении предварительной дегазации угольного пласта скважинами, ориентированными на очистной забой, величина
(формула (79) увеличивается на коэффициент (kи) интенсификации выделения метана в дегазационные скважины, равный 1,2 - 1,5.
При применении предварительной дегазации угольного пласта перекрещивающимися скважинами величина
увеличивается на коэффициент kи интенсификации выделения метана в перекрещивающиеся скважины, который рассчитывается по формуле (27).
При интенсификации газоотдачи угольных пластов средствами гидроразрыва или гидрорасчленения (пневмогидрорасчленения) расход каптируемого метана из пластовых скважин определяется с учетом величины коэффициента интенсификации газоотдачи угольного массива в скважины
при гидроразрыве или Kи.г при гидрорасчленении пластов. Для определения коэффициентов интенсификации газоотдачи рекомендуется привлекать профильные институты.
Прогнозное значение дебита метана Gд.б, м3/мин, при использовании барьерных скважин находится:
Iп.в - метановыделение в подготовительную выработку без дегазации пласта, м3/мин;
kд.б - коэффициент дегазации пласта барьерными скважинами, доли единицы.
- Гражданский кодекс (ГК РФ)
- Жилищный кодекс (ЖК РФ)
- Налоговый кодекс (НК РФ)
- Трудовой кодекс (ТК РФ)
- Уголовный кодекс (УК РФ)
- Бюджетный кодекс (БК РФ)
- Арбитражный процессуальный кодекс
- Конституция РФ
- Земельный кодекс (ЗК РФ)
- Лесной кодекс (ЛК РФ)
- Семейный кодекс (СК РФ)
- Уголовно-исполнительный кодекс
- Уголовно-процессуальный кодекс
- Производственный календарь на 2025 год
- МРОТ 2026
- ФЗ «О банкротстве»
- О защите прав потребителей (ЗОЗПП)
- Об исполнительном производстве
- О персональных данных
- О налогах на имущество физических лиц
- О средствах массовой информации
- Производственный календарь на 2026 год
- Федеральный закон "О полиции" N 3-ФЗ
- Расходы организации ПБУ 10/99
- Минимальный размер оплаты труда (МРОТ)
- Календарь бухгалтера на 2026 год
- Частичная мобилизация: обзор новостей
- Постановление Правительства РФ N 1875














