постановлением Правительства
Российской Федерации
от 24 ноября 2023 г. N 1984
1. Пункт 1 после слов "бюджетам субъектов Российской Федерации" дополнить словами "в целях софинансирования расходных обязательств субъектов Российской Федерации, возникающих при реализации мероприятий, направленных".
2. В подпункте "г" пункта 4 слова "постановлением Правительства Российской Федерации от 24 ноября 2018 г. N 1413 "Об утверждении Правил предоставления и распределения иных межбюджетных трансфертов из федерального бюджета бюджетам субъектов Российской Федерации в целях софинансирования расходных обязательств субъектов Российской Федерации по возмещению части прямых понесенных затрат на создание и (или) модернизацию объектов агропромышленного комплекса"," заменить словами "постановлением Правительства Российской Федерации от 24 ноября 2018 г. N 1413 "Об утверждении Правил предоставления и распределения иных межбюджетных трансфертов из федерального бюджета бюджетам субъектов Российской Федерации в целях софинансирования расходных обязательств субъектов Российской Федерации по возмещению части прямых понесенных затрат на создание и (или) модернизацию объектов агропромышленного комплекса, а также на приобретение и ввод в промышленную эксплуатацию маркировочного оборудования для внедрения обязательной маркировки отдельных видов молочной продукции", а также в соответствии с иными нормативными правовыми актами Российской Федерации,".
3. Абзац третий подпункта "б" пункта 7 после слов "ГОСТ Р 30106-94," дополнить словами "ГОСТ 32917-2014,".
4. Пункт 8 изложить в следующей редакции:
"8. По направлениям, указанным в подпунктах "а" - "в" пункта 4 настоящих Правил, ставки определяются высшим исполнительным органом субъекта Российской Федерации или уполномоченным органом.
Субъекты Российской Федерации, в которых в 2023 году в соответствии с Указом Президента Российской Федерации от 19 октября 2022 г. N 757 "О мерах, осуществляемых в субъектах Российской Федерации в связи с Указом Президента Российской Федерации от 19 октября 2022 г. N 756" введен средний уровень реагирования, вправе устанавливать повышающий коэффициент, применяемый к ставкам, указанным в абзаце первом настоящего пункта, в отношении получателей средств, пострадавших в результате действий вооруженных формирований Украины, в пределах размера субсидии, предусмотренной субъекту Российской Федерации на текущий финансовый год, не выше 1,5.
По направлению, указанному в абзаце втором подпункта "б" пункта 4 настоящих Правил, в случае возмещения части затрат на приобретение семян картофеля и (или) овощных культур, включая гибриды овощных культур, произведенных в рамках Федеральной научно-технической программы развития сельского хозяйства на 2017 - 2030 годы, утвержденной постановлением Правительства Российской Федерации от 25 августа 2017 г. N 996 "Об утверждении Федеральной научно-технической программы развития сельского хозяйства на 2017 - 2030 годы", установленный субъектом Российской Федерации размер ставки не может превышать 70 процентов затрат (исходя из стоимости, не превышающей установленную высшим исполнительным органом субъекта Российской Федерации или уполномоченным органом предельную стоимость реализации таких семян).".
5. В пункте 11(1) слова "(в 2023 году - не позднее 15 июня)" исключить.
6. Пункты 12 - 19 изложить в следующей редакции:
"12. Размер субсидии, предоставляемой бюджету i-го субъекта Российской Федерации (Wi), определяется по формуле:
Wi = a1i + a2i + a3i + a4i + a5i + a6i + a7i + Wki,
a1i - размер субсидии, предоставляемой бюджету i-го субъекта Российской Федерации по направлению, указанному в абзаце четвертом подпункта "б" пункта 4 настоящих Правил, в части поддержки производства овощей открытого грунта;
a2i - размер субсидии, предоставляемой бюджету i-го субъекта Российской Федерации по направлению, указанному в абзаце третьем подпункта "б" пункта 4 настоящих Правил;
a3i - размер субсидии, предоставляемой бюджету i-го субъекта Российской Федерации по направлению, указанному в абзаце четвертом подпункта "б" пункта 4 настоящих Правил, в части поддержки производства картофеля;
a4i - размер субсидии, предоставляемой бюджету i-го субъекта Российской Федерации по направлению, указанному в абзаце втором подпункта "б" пункта 4 настоящих Правил;
a5i - размер субсидии, предоставляемой бюджету i-го субъекта Российской Федерации по направлению, указанному в подпункте "а" пункта 4 настоящих Правил;
a6i - размер субсидии, предоставляемой бюджету i-го субъекта Российской Федерации по направлению, указанному в подпункте "в" пункта 4 настоящих Правил, в части производства картофеля;
a7i - размер субсидии, предоставляемой бюджету i-го субъекта Российской Федерации по направлению, указанному в подпункте "в" пункта 4 настоящих Правил, в части производства овощей открытого грунта;
Wki - объем бюджетных ассигнований, предусмотренных на предоставление субсидии на соответствующий финансовый год на создание и (или) модернизацию хранилищ в i-м субъекте Российской Федерации.
