к государственной программе
Российской Федерации "Восстановление
и социально-экономическое развитие
Донецкой Народной Республики,
Луганской Народной Республики,
Запорожской области
и Херсонской области"
ПРАВИЛА
ПРЕДОСТАВЛЕНИЯ И РАСПРЕДЕЛЕНИЯ СУБСИДИЙ ИЗ ФЕДЕРАЛЬНОГО
БЮДЖЕТА БЮДЖЕТАМ ДОНЕЦКОЙ НАРОДНОЙ РЕСПУБЛИКИ, ЛУГАНСКОЙ
НАРОДНОЙ РЕСПУБЛИКИ, ЗАПОРОЖСКОЙ ОБЛАСТИ И ХЕРСОНСКОЙ
ОБЛАСТИ НА РАЗРАБОТКУ ПРОЕКТНОЙ ДОКУМЕНТАЦИИ, СТРОИТЕЛЬСТВО,
РЕКОНСТРУКЦИЮ (МОДЕРНИЗАЦИЮ) И КАПИТАЛЬНЫЙ РЕМОНТ
ОБЪЕКТОВ ПИТЬЕВОГО ВОДОСНАБЖЕНИЯ
ПРАВИЛА
ПРЕДОСТАВЛЕНИЯ И РАСПРЕДЕЛЕНИЯ СУБСИДИЙ ИЗ ФЕДЕРАЛЬНОГО
БЮДЖЕТА БЮДЖЕТАМ ДОНЕЦКОЙ НАРОДНОЙ РЕСПУБЛИКИ, ЛУГАНСКОЙ
НАРОДНОЙ РЕСПУБЛИКИ, ЗАПОРОЖСКОЙ ОБЛАСТИ И ХЕРСОНСКОЙ
ОБЛАСТИ НА РАЗРАБОТКУ ПРОЕКТНОЙ ДОКУМЕНТАЦИИ, СТРОИТЕЛЬСТВО,
РЕКОНСТРУКЦИЮ (МОДЕРНИЗАЦИЮ) И КАПИТАЛЬНЫЙ РЕМОНТ
ОБЪЕКТОВ ПИТЬЕВОГО ВОДОСНАБЖЕНИЯ
1. Настоящие Правила устанавливают цели, условия и порядок предоставления и распределения субсидий из федерального бюджета бюджетам Донецкой Народной Республики, Луганской Народной Республики, Запорожской области и Херсонской области в целях софинансирования расходных обязательств субъектов Российской Федерации на разработку проектной документации, строительство, реконструкцию (модернизацию) и капитальный ремонт объектов питьевого водоснабжения, запланированных к реализации в рамках федерального проекта "Восстановление (создание) инфраструктуры и содействие экономическому развитию Донецкой Народной Республики, Луганской Народной Республики, Запорожской области и Херсонской области" в составе государственной программы Российской Федерации "Восстановление и социально-экономическое развитие Донецкой Народной Республики, Луганской Народной Республики, Запорожской области и Херсонской области" (далее соответственно - субъекты Российской Федерации, объекты капитального строительства, субсидии).
2. Субсидии предоставляются в пределах лимитов бюджетных обязательств, доведенных до Министерства строительства и жилищно-коммунального хозяйства Российской Федерации как получателя средств федерального бюджета на предоставление субсидий на цели, указанные в пункте 4 настоящих Правил.
3. Субсидии предоставляются при соблюдении следующих условий:
а) наличие в бюджете субъекта Российской Федерации бюджетных ассигнований на исполнение расходного обязательства субъекта Российской Федерации, в целях софинансирования которого предоставляются субсидии, в объеме, необходимом для его исполнения;
б) наличие правовых актов субъекта Российской Федерации, утверждающих перечень мероприятий (результатов), при реализации которых возникают расходные обязательства субъекта Российской Федерации, в целях софинансирования которых предоставляются субсидии, в соответствии с требованиями нормативных правовых актов Российской Федерации;
в) заключение соглашения между Министерством строительства и жилищно-коммунального хозяйства Российской Федерации и высшим исполнительным органом субъекта Российской Федерации о предоставлении субсидий в соответствии с пунктом 10 Правил формирования, предоставления и распределения субсидий из федерального бюджета бюджетам субъектов Российской Федерации, утвержденных постановлением Правительства Российской Федерации от 30 сентября 2014 г. N 999 "О формировании, предоставлении и распределении субсидий из федерального бюджета бюджетам субъектов Российской Федерации" (далее соответственно - соглашение, Правила предоставления субсидий).
