постановлением Правительства
Российской Федерации
от 29 января 2019 г. N 56
1. Настоящие Правила устанавливают цели, условия и порядок финансового обеспечения высокотехнологичной медицинской помощи, не включенной в базовую программу обязательного медицинского страхования (по перечню видов высокотехнологичной медицинской помощи, установленному в рамках программы государственных гарантий бесплатного оказания гражданам медицинской помощи на соответствующий финансовый год и плановый период), оказываемой гражданам Российской Федерации медицинскими организациями частной системы здравоохранения (далее соответственно - высокотехнологичная медицинская помощь, медицинские организации).
2. Финансовое обеспечение высокотехнологичной медицинской помощи осуществляется в пределах бюджетных ассигнований, предусмотренных в бюджете Федерального фонда обязательного медицинского страхования (далее - Фонд) на соответствующий финансовый год и плановый период на цели, установленные пунктом 4 настоящих Правил.
3. Финансовое обеспечение высокотехнологичной медицинской помощи осуществляется путем предоставления бюджетных ассигнований в форме субсидий медицинским организациям на основании соглашения о предоставлении субсидии, заключенного Фондом, Министерством здравоохранения Российской Федерации и медицинской организацией в соответствии с типовой формой, установленной Министерством здравоохранения Российской Федерации (далее соответственно - субсидии, соглашение).
4. Субсидии предоставляются медицинским организациям, включенным в утвержденный Министерством здравоохранения Российской Федерации перечень медицинских организаций частной системы здравоохранения, оказывающих высокотехнологичную медицинскую помощь, не включенную в базовую программу обязательного медицинского страхования, гражданам Российской Федерации, на основании установленных Министерством здравоохранения Российской Федерации критериев отбора медицинских организаций частной системы здравоохранения, в целях финансового обеспечения затрат, возникающих в связи с оказанием высокотехнологичной медицинской помощи.
Сведения о субсидии размещаются на едином портале бюджетной системы Российской Федерации в информационно-телекоммуникационной сети "Интернет" не позднее 15-го рабочего дня, следующего за днем принятия федерального закона о бюджете Федерального фонда обязательного медицинского страхования на соответствующий финансовый год и плановый период.
(абзац введен Постановлением Правительства РФ от 17.01.2024 N 14)
5. Условиями предоставления субсидии являются:
а) включение медицинской организации в утвержденный Министерством здравоохранения Российской Федерации перечень медицинских организаций частной системы здравоохранения, оказывающих высокотехнологичную медицинскую помощь, не включенную в базовую программу обязательного медицинского страхования, гражданам Российской Федерации;
б) представление Министерством здравоохранения Российской Федерации в Фонд информации о показателях плановых объемов выполнения высокотехнологичной медицинской помощи и об объемах их финансового обеспечения в отношении медицинской организации;
в) соблюдение медицинской организацией порядка и формы представления отчетности об использовании субсидии и о достижении показателя результативности использования субсидии;
г) согласие медицинской организации на проведение Фондом и уполномоченным органом государственного финансового контроля обязательных проверок соблюдения медицинской организацией целей, условий и порядка предоставления субсидии;
д) соблюдение медицинской организацией условий, установленных соглашением.
е) наличие лицевого счета медицинской организации, зарезервированного, открытого в территориальном органе Федерального казначейства для учета операций со средствами юридических лиц, не являющихся участниками бюджетного процесса.
(пп. "е" введен Постановлением Правительства РФ от 17.01.2024 N 14)
6. Утратил силу. - Постановление Правительства РФ от 17.01.2024 N 14.
