Глава 5. Составление раздела 2 отчета
5.1. В разделе 2 отчета отражаются активы (требования) и пассивы (обязательства) респондента по отношению к предприятию (предприятиям) прямого инвестирования независимо от их валютного выражения по состоянию на начало и конец отчетного периода, их движение за период, доходы, начисленные к получению (выплате) по ним, полученные (выплаченные) доходы, удержанные налоги и нераспределенная прибыль (непокрытый убыток), соответствующая доле участия респондента в капитале предприятия прямого инвестирования.
Активы (требования) респондента по отношению к предприятию прямого инвестирования отражаются при соблюдении следующего условия - владение или приобретение респондентом инструментов участия в капитале и (или) долговых инструментов предприятия прямого инвестирования по состоянию на начало и (или) конец отчетного периода.
Пассивы (обязательства) респондента по отношению к предприятию прямого инвестирования отражаются при соблюдении следующего условия - владение или приобретение предприятием прямого инвестирования долговых инструментов респондента и (или) участие предприятия прямого инвестирования в капитале респондента, обеспечивающее ему менее 10 процентов от общего количества голосов, приходящихся на голосующие акции (доли), составляющие уставный капитал, по состоянию на начало и (или) конец отчетного периода. В случае если участие предприятия прямого инвестирования в капитале респондента обеспечивает 10 или более процентов от общего количества голосов, заполняется раздел 1 отчета.
5.2. Раздел 2 формируется отдельно по каждому предприятию прямого инвестирования и состоит из трех подразделов:
подраздел 2.1 "Сведения о предприятии прямого инвестирования";
подраздел 2.2 "Активы (требования) респондента по отношению к предприятию прямого инвестирования (в тысячах рублей)";
подраздел 2.3 "Пассивы (обязательства) респондента по отношению к предприятию прямого инвестирования (в тысячах рублей)".
5.3. Данные подраздела 2.1 содержат общие сведения о каждом предприятии прямого инвестирования.
В графе 1 для иностранных юридических лиц указывается наименование в соответствии с легализованными документами, подтверждающими государственную регистрацию юридического лица по законодательству страны, в которой это юридическое лицо создано.
В графе 2 указывается идентификационный номер налогоплательщика - иностранной организации в стране ее регистрации (Tax Identification Number (TIN); Value-added Tax Identification Number (VATIN); регистрационный номер). При отсутствии TIN, VATIN или регистрационного номера указывается "00000".
В графе 3 указывается цифровой код страны, резидентом которой является предприятие прямого инвестирования, в соответствии с Общероссийским классификатором стран мира (ОКСМ). Для иностранных юридических лиц, зарегистрированных в соответствии со статьей 5 Федерального закона "О международных компаниях и международных фондах", проставляется код "996".
В графе 4 указывается один из кодов следующего перечня кодов основных видов экономической деятельности нерезидентов, который используется исключительно для целей составления отчета:
В целях составления отчета основным видом экономической деятельности является тот вид экономической деятельности, который по итогам предыдущего года имеет наибольший удельный вес в общем объеме выпущенной продукции и оказанных услуг. Он определяется на базе статистических данных о результатах всех осуществляемых видов экономической деятельности предприятия прямого инвестирования.
В случае если определение основного вида экономической деятельности предприятия прямого инвестирования невозможно, в графе 4 проставляется "XXX".
В графах 5 и 6 указывается выраженная в процентах доля в уставном капитале предприятия прямого инвестирования, принадлежащая респонденту, на начало и конец отчетного периода соответственно. Доля указывается с четырьмя знаками после запятой.
для акционерных обществ - доля принадлежащих предприятию прямого инвестирования обыкновенных акций респондента, выраженная в процентах, на начало и конец отчетного периода соответственно;
для обществ с ограниченной ответственностью - доля в уставном капитале респондента, принадлежащая предприятию прямого инвестирования, выраженная в процентах, на начало и конец отчетного периода соответственно.
Значения показателей граф 7 и 8 могут быть равны нулю или должны быть менее 10 процентов. Доля указывается с четырьмя знаками после запятой.
5.4. Данные подраздела 2.2 отражают инвестиции, осуществленные респондентом в предприятие прямого инвестирования в форме вложений, обеспечивающих участие в капитале, и в форме долговых инструментов, по состоянию на начало и конец отчетного периода и их движение в течение этого периода.
5.4.1. По каждой строке подраздела 2.2 должно выполняться равенство:
графа 10 + графа 11 - графа 12 + графа 13 - графа 14 + графа 16 + графа 17 + графа 18 = графа 19.