4. Субсидии предоставляются на следующие цели:
а) строительство, реконструкция (модернизация) и капитальный ремонт объектов капитального строительства и (или) предоставление субсидий из бюджетов субъектов Российской Федерации местным бюджетам на софинансирование строительства, реконструкции (модернизации) и капитальный ремонт объектов капитального строительства;
б) возмещение затрат (части затрат) на уплату процентов по кредитам, полученным заемщиками в российских кредитных организациях на строительство, реконструкцию (модернизацию) и капитальный ремонт объектов капитального строительства, из расчета предусмотренной кредитным договором процентной ставки, но не более ключевой ставки Центрального банка Российской Федерации, действующей на дату заключения кредитного договора, увеличенной на 3 процентных пункта;
в) финансовое обеспечение затрат (части затрат) на выплату платы концедента по концессионным соглашениям, заключенным на строительство и (или) реконструкцию объектов капитального строительства, и (или) предоставление субсидий из бюджетов субъектов Российской Федерации местным бюджетам в целях софинансирования расходных обязательств муниципальных образований по финансовому обеспечению затрат (части затрат) на выплату платы концедента по концессионным соглашениям, заключенным на строительство и (или) реконструкцию объектов капитального строительства;
г) проведение инженерных изысканий и подготовка (корректировка) проектной документации на строительство, реконструкцию (модернизацию) объектов капитального строительства и (или) предоставление субсидий из бюджетов субъектов Российской Федерации местным бюджетам на софинансирование проведения инженерных изысканий и подготовки (корректировки) проектной документации на строительство, реконструкцию (модернизацию) объектов капитального строительства, при условии определения Министерством строительства и жилищно-коммунального хозяйства Российской Федерации необходимости и приоритетности реализации указанных проектов.
5. Высший исполнительный орган субъекта Российской Федерации представляет в Министерство строительства и жилищно-коммунального хозяйства Российской Федерации заявку об участии в распределении субсидий по форме и в срок, которые устанавливаются Министерством.
6. Высший исполнительный орган субъекта Российской Федерации в соответствии с законодательством Российской Федерации несет ответственность за соблюдение настоящих Правил и достоверность сведений, представляемых и (или) содержащихся в заявке, указанной в пункте 5 настоящих Правил, и документах, представляемых в Министерство строительства и жилищно-коммунального хозяйства Российской Федерации в соответствии с пунктами 7 - 9 настоящих Правил.
7. При планировании направления субсидий на цель, указанную в подпункте "а" пункта 4 настоящих Правил, субъекты Российской Федерации дополнительно представляют одновременно с заявкой, указанной в пункте 5 настоящих Правил, следующие сведения и документы в отношении каждого объекта капитального строительства:
а) наименование объекта капитального строительства;
б) мощность объекта капитального строительства, подлежащего вводу в эксплуатацию;
г) размер субсидий, планируемый к получению в целях софинансирования расходных обязательств по осуществлению строительства, реконструкции (модернизации) и капитального ремонта объектов капитального строительства;
д) копия положительного заключения государственной экспертизы проектной документации и результатов инженерных изысканий, выполненных для подготовки этой проектной документации (в случае, если проведение такой экспертизы в соответствии с законодательством Российской Федерации является обязательным) (за исключением объектов капитального ремонта);
е) документы об утверждении проектной документации в соответствии с законодательством Российской Федерации (в случае, если в соответствии с законодательством Российской Федерации подготовка проектной документации является обязательной) (за исключением объектов капитального ремонта);
ж) копия положительного заключения о достоверности определения сметной стоимости объекта капитального строительства;
з) титульные списки вновь начинаемых и переходящих объектов капитального строительства, утвержденные заказчиком;
и) документ, содержащий результаты оценки эффективности использования бюджетных средств, направляемых на капитальные вложения;
к) паспорт инвестиционного проекта по форме, установленной Министерством экономического развития Российской Федерации;
л) копии правоустанавливающих документов на земельный участок;
м) копия положительного сводного заключения о проведении публичного технологического аудита крупного инвестиционного проекта с государственным участием, полученного в соответствии с Положением о проведении публичного технологического и ценового аудита крупных инвестиционных проектов с государственным участием, утвержденным постановлением Правительства Российской Федерации от 30 апреля 2013 г. N 382 "О проведении публичного технологического и ценового аудита крупных инвестиционных проектов с государственным участием и о внесении изменений в некоторые акты Правительства Российской Федерации" (если проведение публичного технологического и ценового аудита в соответствии с законодательством Российской Федерации является обязательным).