(см. текст в предыдущей редакции)
7. Медицинская организация, претендующая на получение субсидии, не позднее 1 мая года, предшествующего году, на который предоставляется субсидия, представляет в Министерство здравоохранения Российской Федерации:
а) заявку о предоставлении субсидии в произвольной форме, подписанную руководителем и скрепленную печатью (при наличии) медицинской организации;
б) выписку из реестра лицензий на осуществление медицинской деятельности по оказанию высокотехнологичной медицинской помощи;
в) справку об отсутствии у медицинской организации неисполненной обязанности по уплате налогов, сборов, страховых взносов, пеней, штрафов, процентов, подлежащих уплате в соответствии с законодательством Российской Федерации о налогах и сборах, подписанную руководителем и главным бухгалтером (при наличии) медицинской организации и скрепленную печатью (при наличии), или соответствующую справку налогового органа (представляется медицинской организацией по собственной инициативе) по состоянию на дату не ранее 1 апреля текущего финансового года;
г) справку о том, что медицинская организация не находится в стадии реорганизации (за исключением реорганизации в форме присоединения к юридическому лицу, являющемуся участником отбора медицинских организаций частной системы здравоохранения, другого юридического лица), ликвидации или банкротства, ее деятельность не приостановлена в порядке, предусмотренном законодательством Российской Федерации, подписанную руководителем и главным бухгалтером (при наличии) медицинской организации и скрепленную печатью (при наличии), по состоянию на дату не ранее 1 апреля текущего финансового года;
д) справку о том, что в реестре дисквалифицированных лиц отсутствуют сведения о дисквалифицированных руководителе, членах коллегиального исполнительного органа, лице, исполняющем функции единоличного исполнительного органа, или главном бухгалтере медицинской организации по состоянию на дату не ранее 1 апреля текущего финансового года;
е) справку о том, что медицинская организация не находится в перечне организаций и физических лиц, в отношении которых имеются сведения об их причастности к экстремистской деятельности или терроризму, либо в составляемых в рамках реализации полномочий, предусмотренных главой VII Устава ООН, Советом Безопасности ООН или органами, специально созданными решениями Совета Безопасности ООН, перечнях организаций и физических лиц, в отношении которых имеются сведения об их причастности к распространению оружия массового уничтожения, по состоянию на дату не ранее 1 апреля текущего финансового года;
ж) копию листа записи единого государственного реестра юридических лиц, копию свидетельства о постановке на учет медицинской организации - юридического лица, образованного в соответствии с законодательством Российской Федерации, международной компании в налоговом органе по месту ее регистрации по состоянию на дату не ранее 1 апреля текущего финансового года;
з) справку о том, что медицинская организация не является юридическим лицом, в уставном (складочном) капитале которого доля участия иностранных юридических лиц, местом регистрации которых является государство или территория, включенные в утвержденный Министерством финансов Российской Федерации перечень государств и территорий, предоставляющих льготный налоговый режим налогообложения и (или) не предусматривающих раскрытия и предоставления информации при проведении финансовых операций (офшорные зоны), в совокупности превышает 25 процентов, подписанную руководителем и главным бухгалтером (при наличии) медицинской организации и скрепленную печатью (при наличии), по состоянию на дату не ранее 1 апреля текущего финансового года;
и) справку о том, что у медицинской организации отсутствуют просроченная задолженность по возврату в бюджет Фонда субсидий, предоставленных в том числе в соответствии с иными правовыми актами, и иная просроченная задолженность перед бюджетом Фонда, подписанную руководителем и главным бухгалтером (при наличии) медицинской организации и скрепленную печатью (при наличии), по состоянию на дату не ранее 1 апреля текущего финансового года;
к) справку о том, что медицинская организация не получает средства из бюджета Фонда в соответствии с иными нормативными правовыми актами на цели, указанные в пункте 4 настоящих Правил, подписанную руководителем и главным бухгалтером (при наличии) медицинской организации и скрепленную печатью (при наличии), по состоянию на дату не ранее 1 апреля текущего финансового года;
л) сведения об объемах высокотехнологичной медицинской помощи, оказанной медицинской организацией за последние 3 года, по профилям с разбивкой по видам и методам лечения, которые предусмотрены перечнем видов высокотехнологичной медицинской помощи, установленным в рамках программы государственных гарантий бесплатного оказания гражданам медицинской помощи на соответствующий финансовый год и плановый период;
м) сведения о возможных для выполнения объемах высокотехнологичной медицинской помощи по профилям с разбивкой по видам и методам лечения, которые предусмотрены перечнем видов высокотехнологичной медицинской помощи, установленным в рамках программы государственных гарантий бесплатного оказания гражданам медицинской помощи на соответствующий финансовый год и плановый период, определенных с учетом технологических возможностей медицинской организации, подписанные руководителем и скрепленные печатью (при наличии) медицинской организации.
Датой представления указанных документов считается дата их поступления в Министерство здравоохранения Российской Федерации.
(п. 7 в ред. Постановления Правительства РФ от 17.01.2024 N 14)
(см. текст в предыдущей редакции)
7(1). В случае изменения представленных в соответствии с пунктом 7 настоящих Правил документов и сведений до заключения соглашения медицинская организация обязана уведомить в течение 14 рабочих дней Министерство здравоохранения Российской Федерации.
