IX. Рекомендации при определении параметров скважин для дегазации надрабатываемых пологих и наклонных пластов
IX. РЕКОМЕНДАЦИИ ПРИ ОПРЕДЕЛЕНИИ ПАРАМЕТРОВ СКВАЖИН
ДЛЯ ДЕГАЗАЦИИ НАДРАБАТЫВАЕМЫХ ПОЛОГИХ И НАКЛОННЫХ ПЛАСТОВ
149. Для условий шахт Воркутского месторождения рекомендуемые технические параметры скважин, буримых на надрабатываемые пласты по технологической схеме, приведенной на рисунке 38, сведены в таблице N 14.
150. В условиях, где нет опыта проведения дегазации надрабатываемых пластов, параметры скважин, пробуренных на эти пласты, определяются по формулам, приведенным в таблице N 16. В процессе ведения дегазационных работ параметры скважин рекомендуется корректировать.
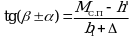
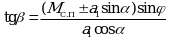
151. Величину
рекомендуется определять в соответствии с рекомендациями, приведенными на рисунке 39, с последующей ее корректировкой.
152. Рекомендуемый графический метод определения параметров скважин, буримых на надрабатываемые пласты, изложен на рисунке 40.
153. Местоположение (на плоскости разрабатываемого пласта) максимума газовыделения в скважины определяется по формулам (55) и (56), в которых принимается N1 = 4, D, A и
= 3,48; 3,34 и 0,49 соответственно.
Таблица N 16 - Параметры скважин при дегазации надрабатываемых пологих и наклонных пластов
|
Скважины бурятся в плоскости, параллельной забою лавы (a1 = 0; |
Скважины бурятся с разворотом от линии падения (восстания) или простирания |
||||
|
м |
м |
||||
- величина, принимаемая в зависимости от длины лавы и местоположения границы разгрузки дегазируемого пласта, м;
h' - расстояние от кровли разрабатываемого пласта до полевой выработки, м.
Остальные обозначения в таблице N 10.
Рисунок 39 - Схемы дегазации надрабатываемой толщи
горных пород:
а - при отсутствии сближенного угольного пласта; б - при наличии сближенного угольного пласта; M' - расстояние по нормали между разрабатываемым пластом и дегазируемой толщей газосодержащих пород; m' - мощность дегазируемой толщи пород;
- угол падения пласта;
- угол наклона скважины к горизонту; b1 - протяженность зоны (ширина целика угля), препятствующей разгрузке горных пород; lОЧ - длина лавы;
- угол разгрузки пород почвы
Рисунок 40 - Графическое определение параметров
дегазационных скважин, буримых на надрабатываемые пласты
154. Расстояние между скважинами рекомендуется принимать по таблице N 17.
Таблица N 17 - Расстояние между скважинами и величина проекции скважин на горизонтальную проекцию оси выработки
- Гражданский кодекс (ГК РФ)
- Жилищный кодекс (ЖК РФ)
- Налоговый кодекс (НК РФ)
- Трудовой кодекс (ТК РФ)
- Уголовный кодекс (УК РФ)
- Бюджетный кодекс (БК РФ)
- Арбитражный процессуальный кодекс
- Конституция РФ
- Земельный кодекс (ЗК РФ)
- Лесной кодекс (ЛК РФ)
- Семейный кодекс (СК РФ)
- Уголовно-исполнительный кодекс
- Уголовно-процессуальный кодекс
- Производственный календарь на 2025 год
- МРОТ 2026
- ФЗ «О банкротстве»
- О защите прав потребителей (ЗОЗПП)
- Об исполнительном производстве
- О персональных данных
- О налогах на имущество физических лиц
- О средствах массовой информации
- Производственный календарь на 2026 год
- Федеральный закон "О полиции" N 3-ФЗ
- Расходы организации ПБУ 10/99
- Минимальный размер оплаты труда (МРОТ)
- Календарь бухгалтера на 2026 год
- Частичная мобилизация: обзор новостей
- Постановление Правительства РФ N 1875
















