Документ утратил силу или отменен. Подробнее см. Справку

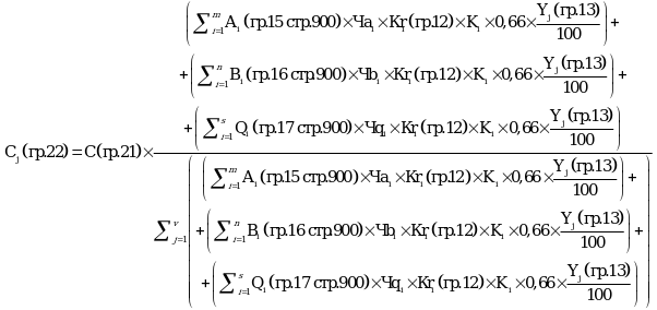
3.1. Алгоритм расчета распределения общего объема субсидий на софинансирование расходных обязательств субъектов Российской Федерации между субъектами Российской Федерации в соответствии с правилами предоставления и распределения субсидий бюджетам субъектов Российской Федерации

3.1. Алгоритм расчета распределения общего объема субсидий на

софинансирование расходных обязательств субъектов Российской Федерации

между субъектами Российской Федерации в соответствии с правилами

предоставления и распределения субсидий бюджетам субъектов Российской

Федерации

Рисунок 30