5.4.2. В графах 10 и 19 указываются накопленные активы (требования) респондента по отношению к предприятию прямого инвестирования по состоянию на начало и конец отчетного периода соответственно. Значения показателей граф 10 и 19 могут быть отрицательными.
В графе 19а по группе строк 2.2.1 указывается цифровой код валюты инструментов участия в капитале предприятия прямого инвестирования, соответствующий той валюте, в которой осуществляется денежное измерение объектов бухгалтерского учета в стране предприятия прямого инвестирования (указывается валюта, в которой прямой инвестор ведет свою бухгалтерскую и (или) финансовую отчетность).
В графе 19а по группе строк 2.2.2 указывается цифровой код валюты долговых инструментов.
По каждой строке долговых инструментов указывается код валюты, преобладающей в составе суммы показателя по данной строке.
5.4.3. В графах 11 и 12 отражаются изменения в активах (требованиях) респондента по отношению к предприятию прямого инвестирования, которые произошли в результате операций с нерезидентами в течение отчетного периода.
5.4.3.1. В графе 11 отражается увеличение капитала и требований по отношению к предприятию прямого инвестирования в результате следующих операций респондента:
приобретение на первичном и вторичном рынках ценных бумаг, долей (паев), обеспечивающих участие в капитале предприятия прямого инвестирования;
приобретение акций предприятия прямого инвестирования, выпущенных в результате дополнительной эмиссии;
взносы в капитал предприятия прямого инвестирования (включая переводы безвозмездной финансовой помощи);
предоставление краткосрочных и долгосрочных ссуд (займов) предприятию прямого инвестирования, в том числе предоставление денежных средств в рамках договоров репо;
открытие депозитов в иностранных банках;
приобретение краткосрочных и долгосрочных долговых ценных бумаг, выпущенных предприятием прямого инвестирования;
предоставление торгового кредита предприятию прямого инвестирования;
по договорам финансовой аренды (лизинга).
5.4.3.2. В графе 12 отражается уменьшение капитала и требований по отношению к предприятию прямого инвестирования в результате следующих операций предприятия прямого инвестирования или респондента:
продажа респондентом ценных бумаг, долей (паев), обеспечивающих участие в капитале предприятия прямого инвестирования;
уменьшение уставного капитала, выплат при ликвидации;
погашение краткосрочных и долгосрочных ссуд (займов) (непросроченных и просроченных), в том числе в рамках операций репо;
закрытие депозитов в иностранных банках;
погашение краткосрочных и долгосрочных долговых ценных бумаг, в том числе погашение просроченной задолженности по основному долгу;
лизинговые платежи по основному долгу;
продажа ценных бумаг, долей (паев) нерезидентам на вторичном рынке.
5.4.4. В графе 13 отражаются:
сумма дивидендов по акциям (сумма распределенной прибыли), причитающаяся респонденту (по строке 2.2.2.6 "Прочие требования"). Дивиденды по акциям отражаются в момент их объявления, а распределение прибыли участнику общества - на дату принятия соответствующего решения общим собранием общества;
проценты на средства, предоставленные по операциям репо;
проценты по долговым ценным бумагам, в том числе начисленный дисконт и процентный (купонный) доход;
проценты, начисленные по просроченной задолженности, в том числе проценты на просроченные проценты;
проценты по прочим финансовым активам и обязательствам (в том числе по финансовому лизингу).
Начисленные к платежу проценты отражаются вне зависимости от их фактической выплаты.
При изменении доходности финансового инструмента, вызванном его досрочным погашением, корректировки в графу 13 отчетов предыдущих периодов не вносятся. До дня досрочного погашения финансового инструмента начисление процентов в указанной графе осуществляется по первоначальной ставке. Значения показателей графы 13 должны быть положительными.
5.4.5. В графе 14 отражаются полученная респондентом прибыль от предприятия прямого инвестирования (по строке 2.2.2.6 "Прочие требования") и доходы, полученные от предприятия прямого инвестирования по долговым инструментам.
Распределенная прибыль состоит из дивидендов и доходов от долевого участия и отражается в отчете до вычета налогов. Распределенная прибыль может быть выплачена из текущей прибыли и прибыли прошлых периодов.
В дивиденды не включаются ликвидационные дивиденды, то есть средства, выплачиваемые при прекращении деятельности предприятия, а также выплаты по бонусным или бесплатным акциям.
Проценты, выплаченные по долговым инструментам, включают суммы дохода до вычета налогов. Значения показателей графы 14 должны быть положительными.