(п. 7(1) введен Постановлением Правительства РФ от 17.01.2024 N 14)
7(2). Министерство здравоохранения Российской Федерации одновременно с определением размера субсидии, предусмотренным пунктами 11 и 12 настоящих Правил, рассматривает представленные документы и сведения, указанные в пункте 7 настоящих Правил, на соответствие условиям предоставления субсидии, установленным подпунктами "а", "б" и "г" пункта 5 настоящих Правил, принимает решение о предоставлении субсидии или об отказе в предоставлении субсидии и в течение 15 рабочих дней со дня принятия указанного решения направляет медицинской организации уведомление о принятом решении (с указанием причин в случае отказа).
(п. 7(2) введен Постановлением Правительства РФ от 17.01.2024 N 14)
8. Ответственность за достоверность представляемых в Министерство здравоохранения Российской Федерации документов и сведений, указанных в пункте 7 настоящих Правил, а также соблюдение требований, предусмотренных пунктом 7(1) настоящих Правил, несет медицинская организация в соответствии с законодательством Российской Федерации.
(п. 8 в ред. Постановления Правительства РФ от 17.01.2024 N 14)
(см. текст в предыдущей редакции)
9. Министерство здравоохранения Российской Федерации в течение 15 рабочих дней со дня окончания установленного пунктом 7 настоящих Правил срока представления документов и сведений рассматривает их на соответствие условиям предоставления субсидии, установленным подпунктами "а", "б" и "г" пункта 5 настоящих Правил, принимает решение о возможности предоставления субсидии или об отказе в предоставлении субсидии и направляет медицинской организации уведомление о принятом решении (с указанием причин в случае отказа).
(п. 9 в ред. Постановления Правительства РФ от 17.01.2024 N 14)
(см. текст в предыдущей редакции)
10. Основанием для отказа медицинской организации в предоставлении субсидии является:
а) непредставление документов и сведений, указанных в пункте 7 настоящих Правил (за исключением открытых и общедоступных сведений, содержащихся в том числе в едином государственном реестре юридических лиц);
б) представление медицинской организацией не в полном объеме документов и сведений, указанных в пункте 7 настоящих Правил (за исключением открытых и общедоступных сведений, содержащихся в едином государственном реестре юридических лиц);
в) несоответствие представленных медицинской организацией документов и сведений требованиям, предусмотренным пунктом 7 настоящих Правил;
г) недостоверность информации, содержащейся в документах и сведениях, представленных медицинской организацией в соответствии с пунктом 7 настоящих Правил.
(п. 10 в ред. Постановления Правительства РФ от 17.01.2024 N 14)
(см. текст в предыдущей редакции)
11. Министерство здравоохранения Российской Федерации определяет размер субсидии в отношении медицинской организации в течение 30 рабочих дней после утверждения программы государственных гарантий бесплатного оказания гражданам медицинской помощи на соответствующий финансовый год и плановый период.
(см. текст в предыдущей редакции)
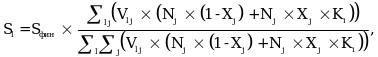
12. Размер субсидии (тыс. рублей), предоставляемой l-й медицинской организации (Sl), определяется Министерством здравоохранения Российской Федерации по формуле:
(в ред. Постановления Правительства РФ от 17.01.2024 N 14)
(см. текст в предыдущей редакции)
Sфин - общий объем бюджетных ассигнований, предусмотренный в бюджете Фонда на соответствующий финансовый год на цели, установленные пунктом 4 настоящих Правил (тыс. рублей);
Vlj - плановые объемы высокотехнологичной медицинской помощи по группам j-го профиля, установленные для l-й медицинской организации (человек);
(в ред. Постановления Правительства РФ от 17.01.2024 N 14)
(см. текст в предыдущей редакции)
Nj - средний норматив финансовых затрат на единицу объема высокотехнологичной медицинской помощи j-го профиля, установленный в программе государственных гарантий бесплатного оказания гражданам медицинской помощи на год, на который рассчитывается субсидия (рублей);
Xj - доля заработной платы в структуре среднего норматива финансовых затрат на единицу объема высокотехнологичной медицинской помощи j-го профиля, установленная до 1 января 2026 г. Министерством здравоохранения Российской Федерации, с 1 января 2026 г. Правительством Российской Федерации на год, на который рассчитывается субсидия;
(см. текст в предыдущей редакции)
Ki - коэффициент уровня среднемесячной заработной платы в i-м субъекте Российской Федерации, на территории которого l-я медицинская организация оказывает высокотехнологичную медицинскую помощь (предельное значение коэффициента - 1,5).