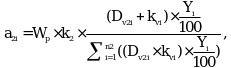
13. Размер субсидии, предоставляемой бюджету i-го субъекта Российской Федерации по направлению, указанному в абзаце четвертом подпункта "б" пункта 4 настоящих Правил, в части поддержки производства овощей открытого грунта (a1i), определяется по формуле:
Wp - объем бюджетных ассигнований, предусмотренных в федеральном бюджете на предоставление субсидии на соответствующий финансовый год, за исключением субсидии на создание и (или) модернизацию хранилищ;
k1 - коэффициент, устанавливаемый Министерством сельского хозяйства Российской Федерации для определения размера субсидии, предоставляемой в целях софинансирования расходных обязательств субъекта Российской Федерации по финансовому обеспечению (возмещению) части затрат на поддержку производства овощей открытого грунта;
Dv1i - объем производства овощей открытого грунта в сельскохозяйственных организациях, крестьянских (фермерских) хозяйствах и у индивидуальных предпринимателей в i-м субъекте Российской Федерации за отчетный финансовый год на основании данных Федеральной службы государственной статистики;
Dvпр1i - прирост объема производства овощей открытого грунта в сельскохозяйственных организациях, крестьянских (фермерских) хозяйствах и у индивидуальных предпринимателей за отчетный финансовый год к среднему объему производства овощей открытого грунта в сельскохозяйственных организациях, крестьянских (фермерских) хозяйствах и у индивидуальных предпринимателей за 3 года, предшествующие отчетному финансовому году, в i-м субъекте Российской Федерации, определяемый по формуле:
где SPRv1i - средний за 3 года, предшествующие отчетному финансовому году, объем производства овощей открытого грунта в сельскохозяйственных организациях, крестьянских (фермерских) хозяйствах и у индивидуальных предпринимателей в i-м субъекте Российской Федерации, определяемый на основании данных Федеральной службы государственной статистики.
В случае если Dvпр1i имеет отрицательное значение, применяется значение, равное нулю;
kvi - коэффициент увеличения показателя i-го субъекта Российской Федерации. Для субъектов Российской Федерации, входящих в состав Дальневосточного федерального округа, значение коэффициента равно 2, для Калининградской области - 1,2, для других субъектов Российской Федерации - 1;
Yi - предельный уровень софинансирования расходного обязательства i-го субъекта Российской Федерации из федерального бюджета на очередной финансовый год (процентов), определяемый в соответствии с пунктом 13 Правил формирования субсидий;
n1 - количество субъектов Российской Федерации, являющихся участниками федерального проекта "Развитие отраслей овощеводства и картофелеводства" на очередной финансовый год по направлению, указанному в абзаце четвертом подпункта "б" пункта 4 настоящих Правил, в части поддержки производства овощей открытого грунта.