8. При планировании направления субсидий на цель, указанную в подпункте "в" пункта 4 настоящих Правил, субъекты Российской Федерации одновременно с заявкой, указанной в пункте 5 настоящих Правил, дополнительно представляют копию заключенного концессионного соглашения, предусматривающего в том числе выплату платы концедента по концессионному соглашению.
9. При планировании направления субсидий на цель, указанную в подпункте "г" пункта 4 настоящих Правил, субъекты Российской Федерации одновременно с заявкой, указанной в пункте 5 настоящих Правил, сведениями и документами, указанными в подпунктах "а" - "г" и "з" - "л" пункта 7 настоящих Правил, представляют следующие сведения и документы в отношении каждого объекта капитального строительства:
а) копия свидетельства о государственной регистрации застройщика в соответствии с законодательством Российской Федерации;
б) копия утвержденного задания на проектирование;
в) копия положительного заключения о проведении 1-го этапа публичного технологического и ценового аудита инвестиционного проекта с государственным участием, полученного в соответствии с Положением о проведении публичного технологического и ценового аудита крупных инвестиционных проектов с государственным участием, утвержденным постановлением Правительства Российской Федерации от 30 апреля 2013 г. N 382 "О проведении публичного технологического и ценового аудита крупных инвестиционных проектов с государственным участием и о внесении изменений в некоторые акты Правительства Российской Федерации" (если проведение публичного технологического и ценового аудита в соответствии с законодательством Российской Федерации является обязательным);
г) обоснование необходимости включения объекта капитального строительства в перечень, указанный в пункте 10 настоящих Правил (в обосновании указываются причины отсутствия проектной документации с положительным заключением государственной экспертизы, в том числе о достоверности определения сметной стоимости строительства, реконструкции (модернизации) объекта капитального строительства, и сроки разработки соответствующей проектной документации).
10. Перечень объектов капитального строительства государственной собственности субъектов Российской Федерации и объектов капитального строительства муниципальной собственности, на софинансирование мероприятий по строительству, реконструкции (модернизации) которых предоставляются субсидии на цели, указанные в подпунктах "а" и "г" пункта 4 настоящих Правил, утверждается Министерством строительства и жилищно-коммунального хозяйства Российской Федерации.
11. Критерием отбора субъектов Российской Федерации для предоставления субсидий является наличие мероприятий по разработке проектной документации, строительству, реконструкции (модернизации) и капитальному ремонту объектов питьевого водоснабжения в программе социально-экономического развития Донецкой Народной Республики, Луганской Народной Республики, Запорожской области и Херсонской области, утвержденной распоряжением Правительства Российской Федерации от 21 апреля 2023 г. N 1019-р.
12. В первоочередном порядке в перечень, указанный в пункте 10 настоящих Правил, включаются объекты капитального строительства, на софинансирование которых ранее направлялись средства федерального бюджета, при условии выполнения субъектом Российской Федерации обязательств по их софинансированию за счет средств бюджета субъекта Российской Федерации и местных бюджетов.
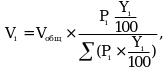
13. Размер субсидий из федерального бюджета i-му субъекту Российской Федерации (Vi) рассчитывается по формуле:
Vобщ - объем предусмотренных бюджетных ассигнований федерального бюджета на очередной финансовый год для предоставления субсидий на реализацию мероприятий по разработке проектной документации, строительству, реконструкции (модернизации) и капитальному ремонту объектов питьевого водоснабжения государственной программы Российской Федерации "Восстановление и социально-экономическое развитие Донецкой Народной Республики, Луганской Народной Республики, Запорожской области и Херсонской области";
Pi - объем бюджетных ассигнований i-го субъекта Российской Федерации, предусмотренных в соответствии с программой социально-экономического развития Донецкой Народной Республики, Луганской Народной Республики, Запорожской области и Херсонской области, утвержденной распоряжением Правительства Российской Федерации от 21 апреля 2023 г. N 1019-р, на соответствующий финансовый год;
Yi - предельный уровень софинансирования расходного обязательства субъектов Российской Федерации из федерального бюджета, определяемый в соответствии с постановлением Правительства Российской Федерации от 28 марта 2023 г. N 489 "Об особенностях определения предельного уровня софинансирования расходного обязательства субъекта Российской Федерации из федерального бюджета и о внесении изменений в Правила формирования, предоставления и распределения субсидий из федерального бюджета бюджетам субъектов Российской Федерации".