13. Коэффициент уровня среднемесячной заработной платы в i-м субъекте Российской Федерации, на территории которого l-я медицинская организация оказывает высокотехнологичную медицинскую помощь (Ki), определяется по формуле:
ЗПi - среднемесячная номинальная начисленная заработная плата в расчете на одного работника в i-м субъекте Российской Федерации, на территории которого медицинская организация оказывает высокотехнологичную медицинскую помощь, за год, предшествующий отчетному году (рублей);
ЗП - среднемесячная номинальная начисленная заработная плата в расчете на одного работника в Российской Федерации за год, предшествующий отчетному году (рублей).
В случае если Ki < 1, значение показателя принимается равным 1.
14. Утратил силу. - Постановление Правительства РФ от 17.01.2024 N 14.
(см. текст в предыдущей редакции)
15. Министерство здравоохранения Российской Федерации определяет плановые объемы высокотехнологичной медицинской помощи, устанавливаемые соглашением для l-й медицинской организации, с учетом сведений о возможных для выполнения объемах высокотехнологичной медицинской помощи, представленных l-й медицинской организацией в соответствии с подпунктом "м" пункта 7 настоящих Правил.
(п. 15 в ред. Постановления Правительства РФ от 17.01.2024 N 14)
(см. текст в предыдущей редакции)
16. Министерство здравоохранения Российской Федерации в течение 15 рабочих дней со дня определения размера субсидии представляет в медицинскую организацию и Фонд информацию о размере субсидии, определенном в соответствии с пунктом 12 настоящих Правил, о показателях плановых объемов высокотехнологичной медицинской помощи, а также информацию о показателях плановых объемов при внесении в них изменений и об объемах их финансового обеспечения в отношении каждой медицинской организации.
17. Изменение размера субсидии медицинской организации в течение срока выполнения соглашения осуществляется только при соответствующем изменении плановых объемов высокотехнологичной медицинской помощи с пересчетом размера субсидии в соответствии с пунктом 12 настоящих Правил и внесением соответствующих изменений в соглашение.
18. Утратил силу. - Постановление Правительства РФ от 17.01.2024 N 14.
(см. текст в предыдущей редакции)
19. Перечисление субсидии медицинской организации осуществляется Фондом в соответствии с графиком, являющимся приложением к соглашению, на лицевой счет медицинской организации для учета операций со средствами юридических лиц, не являющихся участниками бюджетного процесса, открытый в территориальном органе Федерального казначейства, не позднее 2-го рабочего дня со дня представления в территориальный орган Федерального казначейства медицинской организацией платежных документов для оплаты денежного обязательства медицинской организации в сумме, не превышающей:
а) 25 процентов годового размера субсидии - в течение I квартала;
б) 50 процентов годового размера субсидии - в течение первого полугодия;
в) 75 процентов годового размера субсидии - в течение 9 месяцев;
г) 100 процентов годового размера субсидии - не позднее 20 декабря текущего финансового года.
20. Оценка эффективности использования субсидии медицинской организацией осуществляется Министерством здравоохранения Российской Федерации по итогам года на основании достижения значения показателя результативности использования субсидии, установленного соглашением.
Показателем результативности использования субсидии является выполнение медицинской организацией планового объема оказанной с учетом субсидии высокотехнологичной медицинской помощи (человек).
21. Медицинская организация представляет в Фонд отчетность об использовании субсидии и о достижении значения показателя результативности использования субсидии в порядке и по форме, которые устанавливаются Фондом.
22. Медицинская организация осуществляет раздельный аналитический учет средств субсидии.
22(1). Медицинская организация в случае возникновения в текущем году остатка субсидии при условии достижения показателя результативности использования субсидии, а также отсутствия у медицинской организации не погашенной в течение 3 месяцев кредиторской задолженности за счет средств субсидии на оказание высокотехнологичной медицинской помощи использует остаток субсидии на расходы на заработную плату, начисления на оплату труда, прочие выплаты, приобретение лекарственных средств, расходных материалов, продуктов питания, мягкого инвентаря, медицинского инструментария, реактивов и химикатов, прочих материальных запасов, расходы на оплату стоимости лабораторных и инструментальных исследований, проводимых в других учреждениях (при отсутствии в медицинской организации лаборатории и диагностического оборудования), расходы на организацию питания (при отсутствии организованного питания в медицинской организации), расходы на оплату услуг связи, транспортных услуг, коммунальных услуг, работ и услуг по содержанию имущества, расходы на арендную плату за пользование имуществом, оплату программного обеспечения и прочих услуг, социальное обеспечение работников медицинских организаций, установленное законодательством Российской Федерации, прочие расходы, расходы на приобретение основных средств.