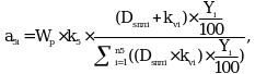
14. Размер субсидии, предоставляемой бюджету i-го субъекта Российской Федерации по направлению, указанному в абзаце третьем подпункта "б" пункта 4 настоящих Правил (a2i), определяется по формуле:
k2 - коэффициент, устанавливаемый Министерством сельского хозяйства Российской Федерации для определения размера субсидии, предоставляемой в целях софинансирования расходных обязательств субъекта Российской Федерации по финансовому обеспечению (возмещению) части затрат на производство овощей защищенного грунта, произведенных с применением технологии досвечивания;
Dv2i - плановый объем производства на очередной финансовый год овощей защищенного грунта, произведенных с применением технологии досвечивания, в i-м субъекте Российской Федерации на основании данных, представленных субъектом Российской Федерации в Министерство сельского хозяйства Российской Федерации по форме и в срок, которые устанавливаются Министерством;
n2 - количество субъектов Российской Федерации, являющихся участниками федерального проекта "Развитие отраслей овощеводства и картофелеводства" на очередной финансовый год по направлению, указанному в абзаце третьем подпункта "б" пункта 4 настоящих Правил.
15. Размер субсидии, предоставляемой бюджету i-го субъекта Российской Федерации по направлению, указанному в абзаце четвертом подпункта "б" пункта 4 настоящих Правил, в части поддержки производства картофеля (a3i), определяется по формуле:
k3 - коэффициент, устанавливаемый Министерством сельского хозяйства Российской Федерации для определения размера субсидии, предоставляемой в целях софинансирования расходных обязательств субъекта Российской Федерации по финансовому обеспечению (возмещению) части затрат на поддержку производства картофеля;
Dv3i - объем производства картофеля в сельскохозяйственных организациях, крестьянских (фермерских) хозяйствах и у индивидуальных предпринимателей в i-м субъекте Российской Федерации за отчетный финансовый год на основании данных Федеральной службы государственной статистики;
Dvпр3i - прирост объема производства картофеля в сельскохозяйственных организациях, крестьянских (фермерских) хозяйствах и у индивидуальных предпринимателей за отчетный финансовый год к среднему объему производства картофеля в сельскохозяйственных организациях, крестьянских (фермерских) хозяйствах и у индивидуальных предпринимателей за 3 года, предшествующие отчетному финансовому году, в i-м субъекте Российской Федерации, определяемый по формуле:
где SPRv3i - средний за 3 года, предшествующие отчетному финансовому году, объем производства картофеля в сельскохозяйственных организациях, крестьянских (фермерских) хозяйствах и у индивидуальных предпринимателей в i-м субъекте Российской Федерации, определяемый на основании данных Федеральной службы государственной статистики.
В случае если Dvпр3i имеет отрицательное значение, применяется значение, равное нулю;
n3 - количество субъектов Российской Федерации, являющихся участниками федерального проекта "Развитие отраслей овощеводства и картофелеводства" на очередной финансовый год по направлению, указанному в абзаце четвертом подпункта "б" пункта 4 настоящих Правил, в части поддержки производства картофеля.
16. Размер субсидии, предоставляемой бюджету i-го субъекта Российской Федерации по направлению, указанному в абзаце втором подпункта "б" пункта 4 настоящих Правил (a4i), определяется по формуле:
k4 - коэффициент, устанавливаемый Министерством сельского хозяйства Российской Федерации для определения размера субсидии, предоставляемой в целях софинансирования расходных обязательств субъекта Российской Федерации по финансовому обеспечению (возмещению) части затрат на поддержку элитного семеноводства картофеля и овощных культур, включая гибриды овощных культур;
S4элитi - площадь, засеваемая элитными семенами картофеля и овощных культур, включая гибриды овощных культур, в i-м субъекте Российской Федерации за отчетный финансовый год на основании данных, представленных субъектом Российской Федерации в Министерство сельского хозяйства Российской Федерации по форме и в срок, которые устанавливаются Министерством;
n4 - количество субъектов Российской Федерации, являющихся участниками федерального проекта "Развитие отраслей овощеводства и картофелеводства" на очередной финансовый год по направлению, указанному в абзаце втором подпункта "б" пункта 4 настоящих Правил.