5.4.6. В графе 15 отражаются сведения о суммах, удержанных с респондента (уплаченных респондентом налогов) в отчетном периоде. Значения показателей графы 15 должны быть положительными.
5.4.7. В графе 16 отражается часть нераспределенной прибыли (непокрытого убытка) отчетного периода, соответствующая доле участия респондента в капитале предприятия прямого инвестирования.
Для целей отчета к нераспределенной прибыли (непокрытому убытку) предприятия прямого инвестирования относят разницу между доходами и расходами предприятия прямого инвестирования, которые были начислены в отчетном периоде. Нераспределенная прибыль (непокрытый убыток) рассчитывается следующим образом: чистая операционная прибыль (операционная прибыль минус операционные расходы) плюс дивиденды к получению, проценты к получению, рента к получению, доля предприятия в реинвестированных доходах любых предприятий прямого инвестирования, текущие трансферты к получению и минус дивиденды к оплате, проценты к оплате, рента к оплате, налоги и прочие текущие трансферты к оплате.
В показатель нераспределенной прибыли (непокрытого убытка) не включаются реализованные и нереализованные прибыли или убытки, которые могут возникать вследствие изменений курсов иностранных валют, переоценки основных фондов и изменений в рыночных ценах финансовых активов и обязательств. В этот показатель также не включаются прибыли или убытки вследствие прочих изменений в объемах активов, таких как:
списание непроизведенных активов, списание безнадежных долгов и некомпенсированные конфискации активов;
списание нематериальных активов, в том числе списание оценки деловой репутации вследствие обесценения;
резервы и убытки по долгосрочным контрактам;
прочие изменения, не являющиеся результатом операционной деятельности предприятия прямого инвестирования.
Поскольку показатели прибыли в бухгалтерских балансах предприятий прямого инвестирования часто включают перечисленные прибыли или убытки и прочие изменения в объеме финансовых активов и обязательств, необходимо внести поправки в используемые данные бухгалтерского учета при составлении отчета.
Нераспределенная прибыль (непокрытый убыток) предприятия прямого инвестирования определяется после вычета налогов и умножается на долю участия респондента в уставном капитале предприятия прямого инвестирования.
В случае отсутствия данных о нераспределенной прибыли (непокрытом убытке) предприятия прямого инвестирования за отчетный период они включаются в расчет графы 16 за тот период, в который эти данные были получены респондентом от предприятия прямого инвестирования.
5.4.8. В графе 17 отражаются следующие изменения активов (требований):
5.4.8.1. Изменения в результате операций купли-продажи ценных бумаг, долей (паев) предприятия прямого инвестирования, совершенных респондентом с другими резидентами на вторичном рынке. При продаже респондентом ценных бумаг предприятия прямого инвестирования другому резиденту снижение активов (требований) респондента по отношению к предприятию прямого инвестирования должно отражаться со знаком "минус".
5.4.8.2. Переклассификация остатков инвестиций между респондентом и нерезидентом в связи с изменениями ОРПИ. В случае если респондент имеет на начало периода в капитале прямого инвестора долю менее 10 процентов и в течение периода покупает такую долю, что в результате на конец периода доля участия респондента в прямом инвесторе становится не менее 10 процентов, в отчете данные по нерезиденту составляются следующим образом:
для прямого инвестора снижение активов (требований) респондента по отношению к прямому инвестору на сумму остатка на начало периода отражается со знаком "минус" в графе 27 подраздела 1.3;
для предприятия прямого инвестирования рост активов (требований) респондента по отношению к предприятию прямого инвестирования на сумму этого же остатка отражается в графе 17 подраздела 2.2.
5.4.8.3. Прочие изменения активов (требований), не являющиеся следствием операций респондента с нерезидентами и переоценки.
5.4.9. В графе 18 отражаются следующие изменения активов (требований):
курсовые разницы от переоценки в рубли активов (требований), выраженных в иностранной валюте, включая инвестиции в капитал;
реализованные и нереализованные изменения курсовой стоимости ценных бумаг, не являющиеся процентным доходом.
В графу 18 вносятся значения, рассчитанные по остаточному принципу.
Значения показателей граф 17 и 18 могут быть как положительными, так и отрицательными.
5.4.10. По строкам 2.2.1.1 и 2.2.1.2 участие респондента в капитале предприятия прямого инвестирования по состоянию на начало и конец отчетного периода оценивается по справедливой стоимости.