(п. 22(1) введен Постановлением Правительства РФ от 20.06.2022 N 1106)
23. В случае установления Фондом, Министерством здравоохранения Российской Федерации или уполномоченным органом государственного финансового контроля в ходе проверок факта нарушения условий предоставления субсидии, а также недостижения значения показателя результативности использования субсидии медицинская организация обязана возвратить в доход бюджета Фонда соответствующие средства:
(в ред. Постановления Правительства РФ от 17.01.2024 N 14)
(см. текст в предыдущей редакции)
на основании требования Фонда, Министерства здравоохранения Российской Федерации - не позднее 30-го рабочего дня со дня получения медицинской организацией указанного требования;
на основании представления и (или) предписания уполномоченного органа государственного финансового контроля - в порядке, установленном в соответствии с бюджетным законодательством Российской Федерации.
24. Размер средств, подлежащих возврату в доход бюджета Фонда в связи с недостижением значения показателя результативности использования субсидии (Ol), определяется по формуле:
- размер субсидии, перечисленной медицинской организации в истекшем году (тыс. рублей);
- объем высокотехнологичной медицинской помощи по группам j-го профиля, фактически оказанный l-й медицинской организацией в рамках соглашения в истекшем финансовом году (человек);
- средний норматив финансовых затрат на единицу объема высокотехнологичной медицинской помощи j-го профиля, установленный в программе государственных гарантий бесплатного оказания гражданам медицинской помощи в истекшем финансовом году (рублей);
- доля заработной платы в структуре среднего норматива финансовых затрат на единицу объема высокотехнологичной медицинской помощи j-го профиля, которая применялась при расчете субсидии в истекшем финансовом году;
- коэффициент уровня среднемесячной заработной платы в i-м субъекте Российской Федерации, на территории которого медицинская организация оказывает высокотехнологичную медицинскую помощь, который применялся при расчете субсидии в истекшем финансовом году.
25. Медицинской организации запрещено за счет субсидии приобретать иностранную валюту, за исключением операций, осуществляемых в соответствии с валютным законодательством Российской Федерации при закупке (поставке) высокотехнологичного импортного оборудования, сырья и комплектующих изделий, работ, услуг, приобретаемых в соответствии с целями предоставления субсидии у юридических и физических лиц - нерезидентов.
26. Контроль за соблюдением медицинской организацией порядка и условий предоставления субсидии, в том числе в части достижения результатов ее предоставления, осуществляют Фонд, Министерство здравоохранения Российской Федерации и уполномоченный орган государственного финансового контроля.
(п. 26 в ред. Постановления Правительства РФ от 17.01.2024 N 14)
(см. текст в предыдущей редакции)
- Гражданский кодекс (ГК РФ)
- Жилищный кодекс (ЖК РФ)
- Налоговый кодекс (НК РФ)
- Трудовой кодекс (ТК РФ)
- Уголовный кодекс (УК РФ)
- Бюджетный кодекс (БК РФ)
- Арбитражный процессуальный кодекс
- Конституция РФ
- Земельный кодекс (ЗК РФ)
- Лесной кодекс (ЛК РФ)
- Семейный кодекс (СК РФ)
- Уголовно-исполнительный кодекс
- Уголовно-процессуальный кодекс
- Производственный календарь на 2025 год
- МРОТ 2026
- ФЗ «О банкротстве»
- О защите прав потребителей (ЗОЗПП)
- Об исполнительном производстве
- О персональных данных
- О налогах на имущество физических лиц
- О средствах массовой информации
- Производственный календарь на 2026 год
- Федеральный закон "О полиции" N 3-ФЗ
- Расходы организации ПБУ 10/99
- Минимальный размер оплаты труда (МРОТ)
- Календарь бухгалтера на 2026 год
- Частичная мобилизация: обзор новостей
- Постановление Правительства РФ N 1875