17. Размер субсидии, предоставляемой бюджету i-го субъекта Российской Федерации по направлению, указанному в подпункте "а" пункта 4 настоящих Правил (a5i), определяется по формуле:
k5 - коэффициент, устанавливаемый Министерством сельского хозяйства Российской Федерации для определения размера субсидии, предоставляемой в целях софинансирования расходных обязательств субъекта Российской Федерации по финансовому обеспечению (возмещению) части затрат на проведение агротехнологических работ, повышение уровня экологической безопасности сельскохозяйственного производства, а также на повышение плодородия и качества почв, занятых картофелем и овощными культурами открытого грунта;
Dsплi - размер посевной площади, занятой картофелем и овощными культурами открытого грунта в сельскохозяйственных организациях, крестьянских (фермерских) хозяйствах и у индивидуальных предпринимателей в i-м субъекте Российской Федерации в среднем за 3 года, предшествующие году, в котором осуществляется расчет размера субсидий на очередной финансовый год, определяемый на основании данных Федеральной службы государственной статистики;
n5 - количество субъектов Российской Федерации, являющихся участниками федерального проекта "Развитие отраслей овощеводства и картофелеводства" на очередной финансовый год по направлению, указанному в подпункте "а" пункта 4 настоящих Правил.
18. Размер субсидии, предоставляемой бюджету i-го субъекта Российской Федерации по направлению, указанному в подпункте "в" пункта 4 настоящих Правил, в части производства картофеля (a6i), определяется по формуле:
k6 - коэффициент, устанавливаемый Министерством сельского хозяйства Российской Федерации для определения размера субсидии, предоставляемой в целях софинансирования расходных обязательств субъекта Российской Федерации по финансовому обеспечению (возмещению) части затрат на поддержку производства картофеля, произведенного гражданами, ведущими личное подсобное хозяйство и применяющими специальный налоговый режим "Налог на профессиональный доход";
DV6фпрi - доля среднего объема производства картофеля в хозяйствах населения в i-м субъекте Российской Федерации за 3 года, предшествующие году, в котором осуществляется расчет размера субсидий на очередной финансовый год, в среднем объеме производства картофеля в хозяйствах всех категорий в i-м субъекте Российской Федерации за 3 года, предшествующие году, в котором осуществляется расчет размера субсидий на очередной финансовый год, определяемая по формуле:
Vфкартвалi - средний объем производства картофеля в хозяйствах населения в i-м субъекте Российской Федерации за 3 года, предшествующие году, в котором осуществляется расчет размера субсидий на очередной финансовый год, определяемый на основании данных Федеральной службы государственной статистики;
Hфкартвалi - средний объем производства картофеля в хозяйствах всех категорий в i-м субъекте Российской Федерации за 3 года, предшествующие году, в котором осуществляется расчет размера субсидий на очередной финансовый год, определяемый на основании данных Федеральной службы государственной статистики;
DV6плпрi - плановый объем реализации на очередной финансовый год картофеля, произведенного гражданами, ведущими личное подсобное хозяйство и применяющими специальный налоговый режим "Налог на профессиональный доход", в i-м субъекте Российской Федерации на основании данных, представленных субъектом Российской Федерации в Министерство сельского хозяйства Российской Федерации по форме и в срок, которые устанавливаются Министерством;
n6 - количество субъектов Российской Федерации, являющихся участниками федерального проекта "Развитие отраслей овощеводства и картофелеводства" на очередной финансовый год по направлению, указанному в подпункте "в" пункта 4 настоящих Правил, в части производства картофеля.
19. Размер субсидии, предоставляемой бюджету i-го субъекта Российской Федерации по направлению, указанному в подпункте "в" пункта 4 настоящих Правил, в части производства овощей открытого грунта (a7i), определяется по формуле:
k7 - коэффициент, устанавливаемый Министерством сельского хозяйства Российской Федерации для определения размера субсидии, предоставляемой в целях софинансирования расходных обязательств субъекта Российской Федерации по финансовому обеспечению (возмещению) части затрат на поддержку производства овощей открытого грунта, произведенных гражданами, ведущими личное подсобное хозяйство и применяющими специальный налоговый режим "Налог на профессиональный доход";
DV7фпрi - доля среднего объема производства овощей открытого грунта в хозяйствах населения в i-м субъекте Российской Федерации за 3 года, предшествующие году, в котором осуществляется расчет размера субсидий на очередной финансовый год, в среднем объеме производства овощей открытого грунта в хозяйствах всех категорий за 3 года, предшествующие году, в котором осуществляется расчет размера субсидий на очередной финансовый год, определяемая по формуле:
Vфоввалi - средний объем производства овощей открытого грунта в хозяйствах населения в i-м субъекте Российской Федерации за 3 года, предшествующие году, в котором осуществляется расчет размера субсидий на очередной финансовый год, определяемый на основании данных Федеральной службы государственной статистики;
Hфоввалi - средний объем производства овощей открытого грунта в хозяйствах всех категорий в i-м субъекте Российской Федерации за 3 года, предшествующие году, в котором осуществляется расчет размера субсидий на очередной финансовый год, определяемый на основании данных Федеральной службы государственной статистики;
DV7плпрi - плановый объем реализации на очередной финансовый год овощей открытого грунта, произведенных гражданами, ведущими личное подсобное хозяйство и применяющими специальный налоговый режим "Налог на профессиональный доход", в i-м субъекте Российской Федерации на основании данных, представленных субъектом Российской Федерации в Министерство сельского хозяйства Российской Федерации по форме и в срок, которые устанавливаются Министерством;
n7 - количество субъектов Российской Федерации, являющихся участниками федерального проекта "Развитие отраслей овощеводства и картофелеводства" на очередной финансовый год по направлению, указанному в подпункте "в" пункта 4 настоящих Правил, в части производства овощей открытого грунта.".