Для целей отчета справедливая стоимость ценных бумаг, обеспечивающих участие в капитале предприятия прямого инвестирования, оценивается следующими методами:
5.4.10.1. Рыночная стоимость ценных бумаг, допущенных к обращению через организаторов торговли, включенных в котировальные листы, а также допущенных к обращению через организатора торговли без прохождения процедуры листинга, рассчитывается с учетом сделок, совершенных на основании заявок, адресованных всем участникам торгов.
Для определения рыночной стоимости ценной бумаги, чья рыночная цена на дату ее определения рассчитывалась двумя или более организаторами торговли, используется рыночная цена любого из организаторов торговли.
Для определения рыночной цены используются данные торгов (в том числе данные торгов на ПАО Московская Биржа, сведения информационно-аналитических систем "РУ Дата" (RU Data), "Рефинитив" (Refinitiv) и "Блумберг" (Bloomberg).
5.4.10.2. Рыночная стоимость ценных бумаг, не котируемых на бирже, или ценных бумаг, расчет биржевых котировок для которых невозможен, а также расчетная стоимость доли (пая) оцениваются следующим образом:
собственные средства по балансовой стоимости отражают зафиксированную в бухгалтерском учете предприятия прямого инвестирования стоимость, которая в целях составления отчета представляет собой сумму:
оплаченного капитала (исключая любые выпущенные акции, принадлежащие самому предприятию прямого инвестирования, и включая счета эмиссионного дохода);
всех видов резервов (фондов), относимых в балансе предприятия прямого инвестирования на собственный капитал и прочие компоненты капитала;
накопленного объема нераспределенной прибыли (убытка).
Использование метода оценки по цене последней сделки допускается при условии, что с даты проведения такой сделки и до отчетной даты не произошло изменений экономических условий и сделка была осуществлена в течение последнего года.
Оценка по доле пакета в стоимости чистых активов предприятия прямого инвестирования вычисляется как стоимость его чистых активов (включая нематериальные активы) за вычетом стоимости обязательств и оплаченного капитала в виде акций, не дающих владельцам права голоса. Используется стоимость активов и обязательств в текущих ценах, а не в ценах их приобретения (первоначальных ценах). При этом стоимость чистых активов включает суммы обязательств и активов, относящихся к прямому инвестору и другим связанным сторонам.
В целях составления отчета используется метод долевого участия, который предполагает, что инвестиции первоначально учитываются по цене приобретения, затем их балансовая стоимость увеличивается или уменьшается на признанную долю респондента в прибылях и убытках предприятия прямого инвестирования после даты приобретения. Полученные от предприятия дивиденды и распределенная прибыль уменьшают балансовую стоимость инвестиций. Корректировки балансовой стоимости могут быть также необходимы для отражения изменений доли участия респондента в капитале предприятия прямого инвестирования, возникающих в результате изменений в собственном капитале предприятия прямого инвестирования, которые не были включены в отчет о финансовых результатах. К таким изменениям относят изменения, которые возникают в результате переоценки основных средств и инвестиций, в результате курсовых разниц при пересчете отчетности в иностранной валюте и в результате корректировок, учитывающих разницы, возникающие при объединении компаний.
5.4.11. По строке 2.2.2.3 отражаются только долговые ценные бумаги, выпущенные предприятием прямого инвестирования и находящиеся в собственности респондента. Долговые ценные бумаги оцениваются по состоянию на начало и конец отчетного периода одним из следующих методов:
по расчетной текущей стоимости в случае невозможности определения их справедливой стоимости.
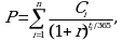
Расчетная текущая стоимость (без учета суммы частичного списания) определяется по формуле:
n - количество предстоящих платежей процентов и основного долга;
ti - количество дней с отчетной даты до даты погашения;
r - внутренняя норма доходности в долях.
Для составления отчета к внутренней норме доходности относится ставка дисконтирования, необходимая для того, чтобы расчетная текущая стоимость всех будущих денежных потоков по ценной бумаге была равна ее первоначальной стоимости.
5.4.12. По строке 2.2.1.3 недвижимость, находящаяся на территории иностранных государств и принадлежащая респонденту на праве собственности, оценивается по рыночной стоимости, определяемой с использованием подходов, аналогичных изложенным в статье 3 Федерального закона от 29 июля 1998 года N 135-ФЗ "Об оценочной деятельности в Российской Федерации" <1>.
--------------------------------
<1> Собрание законодательства Российской Федерации, 1998, N 31, ст. 3813; 2016, N 27, ст. 4293.