14. В случае если размер бюджетных ассигнований, предусмотренных в бюджете субъекта Российской Федерации на финансовое обеспечение мероприятий, на софинансирование которых предоставляются субсидии, не обеспечивает уровень софинансирования из федерального бюджета, размер субсидий подлежит сокращению до размера, обеспечивающего соответствующий уровень софинансирования.
15. Предоставление субсидий осуществляется на основании соглашения, подготавливаемого (формируемого) и заключаемого с использованием государственной интегрированной информационной системы управления общественными финансами "Электронный бюджет".
16. Оценка эффективности использования субсидий осуществляется Министерством строительства и жилищно-коммунального хозяйства Российской Федерации путем сравнения фактически достигнутых и плановых значений результата использования субсидий, количество объектов питьевого водоснабжения на территориях отдельных субъектов Российской Федерации, в отношении которых разработана проектная документация, выполнено строительство, реконструкция (модернизация) и капитальный ремонт.
17. В случае предоставления субсидий на цель, предусмотренную подпунктом "в" пункта 4 настоящих Правил, оценка эффективности использования субсидий осуществляется по значению результата, предусмотренного пунктом 16 настоящих Правил, а также по значениям следующих результатов использования субсидий:
а) процент технической готовности объектов капитального строительства;
б) количество разработанной проектной документации.
18. Высший исполнительный орган субъекта Российской Федерации ежеквартально, не позднее 20-го числа месяца, следующего за отчетным кварталом, представляет в Министерство строительства и жилищно-коммунального хозяйства Российской Федерации в порядке, установленном соглашением, отчетность об осуществлении расходов бюджета субъекта Российской Федерации, в целях софинансирования которых предоставляются субсидии, а также о достижении значений результатов использования субсидий.
19. Порядок и условия возврата средств из бюджета субъекта Российской Федерации в федеральный бюджет в случае нарушения субъектом Российской Федерации обязательств, установленных соглашением, по достижению значений результатов использования субсидий из федерального бюджета, а также основания для освобождения субъекта Российской Федерации от применения мер финансовой ответственности установлены пунктами 16 - 18 и 20 Правил предоставления субсидий.
20. Перечисление субсидий осуществляется в установленном порядке на единые счета бюджетов, открытые финансовым органам субъектов Российской Федерации в территориальных органах Федерального казначейства.
21. В случае нарушения субъектом Российской Федерации целей, установленных при предоставлении субсидий, применяются бюджетные меры принуждения, предусмотренные бюджетным законодательством Российской Федерации.
22. Контроль за соблюдением субъектами Российской Федерации условий предоставления субсидий осуществляется Министерством строительства и жилищно-коммунального хозяйства Российской Федерации и уполномоченными органами государственного финансового контроля.
- Гражданский кодекс (ГК РФ)
- Жилищный кодекс (ЖК РФ)
- Налоговый кодекс (НК РФ)
- Трудовой кодекс (ТК РФ)
- Уголовный кодекс (УК РФ)
- Бюджетный кодекс (БК РФ)
- Арбитражный процессуальный кодекс
- Конституция РФ
- Земельный кодекс (ЗК РФ)
- Лесной кодекс (ЛК РФ)
- Семейный кодекс (СК РФ)
- Уголовно-исполнительный кодекс
- Уголовно-процессуальный кодекс
- Производственный календарь на 2025 год
- МРОТ 2025
- ФЗ «О банкротстве»
- О защите прав потребителей (ЗОЗПП)
- Об исполнительном производстве
- О персональных данных
- О налогах на имущество физических лиц
- О средствах массовой информации
- Производственный календарь на 2026 год
- Федеральный закон "О полиции" N 3-ФЗ
- Расходы организации ПБУ 10/99
- Минимальный размер оплаты труда (МРОТ)
- Календарь бухгалтера на 2025 год
- Частичная мобилизация: обзор новостей
- Постановление Правительства РФ N 1875