7. Дополнить пунктом 21(1) следующего содержания:
"21(1). В соглашении о предоставлении субсидии объем финансового обеспечения расходных обязательств субъекта Российской Федерации, в целях софинансирования которых предоставляется субсидия по направлениям, указанным в подпунктах "а" - "в" пункта 4 настоящих Правил, не может быть меньше расчетного размера предоставляемой бюджету соответствующего субъекта Российской Федерации субсидии, рассчитанного по соответствующему направлению в соответствии с пунктами 13 - 19 настоящих Правил.
Субъект Российской Федерации вправе не более 2 раз в год по согласованию с Министерством сельского хозяйства Российской Федерации без увеличения общего размера субсидии, предоставляемой бюджету субъекта Российской Федерации на соответствующий финансовый год, перераспределить средства, источником софинансирования которых является субсидия, между направлениями, указанными в подпунктах "а" - "в" пункта 4 настоящих Правил и определенными в соглашении о предоставлении субсидии, без уменьшения значений результатов использования субсидии, установленных в пункте 24 настоящих Правил.".
8. Подпункт "и" пункта 24 изложить в следующей редакции:
"и) обеспечено увеличение мощностей по хранению картофеля и овощей (тыс. тонн).".
9. Дополнить пунктом 28(1) следующего содержания:
"28(1). В случае нарушения субъектом Российской Федерации целей, установленных при предоставлении субсидии, применяются бюджетные меры принуждения, предусмотренные бюджетным законодательством Российской Федерации.".
10. Пункт 29 изложить в следующей редакции:
"29. Порядок и условия возврата средств из бюджета субъекта Российской Федерации в федеральный бюджет в случае нарушения субъектом Российской Федерации обязательств, предусмотренных соглашением о предоставлении субсидии, а также основания для освобождения субъекта Российской Федерации от применения мер финансовой ответственности установлены пунктами 16 - 18 и 20 Правил формирования субсидий.".
- Гражданский кодекс (ГК РФ)
- Жилищный кодекс (ЖК РФ)
- Налоговый кодекс (НК РФ)
- Трудовой кодекс (ТК РФ)
- Уголовный кодекс (УК РФ)
- Бюджетный кодекс (БК РФ)
- Арбитражный процессуальный кодекс
- Конституция РФ
- Земельный кодекс (ЗК РФ)
- Лесной кодекс (ЛК РФ)
- Семейный кодекс (СК РФ)
- Уголовно-исполнительный кодекс
- Уголовно-процессуальный кодекс
- Производственный календарь на 2025 год
- МРОТ 2025
- ФЗ «О банкротстве»
- О защите прав потребителей (ЗОЗПП)
- Об исполнительном производстве
- О персональных данных
- О налогах на имущество физических лиц
- О средствах массовой информации
- Производственный календарь на 2026 год
- Федеральный закон "О полиции" N 3-ФЗ
- Расходы организации ПБУ 10/99
- Минимальный размер оплаты труда (МРОТ)
- Календарь бухгалтера на 2025 год
- Частичная мобилизация: обзор новостей
- Постановление Правительства РФ N 1875








