к Положению об оценке
эффективности и результативности
деятельности органов службы
занятости, утвержденному приказом
Министерства труда и социальной
защиты Российской Федерации
от 14 декабря 2023 г. N 871
1. Для анализа результативности оказания государственных услуг ЦЗН рассчитываются рейтинги, в том числе сводные рейтинги и интегральный рейтинг, и формируются рейтинговые перечни ЦЗН, действующих на территории субъекта Российской Федерации (в субъекте Российской Федерации, в котором создан один центр занятости населения, осуществляется формирование рейтинга территориальных центров занятости населения).
2. Рейтинг ЦЗН представляет собой числовое значение, характеризующее деятельность ЦЗН по одному из показателей результативности оказания государственных услуг.
Рейтинги рассчитываются по каждому из показателей, приведенных в приложении N 2 к настоящему Положению, кроме абсолютных показателей объема деятельности П1, П4, П6, П8, П9, П11, П13, П16, П18, П20, П21, П22, П26.
3. Сводный рейтинг представляет собой числовое значение, характеризующее деятельность ЦЗН одновременно по нескольким показателям результативности оказания государственных услуг. Сводные рейтинги рассчитываются по группам показателей, характеризующих отдельные государственные услуги.
4. Интегральный рейтинг представляет собой числовое значение, характеризующее деятельность ЦЗН по совокупности показателей результативности оказания государственных услуг.
5. Рейтинговые перечни ЦЗН формируются в порядке убывания рассчитанных значений рейтингов, в том числе сводных рейтингов и интегрального рейтинга.
6. Рейтинг по каждому из показателей Пi (
), кроме показателей Оi, для j-го ЦЗН (Rij) определяется по формуле:
Пij - значение показателя Пi для j-го ЦЗН,
Пi max - максимальное значение показателя Пi среди фактических значений данного показателя, рассчитанных для всех ЦЗН субъекта Российской Федерации,
Пi min - минимальное значение показателя Пi среди фактических значений данного показателя, рассчитанных для всех ЦЗН субъекта Российской Федерации.
7. Рейтинг по показателям Оi (
) для j-го ЦЗН (Rij) определяется по формуле:
Оij - значение показателя Оi для j-го ЦЗН,
Оi min - минимальное значение показателя Оi среди фактических значений данного показателя, рассчитанных для всех ЦЗН субъекта Российской Федерации,
Оi max - максимальное значение показателя Оi среди фактических значений данного показателя, рассчитанных для всех ЦЗН субъекта Российской Федерации.
8. Сводный рейтинг результативности оказания государственной услуги "Содействие гражданам в поиске подходящей работы" для j-го ЦЗН (S1j) определяется по формуле:
Rnj - значение рейтинга Rn для j-го субъекта Российской Федерации,
pn - весовой коэффициент для рейтинга Rn,
9. Сводный рейтинг результативности оказания государственной услуги "Содействие работодателям в подборе необходимых работников" для j-го субъекта Российской Федерации (S2j) определяется по формуле:
R5j - значение рейтинга R5 для j-го ЦЗН,
p5 - весовой коэффициент для рейтинга R5.
10. Сводный рейтинг результативности оказания государственной услуги "Организация профессионального обучения и дополнительного профессионального образования безработных граждан, включая обучение в другой местности" для j-го ЦЗН (S3j) определяется по формуле:
R7j - значение рейтинга R7 для j-го ЦЗН,
p7 - весовой коэффициент для рейтинга R7.
11. Сводный рейтинг результативности оказания государственной услуги "Организация профессиональной ориентации граждан" для j-го ЦЗН (S4j) определяется по формуле:
R10j - значение рейтинга R10 для j-го ЦЗН,
p10 - весовой коэффициент для рейтинга R10,
R10aj - значение рейтинга R10a для j-го ЦЗН.
12. p10a - весовой коэффициент для рейтинга R10a. Сводный рейтинг результативности оказания государственной услуги "Содействие началу осуществления предпринимательской деятельности" для j-го ЦЗН S5j определяется по формуле:
R12j - значение рейтинга R12 для j-го ЦЗН,
p12 - весовой коэффициент для рейтинга R12.
13. Сводный рейтинг результативности оказания государственной услуги "Организация сопровождения при содействии занятости инвалидов", а также осуществления полномочий по содействию занятости инвалидов, для j-го ЦЗН S6j определяется по формуле:
R14j - значение рейтинга R14 для j-го ЦЗН,
p14 - весовой коэффициент для рейтинга R14,
R15j - значение рейтинга R15 для j-го ЦЗН,
p15 - весовой коэффициент для рейтинга R15,
14. Сводный рейтинг результативности оказания государственной услуги "Психологическая поддержка безработных граждан" для j-го ЦЗН S7j определяется по формуле:
R17j - значение рейтинга R17 для j-го ЦЗН,
p17 - весовой коэффициент для рейтинга R17.
15. Сводный рейтинг результативности оказания государственной услуги "Социальная адаптация безработных граждан на рынке труда" для j-го ЦЗН S8j определяется по формуле:
R19j - значение рейтинга R19 для j-го ЦЗН,
p19 - весовой коэффициент для рейтинга R19.
16. Сводный рейтинг результативности оказания государственной услуги "Организация временного трудоустройства" для j-го ЦЗН S9j определяется по формуле:
Rnj - значение рейтинга Rn для j-го ЦЗН,
pn - весовой коэффициент для рейтинга Rn,
17. Сводный рейтинг результативности оказания государственной услуги "Содействие безработным гражданам и гражданам, зарегистрированным в органах службы занятости в целях поиска подходящей работы, в переезде и безработным гражданам и гражданам, зарегистрированным в органах службы занятости в целях поиска подходящей работы, и членам их семей в переселении в другую местность для трудоустройства по направлению органов службы занятости" для j-го ЦЗН S10j определяется по формуле:
R27j - значение рейтинга R27 для j-го ЦЗН,
p27 - весовой коэффициент для рейтинга R27.
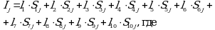
18. Интегральный рейтинг результативности оказания государственных услуг для j-го ЦЗН Ij определяется по формуле:
Sij - значение сводного рейтинга Si для j-го ЦЗН,
li - весовой коэффициент для сводного рейтинга Si,
19. Значения коэффициентов pn и li приведены в приложении N 5 к настоящему Положению.
- Гражданский кодекс (ГК РФ)
- Жилищный кодекс (ЖК РФ)
- Налоговый кодекс (НК РФ)
- Трудовой кодекс (ТК РФ)
- Уголовный кодекс (УК РФ)
- Бюджетный кодекс (БК РФ)
- Арбитражный процессуальный кодекс
- Конституция РФ
- Земельный кодекс (ЗК РФ)
- Лесной кодекс (ЛК РФ)
- Семейный кодекс (СК РФ)
- Уголовно-исполнительный кодекс
- Уголовно-процессуальный кодекс
- Производственный календарь на 2025 год
- МРОТ 2025
- ФЗ «О банкротстве»
- О защите прав потребителей (ЗОЗПП)
- Об исполнительном производстве
- О персональных данных
- О налогах на имущество физических лиц
- О средствах массовой информации
- Производственный календарь на 2026 год
- Федеральный закон "О полиции" N 3-ФЗ
- Расходы организации ПБУ 10/99
- Минимальный размер оплаты труда (МРОТ)
- Календарь бухгалтера на 2025 год
- Частичная мобилизация: обзор новостей
- Постановление Правительства РФ N 1875
, где
, где
, где
, где
, где
, где
, где
, где
, где
, где
, где
, где