5.4.13. Для целей отчета по строкам 2.2.2.1, 2.2.2.3 - 2.2.2.6 долговые инструменты оцениваются по состоянию на начало и конец отчетного периода по амортизированной стоимости в соответствии с пунктом 5.4 МСФО (IFRS) 9.
5.5. Данные подраздела 2.3 отражают инвестиции, осуществленные предприятием прямого инвестирования в респондента в форме вложений, обеспечивающих участие в капитале, и (или) в долговые инструменты, по состоянию на начало и конец отчетного периода и их движение в течение этого периода при условии, что доля владения долевыми инструментами либо равна нулю, либо составляет менее 10 процентов голосов в управлении респондента.
5.5.1. По каждой строке подраздела 2.3 должно выполняться равенство:
графа 21 + графа 22 - графа 23 + графа 24 - графа 25 + графа 27 + графа 28 = графа 29.
5.5.2. В графах 21 и 29 указываются накопленные пассивы (обязательства) респондента по отношению к предприятию прямого инвестирования по состоянию на начало и конец отчетного периода соответственно. Значения показателей граф 21 и 29 могут быть отрицательными.
5.5.3. В графах 22 и 23 отражаются изменения в пассивах и обязательствах респондента по отношению к предприятию прямого инвестирования, которые произошли в результате операций респондента с предприятием прямого инвестирования в течение отчетного периода. Значения показателей граф 22 и 23 должны быть положительными.
5.5.4. Графы 24 - 26 и 28 формируются аналогично формированию граф 13 - 15 и 18 подраздела 2.2 применительно к изменению пассивов (обязательств) респондента по отношению к предприятию прямого инвестирования.
5.5.5. В графе 27 отражаются следующие изменения пассивов (обязательств):
5.5.5.1. Изменения в результате операций купли-продажи ценных бумаг, долей (паев) респондента, совершенных предприятием прямого инвестирования с другими резидентами или нерезидентами на вторичном рынке. При продаже предприятием прямого инвестирования ценных бумаг респондента третьему лицу (резиденту или нерезиденту) снижение пассивов (обязательств) респондента перед предприятием прямого инвестирования должно отражаться со знаком "минус".
5.5.5.2. Переклассификация остатков инвестиций в связи с изменениями ОРПИ между респондентом и нерезидентом. В случае если предприятие прямого инвестирования имеет на начало периода в капитале респондента долю не менее 10 процентов и в течение периода продает такую долю, что в результате на конец периода доля участия предприятия прямого инвестирования в респонденте становится менее 10 процентов, в отчете данные по нерезиденту составляются следующим образом:
для прямого инвестора снижение пассивов (обязательств) респондента по отношению к прямому инвестору на сумму остатка на начало периода отражается со знаком "минус" в графе 17 подраздела 1.2;
для предприятия прямого инвестирования рост пассивов (обязательств) респондента по отношению к предприятию прямого инвестирования на сумму этого же остатка отражается в графе 27 подраздела 2.3.
5.5.5.3. Прочие изменения пассивов (обязательств), не являющиеся следствием операций и переоценки.
5.5.6. По строкам 2.3.1.1 и 2.3.1.2 участие предприятия прямого инвестирования в капитале респондента по состоянию на начало и конец отчетного периода оценивается по справедливой стоимости.
Справедливая стоимость для учета долевых и долговых инструментов определяются методом, описанным в подпунктах 4.4.10.1, 4.4.10.2 и 4.4.11 пункта 4.4 настоящего Порядка.
- Гражданский кодекс (ГК РФ)
- Жилищный кодекс (ЖК РФ)
- Налоговый кодекс (НК РФ)
- Трудовой кодекс (ТК РФ)
- Уголовный кодекс (УК РФ)
- Бюджетный кодекс (БК РФ)
- Арбитражный процессуальный кодекс
- Конституция РФ
- Земельный кодекс (ЗК РФ)
- Лесной кодекс (ЛК РФ)
- Семейный кодекс (СК РФ)
- Уголовно-исполнительный кодекс
- Уголовно-процессуальный кодекс
- Производственный календарь на 2025 год
- МРОТ 2025
- ФЗ «О банкротстве»
- О защите прав потребителей (ЗОЗПП)
- Об исполнительном производстве
- О персональных данных
- О налогах на имущество физических лиц
- О средствах массовой информации
- Производственный календарь на 2026 год
- Федеральный закон "О полиции" N 3-ФЗ
- Расходы организации ПБУ 10/99
- Минимальный размер оплаты труда (МРОТ)
- Календарь бухгалтера на 2025 год
- Частичная мобилизация: обзор новостей
- Постановление Правительства РФ N 1875
